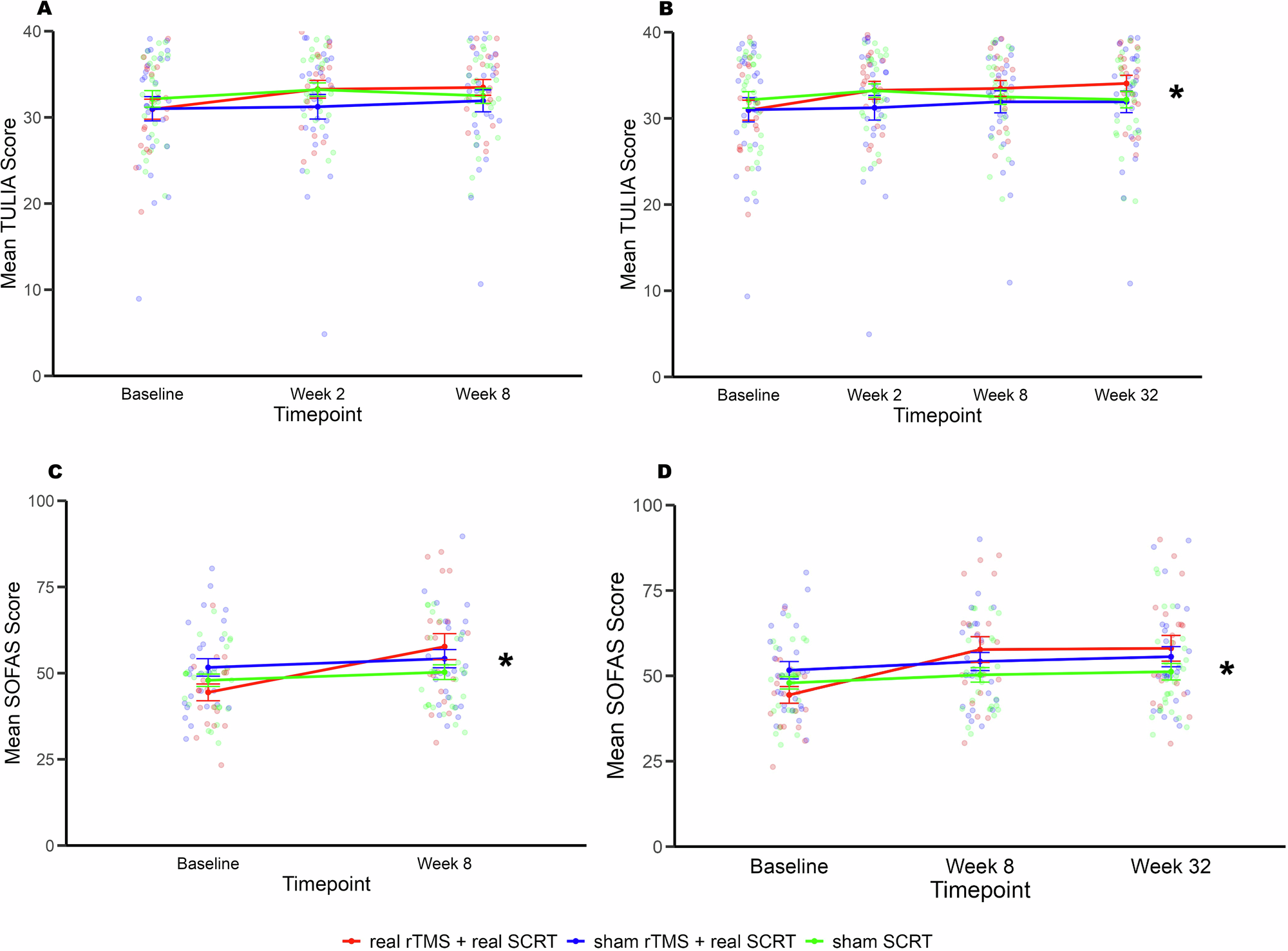
Fig. 3: Course of Pantomime Meaningless gesture category and Social Functioning.

The line plots depict performance across timepoints for real rTMS + real SCRT (red), sham rTMS and real SCRT (blue) and sham SCRT (green). A shows performance of pantomime meaningless gestures from Baseline to Week-8. B shows performance of pantomime meaningless gestures from Baseline to Week-32. C shows social functioning performance from Baseline to Week-8. D shows social functioning performance from Baseline to Week-32. Analyses was done using last observation carried forward to account for missing values. Error bars represent SEMs. rTMS indicates repetitive transcranial magnetic stimulation; SCRT indicates social cognitive remediation therapy. *Significant effect at P < 0.05 for real rTMS + real SCRT from baseline.