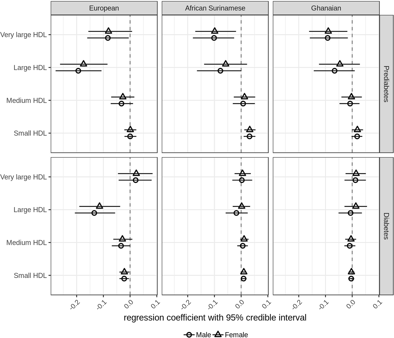
Fig. 3

Regression parameter estimates between plasma HDL particle concentration and HbA1c in subjects with European, Ghanaian and African Surinamese background. Circles (female) or triangles (male) and horizontal lines represent the posterior means of the regression coefficient between plasma HDL particle concentration and HbA1c and 95% credible intervals