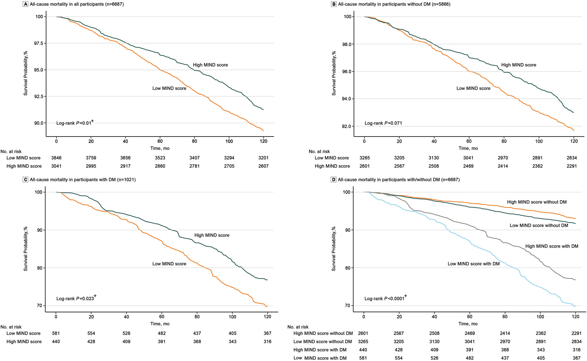
Fig. 2

Kaplan-Meier curves for the all-cause mortality in groups of low MIND diet score and high MIND diet score among the whole population (A), participants without T2DM (B), and patients with T2DM (C). Kaplan-Meier curves for the all-cause mortality in groups of MIND diet score-Low/non-DM, MIND diet score -High/non-DM, MIND diet score-Low/DM, and MIND diet score-High/DM were presented in (D). +P < 0.05. DM Diabetes mellitus, MIND diet Mediterranean-DASH Diet Intervention for Neurodegenerative Delay diet; NHANES, National Health, and Nutrition Examination Surve.