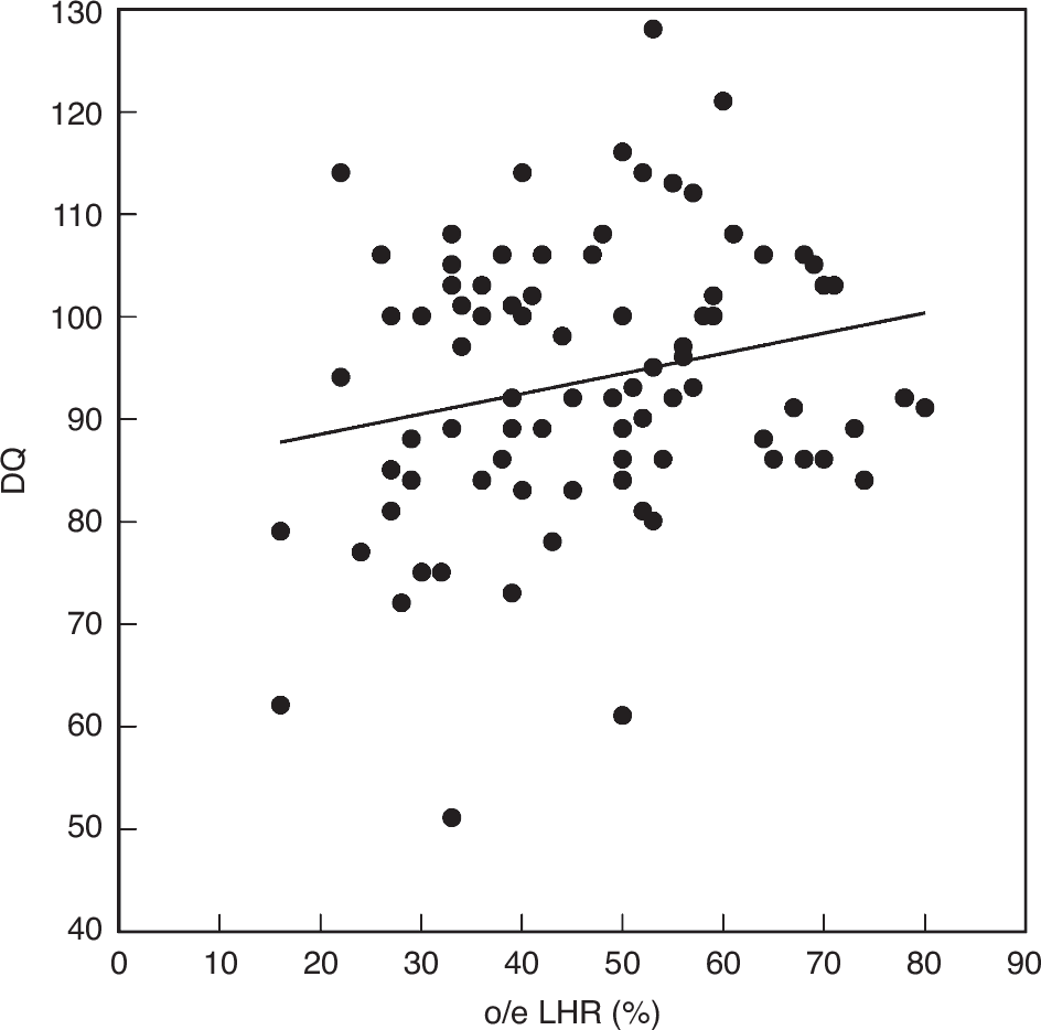
Fig. 2: Correlation between o/e LHR and DQ score.
From: Isolated congenital diaphragmatic hernia and three-year neurodevelopmental outcomes

The o/e LHR was weakly correlated with the DQ score (DQ = 0.20 × o/e LHR + 84.6 ; R2 = 0.05; p = 0.04). o/e LHR observed/expected lung area-to-head circumference ratio, DQ developmental quotient