Abstract
Background:
Multiparametric magnetic resonance imaging (mpMRI) is being used increasingly in the setting of active surveillance (AS) for prostate cancer. We investigated changes in the mpMRI appearance of lesions on AS, to show the variability of volume measurements in visible lesions and assess change in lesion size according to grade.
Methods:
We retrospectively retrieved 86 men on AS (NICE guidelines) with more than one mpMRI (the first before 2013). Two radiologists, in consensus, were blinded to patient demographics and date of scan. The scans were randomly reported to reduce any bias. For visible lesions, we measured volume by planimetry on the sequence best showing the most conspicuous (index) tumour and attributed a 5-point Likert score.
Results:
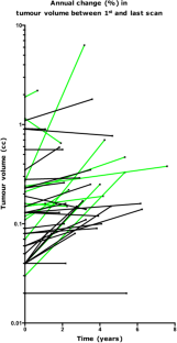
43/86 men did not have a visible lesion on the initial mpMRI (≤2/5). Of these, 5/43 had developed a lesion scoring ≥3/5 at a median of 3.6 years of follow up. 40/86 had a lesion scoring ≥3/5 on two or more scans. There was a significant increase in volume over 3.6 years by a median of 10% (p < 0.01)–by a median of 6% for Gleason 3+3 and 18% for 3+4 (p = 0.058). Thirty-five men had a visible lesion on two scans separated by <2 years; of these, 21/35 showed a 78% median increase in tumour size between the two scans and 11/35 showed an apparent 25% median decrease in lesion size.
Conclusions:
A total of 17% of men with no visible lesion developed a visible lesion at a median follow up of 3.6 years. It is possible to show significant growth in patients with a visible lesion, but variability in volume measurements between scans means that it is difficult to reliably detect increases of this order. This variability may inform the design of mpMRI protocols in AS and the time between follow up scans.
This is a preview of subscription content, access via your institution
Access options
Subscribe to this journal
Receive 6 print issues and online access
$259.00 per year
only $43.17 per issue
Buy this article
- Purchase on SpringerLink
- Instant access to the full article PDF.
USD 39.95
Prices may be subject to local taxes which are calculated during checkout



Similar content being viewed by others
References
Parker C. Active surveillance: towards a new paradigm in the management of early prostate cancer. Lancet Oncol. 2004;5:101–6.
Bangma CH, Bul M, van der Kwast TH, Pickles T, Korfage IJ, Hoeks CM, et al. Active surveillance for low-risk prostate cancer. Crit Rev Oncol Hematol. 2013;85:295–302.
Duffield AS, Lee TK, Miyamoto H, Carter HB, Epstein JI. Radical prostatectomy findings in patients in whom active surveillance of prostate cancer fails. J Urol. 2009;182:2274–8.
Schoots IG, Petrides N, Giganti F, Bokhorst LP, Rannikko A, Klotz L, et al. Magnetic resonance imaging in active surveillance of prostate cancer: a systematic review. Eur Urol. 2015;67:627–36.
Ehdaie B, Poon BY, Sjoberg DD, Recabal P, Laudone V, Touijer K, et al. Variation in serum prostate-specific antigen levels in men with prostate cancer managed with active surveillance. BJU Int. 2016;118:535–40.
Valerio M, Donaldson I, Emberton M, Ehdaie B, Hadaschik BA, Marks LS, et al. Detection of clinically significant prostate cancer using magnetic resonance imaging-ultrasound fusion targeted biopsy: a systematic review. Eur Urol. 2015;68:8–19.
Bratan F, Melodelima C, Souchon R, Hoang Dinh A, Mege-Lechevallier F, Crouzet S, et al. How accurate is multiparametric MR imaging in evaluation of prostate cancer volume? Radiology. 2015;275:144–54.
Cornud F, Khoury G, Bouazza N, Beuvon F, Peyromaure M, Flam T, et al. Tumor target volume for focal therapy of prostate cancer-does multiparametric magnetic resonance imaging allow for a reliable estimation? J Urol. 2014;191:1272–9.
Rais-Bahrami S, Turkbey B, Rastinehad AR, Walton-Diaz A, Hoang AN, Siddiqui MM, et al. Natural history of small index lesions suspicious for prostate cancer on multiparametric MRI: recommendations for interval imaging follow-up. Diagn Interv Radiol. 2014;20:293–8.
National Institute for Health and Clinical Excellence. Prostate cancer: diagnosis and management (January 2014). UK: NICE guidelines; 2014.
Barentsz JO, Richenberg J, Clements R, Choyke P, Verma S, Villeirs G, et al. ESUR prostate MR guidelines 2012. Eur Radiol. 2012;22:746–57.
Schned AR, Wheeler KJ, Hodorowski CA, Heaney JA, Ernstoff MS, Amdur RJ, et al. Tissue-shrinkage correction factor in the calculation of prostate cancer volume. Am J Surg Pathol. 1996;20:1501–6.
Nakashima J, Tanimoto A, Imai Y, Mukai M, Horiguchi Y, Nakagawa K, et al. Endorectal MRI for prediction of tumor site, tumor size, and local extension of prostate cancer. Urology. 2004;64:101–5.
Turkbey B, Mani H, Aras O, Rastinehad AR, Shah V, Bernardo M, et al. Correlation of magnetic resonance imaging tumor volume with histopathology. J Urol. 2012;188:1157–63.
Epstein JI, Chan DW, Sokoll LJ, Walsh PC, Cox JL, Rittenhouse H, et al. Nonpalpable stage T1c prostate cancer: prediction of insignificant disease using free/total prostate specific antigen levels and needle biopsy findings. J Urol. 1998;160(6 Pt 2):2407–11.
Van der Kwast TH, Roobol MJ. Defining the threshold for significant versus insignificant prostate cancer. Nat Rev Urol. 2013;10:473–82.
Stamey T, Caldwell M, Mcneal J, Nolley R, Hemenez M, Downs J. The prostate-specific antigen era in the Unted States is over for prostate cancer: what happened in the last 20 years? J Urol. 2004;172:1297–301.
Harvey H, Orton MR, Morgan VA, Parker C, Dearnaley D, Fisher C, et al. Volumetry of the dominant intraprostatic tumour lesion: intersequence and interobserver differences on multiparametric MRI. Br J Radiol. 2017;90:20160416.
Bokhorst LP, Valdagni R, Rannikko A, Kakehi Y, Pickles T, Bangma CH, et al. A decade of active surveillance in the PRIAS study: an update and evaluation of the criteria used to recommend a switch to active treatment. Eur Urol. 2016;70:954–60.
Felker ER, Wu J, Natarajan S, Margolis DJ, Raman SS, Huang J, et al. Serial MRI in active surveillance of prostate cancer: incremental value. J Urol. 2016;195:1421–7.
Berglund RK, Masterson TA, Vora KC, Eggener SE, Eastham JA, Guillonneau BD. Pathological upgrading and up staging with immediate repeat biopsy in patients eligible for active surveillance. J Urol. 2008;180:1964–7.
Margel D, Yap SA, Lawrentschuk N, Klotz L, Haider M, Hersey K, et al. Impact of multiparametric endorectal coil prostate magnetic resonance imaging on disease reclassification among active surveillance candidates: a prospective cohort study. J Urol. 2012;187:1247–52.
Latifoltojar A, Dikaios N, Ridout A, Moore C, Illing R, Kirkham A, et al. Evolution of multi-parametric MRI quantitative parameters following transrectal ultrasound-guided biopsy of the prostate. Prostate Cancer Prostatic Dis. 2015;18:343–51.
Author information
Authors and Affiliations
Corresponding author
Ethics declarations
Conflict of interest
The authors of this manuscript declare relationships with the following companies: F.G. is funded by the UCL Graduate Research Scholarship and the Brahm PhD scholarship in memory of Chris Adams. M.E. is a UK National Institute of Health Research (NIHR) Senior Investigator. In addition, he receives research support from the UCLH/UCL NIHR Biomedical Research Centre. A.K. receives research support from the UCLH/UCL NIHR Biomedical Research Centre.
Rights and permissions
About this article
Cite this article
Giganti, F., Moore, C.M., Punwani, S. et al. The natural history of prostate cancer on MRI: lessons from an active surveillance cohort. Prostate Cancer Prostatic Dis 21, 556–563 (2018). https://doi.org/10.1038/s41391-018-0058-5
Received:
Revised:
Accepted:
Published:
Version of record:
Issue date:
DOI: https://doi.org/10.1038/s41391-018-0058-5
This article is cited by
-
Iterative Algorithms for the Reconstruction of Early Stages of Prostate Cancer Growth
Journal of Nonlinear Science (2026)
-
Variation in prostate cancer growth rates in an MRI-based active surveillance cohort
European Radiology (2026)
-
Inter- and intra-rater variability of MRI-based lesion size measurements in active surveillance for prostate cancer: a multicentre study
European Radiology (2026)
-
Natural history of prostate cancer on active surveillance: stratification by MRI using the PRECISE recommendations in a UK cohort
European Radiology (2021)
-
Kann die Progression eines Prostatakarzinoms während Active Surveillance durch serielle Magnetresonanztomographie verlässlich diagnostiziert werden?
Der Urologe (2021)


