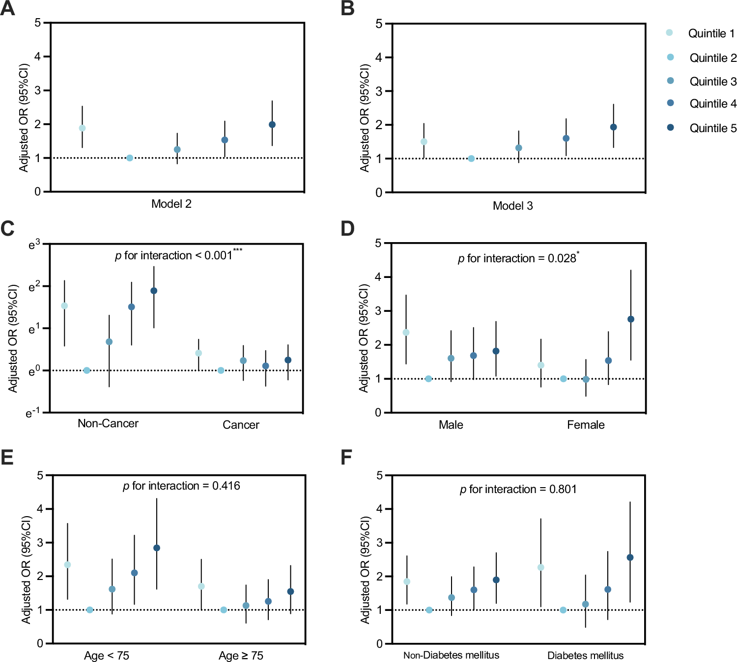
Fig. 3: Associations between preoperative SF levels and POD risk based on quintile analyses.

Forest plots showed associations in the overall population (A, B) and subgroups (C, D, E, and F). Subgroup analyses were adjusted as in model 2. *p < 0.05, **p < 0.01, ***p < 0.001. SF serum ferritin; POD postoperative delirium; OR odds ratio; CI confidence interval.