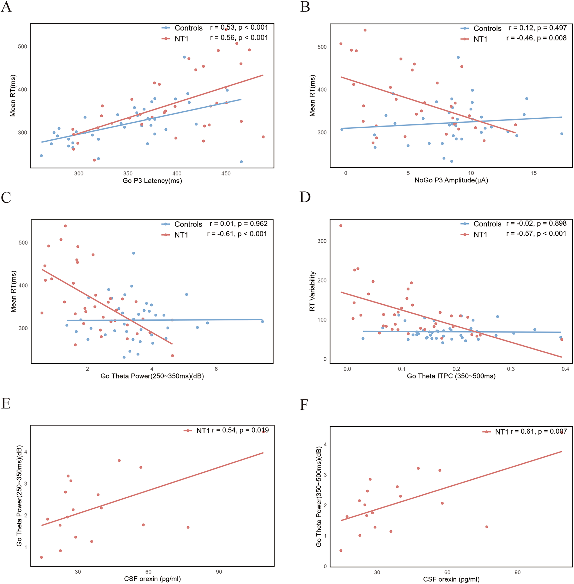
Fig. 4: Correlations between behavioral, electrophysiological and clinical measures.
From: Attention and inhibition deficits in narcolepsy type 1: behavioral and electrophysiological markers

A Correlation between Mean RT and Go-P3 latency. B Correlation between Mean RT and NoGo-P3 amplitude. C Correlation between Mean RT and Go-theta power. D Correlation between RT variability and Go-theta ITPC. E Correlation between CSF orexin levels and theta-band (3-7 Hz) power within the 250-350 ms time window. F Correlation between CSF orexin levels and theta-band power within the 350-500 ms time window. CSF cerebrospinal fluid, ITPC inter-trial phase coherence, RT response time.