Abstract
Cognitive impairments in narcolepsy type 1 (NT1) significantly compromise daily functioning, but their neural mechanisms remain unclear. This study employed multimodal electroencephalography (EEG) analyses to investigate electrophysiological substrates of attention and inhibition deficits in NT1 and their association with clinical characteristics, particularly orexin deficiency. High-density EEG recordings were acquired during a Go/NoGo task from 39 NT1 patients and 41 age-/sex-matched healthy controls. Behavioral analyses revealed that compared to controls, NT1 patients exhibited significantly prolonged reaction times and increased errors across both Go and NoGo conditions. Electrophysiological analyses demonstrated that NT1 patients showed: (1) delayed Go-P3 latencies, meaning impaired response preparation; (2) reduced NoGo-P3 amplitudes, reflecting deficient inhibitory control; and (3) attenuated theta-band power and inter-trial phase consistency across conditions. Notably, decreased theta-band power correlated with both lower orexin levels and slower reaction times. This suggests that altered theta-band activity may represent a core neural substrate linking the underlying pathophysiology (i.e., orexin deficiency) to its clinical cognitive manifestations. Thus, we propose theta-band oscillations as a potential clinically translatable biomarker for NT1-related cognitive deficits, with promising implications for objective monitoring of disease progression and developing EEG-targeted neuromodulation therapies.
Introduction
Narcolepsy type 1 (NT1) is a chronic and disabling neurological disorder characterized by excessive daytime sleepiness (EDS), cataplexy and sleep–wake symptoms, such as hallucinations, sleep paralysis, and nocturnal sleep disturbance [1]. With a prevalence of 0.025–0.05% in Western populations, NT1 has seen a rising annual incidence across all age groups, likely due to increased disease awareness [2]. Its pathogenesis involves the immune-mediated loss of orexin-producing neurons in the lateral hypothalamus, leading to significantly reduced orexin levels in the cerebrospinal fluid (CSF; <110 pg/mL) [3]. Despite their localized origin, orexin neurons project widely to brainstem, limbic, and cortical regions to regulate multiple physiological functions [4]. Based on such anatomical characteristics, besides sleep-related symptoms, NT1 can also be combined with metabolic, autonomic, psychiatric, and cognitive impairments [1, 5]. Among these, cognitive dysfunction is one of the most prevalent, with approximately 40–50% of patients reporting problems in attention and executive function [6]. However, subjective cognitive complaints often do not align with objective impairments, emphasizing the need for neuropsychological assessments [7]. A growing body of literature has documented a wide range of objective deficits in NT1, including not only sustained attention but also working memory, decision-making, cognitive flexibility and emotional processing [8,9,10]. A recent meta-analysis by Harel et al. (2024) quantifies these deficits, showing a profound impairment in attention (Cohen’s d = -0.90) alongside a moderate deficit in executive function (Cohen’s d = -0.30) [11]. This cognitive profile not only highlights the vulnerability of attentional processes but also establishes deficits in core executive functions, like inhibitory control, as another key feature of NT1. Understanding their shared and distinct neural underpinnings is therefore a critical priority.
Attention, a fundamental cognitive function, enables individuals to selectively focus on relevant stimuli while filtering out distractions [12]. People with narcolepsy often report difficulties in engaging, sustaining, and shifting attention, which significantly impair their daily functioning and quality of life [7, 9, 13,14,15]. Additionally, impulsivity behaviors such as unhealthy eating and substance abuse are also common in NT1, which are thought to reflect inhibitory control deficits [11]. Inhibitory control, a core component of executive function, refers to the ability to suppress inappropriate or habitual responses [16]. While attention deficits in NT1 have been relatively well-studied, research on inhibitory control remains limited and inconsistent [17,18,19,20].
The Sustained Attention to Response Task (SART) is a classic Go/NoGo paradigm for assessing sustained attention and inhibitory control. The task requires participants to respond rapidly to frequent Go stimuli while withholding responses to infrequent NoGo stimuli [21, 22]. Omission errors (OEs; failures to respond to Go stimuli) and reaction times (RTs) are considered indices of sustained attention, whereas commission errors (CEs; responses to NoGo stimuli) reflect inhibitory control. A systematic review revealed that NT1 patients exhibit more OEs and slower RTs compared to controls, but no differences in CEs [10]. However, the neural mechanisms underlying these behavioral deficits remain elusive, likely contributing to the lack of broadly effective interventions for cognitive impairments.
Electroencephalography (EEG) offers a powerful tool to investigate the neural dynamics of rapid cognitive processes, even in the absence of overt behavioral responses (e.g., successful response inhibition). Two event-related potentials (ERPs)—N2 and P3—are closely associated with attention and inhibitory control, reflecting different stages of cognitive processing. N2, a frontocentral negative deflection occurring 200–300 ms post-stimulus, is thought to reflect stimulus evaluation (Go-N2) or conflict monitoring (NoGo-N2) [23,24,25,26]. P3, a centroparietal positive deflection occurring 300–500 ms post-stimulus, is linked to response execution (Go-P3) or inhibition (NoGo-P3) [24, 25, 27]. Source-localization and functional MRI studies have further identified distinct neural networks activated during Go/NoGo tasks: the NoGo condition engages a frontal network, including the anterior cingulate cortex and orbitofrontal cortex, while the Go condition activates a temporal-parietal network involving primary and supplementary motor areas [28, 29]. Notably, these regions are key projection sites for orexin neurons, suggesting that cognitive-electrophysiological assessments may provide valuable insights into the neural mechanisms underlying cognitive impairments of NT1. To complement ERP analyses, time–frequency (TF) analysis was employed to capture fine-grained neural dynamics, including event-related spectral power and inter-trial phase coherence (ITPC) [30,31,32]. Previous studies have shown that theta (3–7 Hz) and alpha (8-12 Hz) oscillations play critical roles in the cognitive processes underlying Go/NoGo tasks [33,34,35]. Specifically, alpha oscillations are involved in attentional modulation and response execution [36, 37], while theta oscillations are more associated with top-down inhibitory control [38, 39].
While prior electrophysiological studies have documented attentional deficits in central hypersomnolence disorders [10], they have largely focused on behavioral or ERP measures in isolation. To date, no studies have examined how NT1 affects neural oscillations during a cognitive control task that jointly probes attention and inhibition. Our study addresses this gap by integrating behavioral, ERP, and TF analyses. For TF analysis, we specifically focused on theta and alpha bands. This decision was based on extensive literature demonstrating their pivotal roles in the cognitive control processes demanded by the Go/NoGo task: theta oscillations are robustly linked to conflict detection and response inhibition, while alpha oscillations are critical for attentional gating and the suppression of task-irrelevant information [38, 40, 41]. This targeted, multimodal approach allows for a precise dissection of the neural underpinnings of these deficits, distinguishing our investigation from the study of more general vigilance or sensorimotor processes often reflected in other bands like delta and beta [38]. Thus, our aim is twofold: (1) to determine whether attention and inhibitory control are impaired in NT1, and (2) to explore the neural mechanisms underlying these deficits through ERPs and TF analyses. We hypothesized that NT1 patients would exhibit deficits in both attention and inhibitory control, manifested as poorer behavioral performance (e.g., more OEs/CEs, longer RTs), altered N2/P3 components (e.g., reduced N2/P3 amplitudes, prolonged latencies), and reduced theta/alpha-band oscillations (e.g., lower power or ITPC) compared to healthy controls. These findings may provide novel insights into the neural basis of cognitive dysfunction in NT1 and inform the development of targeted interventions.
Materials and methods
Subjects
A total of 39 patients diagnosed with NT1 were consecutively recruited from the Department of Neurology of Sir Run Run Shaw Hospital, School of Medicine, Zhejiang University, China, between October 2021 and November 2023. Forty-one healthy controls matched for age, sex, and education level, were recruited as volunteers through advertisements. All participants were aged 10–50 years, right-handed, and had normal or corrected-to-normal vision. The study was approved by the local ethics committee according to the Declaration of Helsinki. All participants provided written informed consent and received modest monetary compensation for their time and travel.
NT1 diagnosis was confirmed by sleep specialists based on clinical presentation, Multiple Sleep Latency Test (MSLT), nocturnal polysomnography (nPSG), and/or CSF orexin levels, following the International Classification of Sleep Disorders (ICSD)-3 criteria [42]. Exclusion criteria included other sleep disorders (e.g., obstructive sleep apnea or insomnia), mental retardation, neurological or psychiatric disorders, and a history of alcohol, drug, or substance abuse. To minimize confounding effects of medication, all patients underwent a washout period. Specifically, participants were instructed to refrain from using stimulant medications (e.g., modafinil, methylphenidate) for at least one week before testing. For patients receiving antidepressants for the management of cataplexy (e.g., SSRIs, venlafaxine), a washout period of at least two weeks was required. All participants were also instructed to avoid substances like coffee, alcohol, and other stimulating beverages for at least one week.
All participants underwent a comprehensive neurological examination and completed a demographic survey capturing age, sex, body mass index (BMI), and education level. For NT1 patients, additional clinical data were collected, including disease duration, cataplexy frequency, self-reported symptoms, and medication history. Data from nPSG, MSLT, HLA typing, and CSF orexin levels were obtained from medical records.
Questionnaires
All participants completed a series of validated questionnaires prior to the EEG examination. Cognitive function was assessed using the Montreal Cognitive Assessment (MoCA), while the Epworth Sleepiness Scale (ESS) was used to measure the severity of EDS. Additional assessments included sleep quality (Pittsburgh Sleep Quality Index [PSQI]), depressive symptoms (Patient Health Questionnaire-9 [PHQ-9]), and impulsive tendencies (Barratt Impulsiveness Scale Version 11 [BIS-11]).
Sustained attention to response task (SART)
As shown in Fig. 1, the SART consisted of a 4-min 20-second session during which 225 numbers (ranging from 1 to 9) were randomly presented in varying sizes, displayed in white font on a black background [22]. Each number was displayed for 250 ms, followed by a 900 ms fixation cross (“+”) at the center of the screen. Participants were instructed to press the spacebar in response to all numbers (Go trials) except for the number 3 (NoGo trials). The task included 200 Go trials and 25 NoGo trials. Participants were instructed to prioritize both speed and accuracy equally.
The 4-min 20-s SART consists of presentation of the numbers 1–9 of various sizes 225 times randomly in white font on a black computer screen. Each number is presented for 250 ms, followed by a 900 ms duration mask composed of a cross (“+”) presented in the middle of the screen. Participants are instructed to respond to the appearance of each number by pressing the spacebar (Go condition), except when presented with the number 3 (NoGo condition).
To accurately assess behavioral performance, we discarded anticipation responses with RTs < 150 ms and calculated the following indicators: OEs (the number of non-3-digit stimuli with no response within the allowed time); CEs (the number of 3-digit stimuli followed by a response); mean RTs (average response time for correct Go trials); and RTs variability (RTV), quantified as the coefficient of variation (standard deviation divided by the mean RTs) for correct Go trials [17, 43].
Procedure
The experiment was conducted in a sound-attenuated, electrically shielded room. To control for potential circadian variations in alertness and performance, all experimental sessions were scheduled in the morning (between 8:00 AM and 12:00 PM). These sessions were conducted on a separate day following the completion of the patients’ clinical diagnostic procedures, including the MSLT, to avoid any effects of the diagnostic testing on cognitive performance. To ensure participants remained awake during SART, they were allowed a 15-min nap prior to the task. Participants were seated 70 cm in front of a computer screen with their chin stabilized on a support and the screen center aligned with their eye level. To minimize learning effects, a 2-min practice session was conducted before the formal task. EEG data were recorded simultaneously during the SART. Participants were instructed to remain still, focus on the screen, and respond using only their fingers to reduce electromyographic artifacts.
EEG recording and preprocessing
EEG data were recorded using an ActiveTwo system (BioSemi, Amsterdam, The Netherlands) with 64 sintered Ag/AgCl electrodes placed according to the 10/20 system, at a sampling rate of 2048 Hz [44]. EEG preprocessing was performed offline using the EEGLAB toolbox in MATLAB (The MathWorks, Inc., Natick, MA). Raw EEG data were down-sampled to 512 Hz, re-referenced to the average of all electrodes, and band-pass filtered (0.5–30 Hz). Ocular and cardiac artifacts were removed using infomax Independent Component Analysis (ICA) [45].
ERP Analysis based on RIDE
Artifact-free, continuous EEG data were segmented into epochs from 250 ms pre-stimulus to 900 ms post-stimulus, with stimulus onset set at zero. Each epoch was baseline-corrected using the mean voltage during the 250 ms pre-stimulus period. Epochs with amplitudes exceeding±100 μV or containing artifacts were discarded, and trials with incorrect responses were excluded from further analysis [26]. To ensure robust ERP estimation, a minimum of 8 artifact-free trials for each condition was required for a participant’s data to be included in the respective analysis [46].
Time windows and electrode clusters for ERP extraction were selected based on previous literature and topographical maps (Fig. 2). For Go trails, N2 was measured at electrodes Fz, FCz, FC1, FC2 and Cz between 250–350 ms, while P3 was measured at CPz, Pz, P1, P2 and POz between 300–500 ms. For NoGo trials, N2 was measured at the same electrodes and time window (250–350 ms), and P3 was measured at Fz, FCz, FC1, FC2 and Cz between 350–500 ms. To minimize the impact of random keystroke feedback, ERPs were reconstructed using the Residue Iteration Decomposition (RIDE) method [47]. ERPs were averaged by group and trial type. Peak amplitude (defined as the average amplitude within a 50-ms window around the peak) and latency were averaged across the assigned electrode clusters for each component. Grand-averaged ERP waveforms for Go and NoGo trials at midline electrodes are presented in Fig. S1.
A Grand-average ERP waveforms at frontal electrode clusters (Fz, FCz, FC1, FC2, and Cz) illustrating Go-N2, NoGo-N2 and NoGo-P3 components in NT1 patients (red lines) and healthy controls (blue lines), with Go (solid lines) and NoGo (dashed lines) conditions differentiated. B Grand-average ERP waveforms at parietal electrode clusters (CPz, Pz, P1, P2, and POz) showing the Go-P3 component. C Topographic maps of N2 and P3 components, corresponding to the average activity within time windows around the local peaks marked by the dashed boxes. Dashed boxes denote temporal boundaries for component extraction. (250–350 ms for Go-N2 and NoGo-N2, 300–500 ms for Go-P3, 350–500 ms for NoGo-P3). NT1, narcolepsy type 1.
TF analysis
TF decomposition was applied to cleaned EEG epochs (-250–900 ms) for trials with correct responses. Each epoch was analyzed using Morlet wavelet-based transformation from 3‒40 Hz, with 40 logarithmical steps with 4 cycles per frequency. The epoch data were segmented according to ERP component time window: 0-250 ms, 250-350 ms, 350-500 ms, and 500–900 ms, respectively. For each time window, event-related power and ITPC were calculated across three frequency bands of interest—theta (3–7 Hz), slow alpha (8–10 Hz), and fast alpha (10–12 Hz)—based on previous studies on Go/NoGo tasks [33, 48, 49]. Power values were standardized in decibels (dB), baseline-corrected ( − 250 to 0 ms), and averaged across correct trials for each condition and participant. ITPC, which quantifies the consistency of phase across trials at a given time point (ranging from 0 to 1, with higher values indicating greater consistency), was also computed.
Statistical analysis
Statistical analyses were performed using IBM SPSS Statistics 22 software (IBM, Chicago, IL) and R (R Core Team, 2022). Demographic, questionnaire, and behavioral data were analyzed using independent t-tests or Mann–Whitney U tests, and chi-square tests.
For ERPs data, a 2 (Group: NT1 and controls) × 2 (Condition: Go and NoGo) repeated-measures analysis of variance (ANOVA) was performed on the mean amplitude and peak latency of N2, with group as a between-subjects factor and condition as a within-subjects factor. A similar 2 (Group: NT1 vs. controls) × 2 (Condition: Go vs. NoGo) × 2 (Location: Frontal vs. Parietal) ANOVA was performed for P3. Independent t-tests were used to compare mean power and ITPC between groups across different time windows for theta, slow and fast alpha during Go and NoGo trials. To control for false positives, the false discovery rate correction was applied for multiple comparisons, with a significance threshold of P < 0.05. Post hoc tests were conducted to explore significant main effects and interactions. Pearson’s correlation analysis was used to examine relationships between behavioral, electrophysiological and clinical measures.
Results
Participant characteristics
A total of 39 NT1 patients and 41 healthy controls participated in the study. Demographic, psychometric, and clinical characteristics of all participants are summarized in Table 1. The two groups were matched for age and sex distribution. As expected, compared with controls, the NT1 group showed significantly poorer cognitive performance (MoCA: 26.55 ± 2.21 vs. 28.05 ± 1.52, p < 0.001, Cohen’s d = -0.789), more daytime sleepiness (ESS: 16.31 ± 4.32 vs. 8.90 ± 3.81, p < 0.001, Cohen’s d = 1.819), more severe depressive symptoms (PHQ-9: 7.85 ± 4.31 vs. 4.37 ± 3.17, p < 0.001, Cohen’s d = 0.920), greater impulsivity (BIS-11: 81.46 ± 16.44 vs. 67.71 ± 11.27, p < 0.001, Cohen’s d = 0.976), and worse sleep quality (PSQI: 7.64 ± 3.38 vs. 4.78 ± 2.43, p < 0.001, Cohen’s d = 0.972). All NT1 patients were positive for HLA-DQB1*0602. CSF orexin levels, available for 21 patients (53.8%), were significantly reduced (mean: 34.51 ± 24.89 pg/mL), consistent with the diagnostic criteria for NT1.
Behavioral measures
Differences in SART performance between NT1 patients and healthy controls are presented in Table 2. Independent t-tests revealed that NT1 patients exhibited significantly more OEs (6.77 ± 7.24 vs. 1.83 ± 2.74, p < 0.001, Cohen’s d = 0.912), longer mean RTs (371.78 ± 72.29 vs. 321.36 ± 45.97, p < 0.001, Cohen’s d = 0.741) and greater RTV (113.78 ± 61.11 vs. 66.89 ± 18.12, p < 0.001, Cohen’s d = 0.829) compared to controls. However, no significant differences were observed in CEs (p = 0.767).
Spearman’s correlation analysis was performed to evaluate the relationship between RTs and accuracy for each group, aiming to identify potential differences in speed-accuracy tradeoff strategies. Mean RTs were negatively correlated with CEs in both groups (NT1: r = -0.536; controls: r = -0.553; p < 0.001), suggesting that slower responses during Go trials were associated with better inhibitory control during NoGo trials (Fig. S2). To further probe this relationship, we conducted a post-hoc exploratory analysis. A linear regression model was constructed to examine the effect on CEs while controlling for mean RTs. This analysis revealed a significant group difference in CEs after adjustment (p < 0.001). Given the post-hoc nature of this test, the finding should be interpreted with caution and requires future validation. Additionally, no significant correlations were observed between SART performance measures and clinical indicators in the NT1 group (p > 0.05).
Electrophysiological results
Applying the pre-specified criterion of at least 8 artifact-free trials per condition led to a variation in the final sample size. Specifically, some participants were excluded from one condition’s analysis but not the other, resulting in a final sample of 36 NT1 and 40 controls for the Go condition, and 31 NT1 and 35 controls for the NoGo condition. Detailed results for N2 and P3 components, including amplitudes and peak latencies, are summarized in Table 3. Grand-average ERP waveforms at midline electrodes are shown in Fig. S1, illustrating typical neural responses for each condition. Additionally, ERP waveforms for N2 and P3 at selected electrode clusters, along with topographic maps are presented in Fig. 2.
Time-domain Results
N2 Component. For N2 amplitude, ANOVA revealed a significant main effect of Condition (F[1,68] = 58.642, p < 0.001, ηp² = 0.193), with larger (more negative) amplitudes in the NoGo condition compared to the Go condition. A significant main effect of Group was also observed (F[1,68] = 4.826, p = 0.031, ηp² = 0.049); however, post-hoc analysis indicated no significance differences between groups in either condition (p > 0.05). For N2 latency, no significant main effects or interactions were found (Table 3 and S1).
P3 Component. For P3 amplitude, ANOVA revealed a significant main effect of Condition (F[1,68] = 125.444, p < 0.001, ηp² = 0.207) and a Condition × Location interaction (F[1,68] = 17.623, p < 0.001, ηp² = 0.028), indicating that P3 amplitudes were larger in the frontal region during the NoGo condition compared to the parietal region during the Go condition. No main effect of Group was observed (F[1,68] = 2.328, p = 0.132, ηp² = 0.014); however, significant Group × Location (F[1,68] = 11.669, p = 0.001, ηp² = 0.052) and Group × Location × Condition (F[1,68] = 5.948, p = 0.017, ηp² = 0.010) interactions were identified. For P3 latency, no main effect of Group was observed, but significant Group × Location (F[1,68] = 11.093, p = 0.001, ηp² = 0.045) and Group × Location × Condition interactions (F[1,68] =7.247, p = 0.009, ηp² = 0.030) were found. Post-hoc analysis of the significant interactions revealed that NT1 patients exhibited significantly reduced frontal NoGo-P3 amplitudes compared to controls (p = 0.033, Cohen’s d = -0.565). Additionally, NT1 patients showed significantly longer parietal Go-P3 latencies compared to controls (p = 0.004, Cohen’s d = 0.677). No other group differences in post-hoc comparisons were significant (Table 3 and S2).
TF Results
For the Go condition, significant group differences in power were primarily observed in the theta (3-7 Hz) and slow alpha (8-10 Hz) bands. Specifically, compared to controls, NT1 patients exhibited lower theta power across all post-stimulus time windows (0-250 ms, 250-350 ms, 350-500 ms, and 500-900 ms) and reduced slow alpha power in the 0-250 ms, 250-350 ms, and 500-900 ms time windows. Additionally, group differences in ITPC were observed within the first 500 ms post-stimulus across the theta (3-7 Hz), slow alpha (8-10 Hz), and fast alpha (11-13 Hz) bands, with NT1 patients showing lower ITPC (Fig. 3A, C).
A Go condition TF power. B NoGo condition TF power. C Go condition ITPC. D NoGo condition ITPC. TF representations show group differences across frequency bands and time windows, with dashed lines (NT1 patients) and solid lines (healthy controls). Statistical significance: *** p < 0.001, ** p < 0.01, * p < 0.05. ITPC inter-trial phase coherence, NT1 narcolepsy type 1, TF Time-frequency.
For the NoGo condition, significant group differences in power were primarily observed in the theta band (3–7 Hz) within the first 500 ms and in the slow alpha band (8–10 Hz) during the 250-350 ms time window. Furthermore, ITPC differences were noted in the theta band during the N2 (250-350 ms) and P3 (350–500 ms) time windows, with NT1 patients exhibiting lower ITPC (Fig. 3B, D).
Relationship between behavioral and ERP data
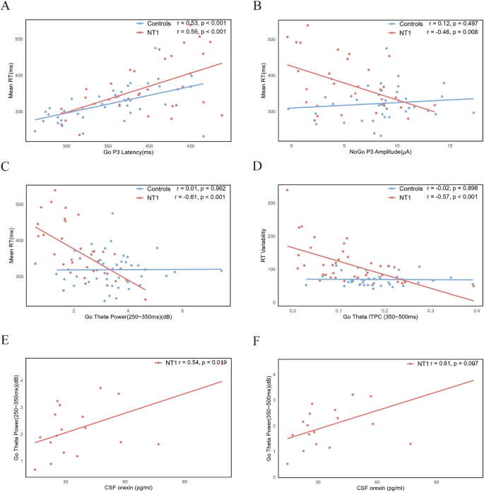
Go-P3 latency was positively correlated with mean RTs in both groups (NT1: r = 0.56; controls: r = 0.53; p < 0.001; Fig. 4A), indicating that delayed response execution contributes to slower overall RTs. In the NT1 group, NoGo-P3 amplitude was negatively correlated with mean RTs (r = −0.46, p = 0.008; Fig. 4B), suggesting that faster responders during the Go condition required larger Nogo-P3 amplitudes to effectively inhibit motor responses during the NoGo condition.
A Correlation between Mean RT and Go-P3 latency. B Correlation between Mean RT and NoGo-P3 amplitude. C Correlation between Mean RT and Go-theta power. D Correlation between RT variability and Go-theta ITPC. E Correlation between CSF orexin levels and theta-band (3-7 Hz) power within the 250-350 ms time window. F Correlation between CSF orexin levels and theta-band power within the 350-500 ms time window. CSF cerebrospinal fluid, ITPC inter-trial phase coherence, RT response time.
Relationship between behavioral and TF data
In the NT1 group, Go-theta power was negatively correlated with mean RTs during the N2 (250–350 ms; r = −0.61, p < 0.001) time window (Fig. 4C). Go-theta ITPC showed a negative correlation with RTV during the P3 time windows (350–500 ms; r = −0.57, p < 0.001; Fig. 4D). These correlations were absent in the control group, suggesting that NT1 patients rely more heavily on theta-band activity to sustain attention, particularly during Go trails requiring rapid responses.
Relationship between EEG and clinical data
For NT1 patients, Go-theta power during the N2 (250–350 ms; r = 0.54, p < 0.05) and P3 (350–500 ms; r = 0.61, p < 0.05) time windows was positively correlated with CSF orexin levels (Fig. 4E, F). This finding suggests that attenuated theta-band activity is a key neurophysiological alteration directly linked to the core pathophysiology of orexin deficiency in NT1.
Discussion
Cognitive impairments in NT1, particularly in attention and inhibitory control, are clinically significant yet mechanistically unclear. Here, by integrating behavioral measures with multimodal EEG analyses (ERPs and TF analysis), we reveal that NT1 patients exhibit: (1) significant behavioral impairments (slower RTs and more OEs/CEs); (2) characteristic electrophysiological abnormalities (reduced NoGo-P3 amplitudes, delayed Go-P3 latencies, and attenuated theta-band power and ITPC). Crucially, our study is the first to establish a quantitative link between diminished CSF orexin levels and attenuated theta-band oscillations, which in turn are correlated with behavioral impairments. Our findings bridge a gap between the core pathophysiology and cognitive manifestations in NT1. This not only refines our understanding of NT1-related cognitive dysfunction but also highlights the potential of theta oscillations as a quantifiable biomarker for disease monitoring and a target for neuromodulation therapies.
Behavioral performances
OEs in continuous performance tasks reflect deficits in sustained attention, whereas CEs reveal impaired inhibitory control. Consistent with previous studies, our findings demonstrate that NT1 patients exhibit more OEs, longer RTs, and greater RTV than healthy controls, highlighting pronounced attentional deficits [50,51,52,53]. Regarding inhibitory control, we initially observed no group differences in CEs. However, in a post-hoc analysis designed to account for a potential speed-accuracy tradeoff, a significant group difference emerged after controlling for mean RTs as a covariate. This suggests that participants may slow down during Go trials to achieve higher accuracy in NoGo trials [54]. NT1 patients appear to rely more heavily on this strategy than controls, enabling them to temporarily maintain inhibitory performance. Nevertheless, when accounting for the speed-accuracy tradeoff, NT1 patients showed significantly impaired inhibitory control.
ERP characteristics
The centro-parietal Go-P3 resembles the P3b component observed in oddball paradigms, reflecting involuntary relocation of attention to target stimuli, response preparation and execution [55, 56]. Prolonged Go-P3 latency in NT1 patients indicates delayed response execution, which aligns with our finding of a positive correlation between Go-P3 latency and mean RTs. This suggests that slower response execution significantly contributes to behavioral performance during Go trials. The absence of group differences in Go-N2 latency, coupled with significant differences in Go-P3 latency, implies that attention impairments in NT1 are primarily related to delayed response execution rather than deficits in stimulus perception or early evaluation.
Our study revealed a significant main effect of Condition, with both groups showing higher N2 and P3 amplitudes in the NoGo condition compared to the Go condition, consistent with prior Go/NoGo studies [23, 30, 57, 58]. This pattern reflects the increased cognitive demand required for inhibitory control. While both components are critical for successful inhibition, they represent different processes. NoGo-N2 is thought to reflect bottom-up conflict monitoring, arising from competition between frequent Go stimuli and infrequent NoGo stimuli [59], whereas NoGo-P3 is thought to reflect top-down conflict resolution and the actual inhibition of the motor response [56]. Our results showed group differences in NoGo-P3 amplitudes but not in NoGo-N2 amplitudes, suggesting that behavioral inhibition deficits in NT1 are primarily driven by impaired response inhibition rather than early conflict monitoring. Furthermore, NT1 patients with faster responses in the Go condition exhibited higher NoGo-P3 amplitudes, indicating that faster responders require more cognitive resources to achieve effective inhibition. This finding not only highlights the compensatory strategies employed by NT1 patients to maintain attention but also points to potential imbalances between attention and inhibitory control networks in this population.
TF characteristics
While ERPs provide initial insights into neurophysiological changes related to cognitive function, TF analysis disentangles power and phase effects across different frequencies, providing valuable insights into neural oscillations underlying ERP responses [32, 48]. Alpha-band oscillations (8–13 Hz), the brain’s dominant rhythm, are closely linked to arousal and attention. Higher alpha power is associated with increased arousal levels [60, 61]. Specifically, slow alpha (8–10 Hz) facilitates attentional deployment by filtering out irrelevant information [62,63,64]. In our study, NT1 patients exhibited reduced slow alpha power across multiple time windows, indicating lower levels of arousal and an impaired ability to suppress internal or external distractions.
Theta-band oscillations (3–7 Hz) are critical for a range of cognitive processes, including arousal, selective attention, motor preparation, execution, and top-down inhibitory control [38, 39, 65]. In cognitively normal individuals, higher frontal midline theta power during NoGo trials compared to Go trials highlights the role of theta modulation in recruiting cognitive control processes necessary for response inhibition [38, 66]. Our findings of reduced NoGo-theta power and ITPC in NT1 support the presence of impaired inhibitory control, potentially explaining their impulsive behaviors. Furthermore, the attenuation of Go-theta power and ITPC, along with their association with poorer performance on Go trials, suggests that deficits in theta-band activity also contribute to inattention. Specifically, reduced Go-theta power was correlated with slower RTs, while reduced Go-theta ITPC was linked to greater RTV, particularly within time windows aligned with the N2 and P3 components. This implies that response speed and stability rely on separate but complementary neural processes: impaired Go-theta power affects the efficiency of response execution, while impaired ITPC impacts the consistency of responses over time.
For the first time, we identified a positive correlation between EEG measures (e.g., Go-theta power) and CSF orexin levels in NT1, suggesting that orexin deficiency may underlie impaired theta-band oscillations and subsequent attentional deficits. Orexin neurons, through their widespread projections to key brain regions including the prefrontal cortex, thalamus, and locus coeruleus, play a pivotal role in maintaining cortical arousal and attentional networks [67, 68]. The observed modulation of theta oscillations by orexin is particularly noteworthy, as these neural rhythms are fundamental for attention allocation and cognitive control [49, 69,70,71]. Thus, we propose a mechanistic hypothesis: orexin deficiency disrupts thalamocortical network dynamics by attenuating theta-band oscillations, thereby impairing the functional integrity of brain networks essential for sustained attention. Future studies should investigate whether therapeutic restoration of orexin signaling can normalize theta oscillations and improve attentional performance in NT1, potentially offering a targeted treatment approach for cognitive impairments in this population [72, 73].
Specificity and robustness of findings
A critical question is whether the cognitive impairment observed in our study stems from orexin deficiency itself, or is a secondary consequence of clinical symptoms like EDS and disturbed nocturnal sleep (DNS). Although these symptoms can impact cognition [10, 74], our study found no significant correlation between their severity scores (ESS, PSQI) and primary behavioral measures. Furthermore, these clinical scores also did not correlate with the underlying EEG alterations. Conversely, a direct link between CSF orexin levels and theta-band activity was evident.
Beyond clinical symptoms, we also rigorously tested for potential demographic confounds. A comparison of NT1 subgroups revealed a difference in educational level between those with and without CSF data (see Table S3). However, a crucial correlation analysis confirmed that educational level was not correlated with either CSF orexin levels (p = 0.499) or Go-theta power (p = 0.392). We must interpret this finding with caution, as the small subgroup size provides limited statistical power to detect a true effect. Nevertheless, this analysis provides suggestive evidence that the observed EEG-orexin relationship is robust and not primarily driven by educational differences.
Taken together, these supplementary analyses strengthen our main conclusion: the observed alterations in theta oscillations are more likely a specific and robust neurophysiological marker of the underlying orexin deficiency, rather than an artifact of clinical symptoms or demographic differences. Future longitudinal studies are nonetheless needed to fully disentangle these relationships.
Limitations
This study had several limitations. First, although our sample size was large for this field, it remains modest, which limits statistical power to explore the heterogeneity of cognitive profiles in NT1. Consequently, while we report robust group-level findings, these average effects may mask significant interindividual variability. Therefore, future research with larger and more heterogeneous samples is not only needed for replication but is critical to validate our findings and to identify potential patient subgroups with distinct neurophysiological signatures. Second, the potential influence of medication on behavioral and electrophysiological outcomes could not be fully disentangled from the effects of the illness itself. Future research should investigate the impact of medication on cognitive function and neural dynamics. Third, the SART paradigm used in this study was relatively brief and simple, and other potential cognitive impairments may only emerge during more complex or prolonged tasks. Fourth, although our groups were sex-matched, we did not include sex as a moderating variable in our primary analyses due to limited statistical power. However, an exploratory comparison within our NT1 sample revealed that female patients made significantly more CEs than male patients (p = 0.032), suggesting a potential sex-specific vulnerability in inhibitory control. This preliminary finding highlights that investigating sex differences in the neurophysiological correlates of cognitive dysfunction in NT1 is a critical direction for future research, which will require larger, specifically powered samples to fully elucidate these effects.
Conclusion
This study is the first to systematically evaluate attention and executive function in NT1 using combined time-domain and time-frequency EEG analyses. Our multimodal approach reveals distinct neurophysiological signatures of cognitive deficits: (1) attention impairments are characterized by delayed response preparation and execution, as evidenced by prolonged Go-P3 latency, while (2) inhibitory control deficits are associated with impaired response inhibition and reduced attentional resource allocation, reflected by reduced NoGo-P3 amplitude. Crucially, TF analyses further reveal that attenuated theta-band oscillations may serve as a key neurophysiological substrate, directly linking these cognitive impairments to the core pathophysiology of orexin deficiency. These findings not only advance our understanding of the neural mechanisms of NT1-related cognitive dysfunction but also highlight the potential of these EEG measures as clinically translatable biomarkers for clinical monitoring and future therapeutic development.
Data availability
The data that support the findings of this study are available from the corresponding author upon reasonable request. Data are not publicly available due to privacy and ethical restrictions related to patient information.
Code availability
The custom scripts used for data analysis in this study are available from the corresponding author on reasonable request.
References
Bassetti CLA, Adamantidis A, Burdakov D, Han F, Gay S, Kallweit U, et al. Narcolepsy - clinical spectrum, aetiopathophysiology, diagnosis and treatment. Nat Rev Neurol. 2019;15:519–539. https://doi.org/10.1038/s41582-019-0226-9.
Kornum BR, Knudsen S, Ollila HM, Pizza F, Jennum PJ, Dauvilliers Y, et al. Narcolepsy. Nat Rev Dis Prim. 2017;3:16100. https://doi.org/10.1038/nrdp.2016.100.
Barateau L, Liblau R, Peyron C, Dauvilliers Y. Narcolepsy type 1 as an autoimmune disorder: evidence, and implications for pharmacological treatment. CNS Drugs. 2017;31:821–34. https://doi.org/10.1007/s40263-017-0464-6.
Durairaja A, Fendt M. Orexin deficiency modulates cognitive flexibility in a sex-dependent manner. Genes Brain Behav. 2021;20:e12707. https://doi.org/10.1111/gbb.12707.
BaHammam AS, Alnakshabandi K, Pandi-Perumal SR. Neuropsychiatric correlates of narcolepsy. Curr Psychiatry Rep. 2020;22:36. https://doi.org/10.1007/s11920-020-01159-y.
Thieux M, Zhang M, Marcastel A, Herbillon V, Guignard-Perret A, Seugnet L, et al. Intellectual abilities of children with narcolepsy. J Clin Med. 2020;9:4075. https://doi.org/10.3390/jcm9124075.
Zamarian L, Högl B, Delazer M, Hingerl K, Gabelia D, Mitterling T, et al. Subjective deficits of attention, cognition and depression in patients with narcolepsy. Sleep Med. 2015;16:45–51. https://doi.org/10.1016/j.sleep.2014.07.025.
Witt ST, Drissi NM, Tapper S, Wretman A, Szakács A, Hallböök T, et al. Evidence for cognitive resource imbalance in adolescents with narcolepsy. Brain Imaging Behav. 2018;12:411–24. https://doi.org/10.1007/s11682-017-9706-y.
Medrano-Martinez P, Peraita-Adrados R. Neuropsychological alterations in narcolepsy with cataplexy and the expression of cognitive deficits. J Int Neuropsychol Soc. 2020;26:587–95. https://doi.org/10.1017/S1355617719001334.
Filardi M, D’Anselmo A, Agnoli S, Rubaltelli E, Mastria S, Mangiaruga A, et al. Cognitive dysfunction in central disorders of hypersomnolence: a systematic review. Sleep Med Rev. 2021;59:101510. https://doi.org/10.1016/j.smrv.2021.101510.
Harel BT, Gattuso JJ, Latzman RD, Maruff P, Scammell TE, Plazzi G. The nature and magnitude of cognitive impairment in narcolepsy type 1, narcolepsy type 2, and idiopathic hypersomnia: a meta-analysis. Sleep Adv. 2024;5:zpae043. https://doi.org/10.1093/sleepadvances/zpae043.
Cano CA, Harel BT, Scammell TE. Impaired cognition in narcolepsy: clinical and neurobiological perspectives. Sleep. 2024;47:zsae150. https://doi.org/10.1093/sleep/zsae150.
Huang YS, Hsiao IT, Liu FY, Hwang FM, Lin KL, Huang WC, et al. Neurocognition, sleep, and PET findings in type 2 vs type 1 narcolepsy. Neurology. 2018;90:e1478. https://doi.org/10.1212/WNL.0000000000005346.
Ramm M, Jafarpour A, Boentert M, Lojewsky N, Young P, Heidbreder A. The perception and attention functions test battery as a measure of neurocognitive impairment in patients with suspected central disorders of hypersomnolence. J Sleep Res. 2018;27:273–80. https://doi.org/10.1111/jsr.12587.
Janssens KAM, Quaedackers L, Lammers GJ, Amesz P, van Mierlo P, Aarts L, et al. Effect of treatment on cognitive and attention problems in children with narcolepsy type 1. Sleep. 2020;43:zsaa114. https://doi.org/10.1093/sleep/zsaa114.
Tiego J, Testa R, Bellgrove MA, Pantelis C, Whittle S. A hierarchical model of inhibitory control. Front Psychol. 2018;9:1339. https://doi.org/10.3389/fpsyg.2018.01339.
Van Schie MK, Thijs RD, Fronczek R, Middelkoop HA, Lammers GJ, Van Dijk JG. Sustained attention to response task (SART) shows impaired vigilance in a spectrum of disorders of excessive daytime sleepiness. J Sleep Res. 2012;21:390–5. https://doi.org/10.1111/j.1365-2869.2011.00979.x.
van der Heide A, van Schie MK, Lammers GJ, Dauvilliers Y, Arnulf I, Mayer G, et al. Comparing treatment effect measurements in narcolepsy: the sustained attention to response task, epworth sleepiness scale and maintenance of wakefulness test. Sleep. 2015;38:1051–8. https://doi.org/10.5665/sleep.4810.
Fronczek R, Middelkoop HA, van Dijk JG, Lammers GJ. Focusing on vigilance instead of sleepiness in the assessment of narcolepsy: high sensitivity of the sustained attention to response task (SART). Sleep. 2006;29:187–91.
Gool JK, van der Werf YD, Lammers GJ, Fronczek R. The sustained attention to response task shows lower cingulo-opercular and frontoparietal activity in people with narcolepsy type 1: an fMRI study on the neural regulation of attention. Brain Sci. 2020;10:419. https://doi.org/10.3390/brainsci10070419.
Palmero LB, Martínez-Pérez V, Tortajada M, Campoy G, Fuentes LJ. Mid-luteal phase progesterone effects on vigilance tasks are modulated by women’s chronotype. Psychoneuroendocrinology. 2022;140:105722. https://doi.org/10.1016/j.psyneuen.2022.105722.
Robertson IH, Manly T, Andrade J, Baddeley BT, Yiend J. ‘Oops!’: performance correlates of everyday attentional failures in traumatic brain injured and normal subjects. Neuropsychologia. 1997;35:747–58. https://doi.org/10.1016/s0028-3932(97)00015-8.
Rommel AS, James SN, McLoughlin G, Brandeis D, Banaschewski T, Asherson P, et al. Association of preterm birth with attention-deficit/hyperactivity disorder-like and wider-ranging neurophysiological impairments of attention and inhibition. J Am Acad Child Adolesc Psychiatry. 2017;56:40–50. https://doi.org/10.1016/j.jaac.2016.10.006.
Hoonakker M, Doignon-Camus N, Marques-Carneiro JE, Bonnefond A. Sustained attention ability in schizophrenia: investigation of conflict monitoring mechanisms. Clin Neurophysiol. 2017;128:1599–607. https://doi.org/10.1016/j.clinph.2017.06.036.
Kusztor A, Raud L, Juel BE, Nilsen AS, Storm JF, Huster RJ. Sleep deprivation differentially affects subcomponents of cognitive control. Sleep. 2019;42:zsz016. https://doi.org/10.1093/sleep/zsz016.
Liu Y, Hou Y, Quan H, Zhao D, Zhao J, Cao B, et al. Mindfulness training improves attention: evidence from behavioral and event-related potential analyses. Brain Topogr. 2023;36:243–54. https://doi.org/10.1007/s10548-023-00938-z.
James SN, Rommel AS, Rijsdijk F, Michelini G, McLoughlin G, Brandeis D, et al. Is association of preterm birth with cognitive-neurophysiological impairments and ADHD symptoms consistent with a causal inference or due to familial confounds?. Psychol Med. 2020;50:1278–84. https://doi.org/10.1017/S0033291719001211.
Shao C, Li D, Zhang X, Xiang F, Zhang X, Wang X. Inhibitory control deficits in patients with mesial temporal lobe epilepsy: an event-related potential analysis based on Go/NoGo task. Front Neurol. 2024;14:1326841. https://doi.org/10.3389/fneur.2023.1326841.
Luijten M, Machielsen MW, Veltman DJ, Hester R, de Haan L, Franken IH. Systematic review of ERP and fMRI studies investigating inhibitory control and error processing in people with substance dependence and behavioural addictions. J Psychiatry Neurosci. 2014;39:149–69. https://doi.org/10.1503/jpn.130052.
Hsieh MT, Lu H, Chen LF, Liu CY, Hsu SC, Cheng CH. Cancellation but not restraint ability is modulated by trait anxiety: an event-related potential and oscillation study using Go-Nogo and stop-signal tasks. J Affect Disord. 2022;299:188–95. https://doi.org/10.1016/j.jad.2021.11.066.
Morales S, Bowers ME. Time-frequency analysis methods and their application in developmental EEG data. Dev Cogn Neurosci. 2022;54:101067. https://doi.org/10.1016/j.dcn.2022.101067.
Cohen M: Analyzing neural time series data: theory and practice: MIT press; 2014.
Nguyen LT, Mudar RA, Chiang HS, Schneider JM, Maguire MJ, Kraut MA, et al. Theta and alpha alterations in amnestic mild cognitive impairment in semantic Go/NoGo tasks. Front Aging Neurosci. 2017;9:160. https://doi.org/10.3389/fnagi.2017.00160.
Nigbur R, Ivanova G, Stürmer B. Theta power as a marker for cognitive interference. Clin Neurophysiol. 2011;122:2185–94. https://doi.org/10.1016/j.clinph.2011.03.030.
Yamanaka K, Yamamoto Y. Single-trial EEG power and phase dynamics associated with voluntary response inhibition. J Cogn Neurosci. 2010;22:714–27. https://doi.org/10.1162/jocn.2009.21258.
Kropotov J, Ponomarev V, Tereshchenko EP, Müller A, Jäncke L. Effect of aging on ERP components of cognitive control. Front Aging Neurosci. 2016;8:69. https://doi.org/10.3389/fnagi.2016.00069.
Sadaghiani S, Kleinschmidt A. Brain networks and α-oscillations: structural and functional foundations of cognitive control. Trends Cogn Sci. 2016;20:805–17. https://doi.org/10.1016/j.tics.2016.09.004.
Cavanagh JF, Frank MJ. Frontal theta as a mechanism for cognitive control. Trends Cogn Sci. 2014;18:414–21. https://doi.org/10.1016/j.tics.2014.04.012.
McLoughlin G, Gyurkovics M, Palmer J, Makeig S. Midfrontal theta activity in psychiatric illness: an index of cognitive vulnerabilities across disorders. Biol Psychiatry. 2022;91:173–82. https://doi.org/10.1016/j.biopsych.2021.08.020.
Foxe JJ, Snyder AC. The role of alpha-band brain oscillations as a sensory suppression mechanism during selective attention. Front Psychol. 2011;2:154. https://doi.org/10.3389/fpsyg.2011.00154.
Cooper PS, Darriba Á, Karayanidis F, Barceló F. Contextually sensitive power changes across multiple frequency bands underpin cognitive control. Neuroimage. 2016;132:499–511. https://doi.org/10.1016/j.neuroimage.
Sateia MJ. International classification of sleep disorders-third edition: highlights and modifications. Chest. 2014;146:1387–94. https://doi.org/10.1378/chest.14-0970.
McMackin R, Dukic S, Costello E, Pinto-Grau M, Keenan O, Fasano A. et al. Sustained attention to response task-related beta oscillations relate to performance and provide a functional biomarker in ALS. J Neural Eng.2021;18:026006. https://doi.org/10.1088/1741-2552/abd829.
Delorme A, Makeig S. EEGLAB: an open source toolbox for analysis of single-trial EEG dynamics including independent component analysis. J Neurosci Methods. 2004;134:9–21. https://doi.org/10.1016/j.jneumeth.2003.10.009.
Jung TP, Makeig S, Humphries C, Lee TW, McKeown MJ, Iragui V, et al. Removing electroencephalographic artifacts by blind source separation. Psychophysiology. 2000;37:163–78. https://doi.org/10.1111/1469-8986.3720163.
Jensen KM, MacDonald JA. Towards thoughtful planning of ERP studies: how participants, trials, and effect magnitude interact to influence statistical power across seven ERP components. Psychophysiology. 2023;60:e14245. https://doi.org/10.1111/psyp.14245.
Ouyang G, Sommer W, Zhou C. A toolbox for residue iteration decomposition (RIDE)-A method for the decomposition, reconstruction, and single trial analysis of event related potentials. J Neurosci Methods. 2015;250:7–21. https://doi.org/10.1016/j.jneumeth.2014.10.009.
Messerotti Benvenuti S, Buodo G, Palomba D. Appetitive and aversive motivation in dysphoria: A time-domain and time-frequency study of response inhibition. Biol Psychol. 2017;125:12–27. https://doi.org/10.1016/j.biopsycho.2017.02.007.
Hong X, Sun J, Wang J, Li C, Tong S. Attention-related modulation of frontal midline theta oscillations in cingulate cortex during a spatial cueing Go/NoGo task. Int J Psychophysiol. 2020;148:1–12. https://doi.org/10.1016/j.ijpsycho.2019.11.011.
van Schie MK, Werth E, Lammers GJ, Overeem S, Baumann CR, Fronczek R. Improved vigilance after sodium oxybate treatment in narcolepsy: a comparison between in-field and in-laboratory measurements. J Sleep Res. 2016;25:486–96. https://doi.org/10.1111/jsr.12386.
Prasad B, Choi YK, Weaver TE, Carley DW. Pupillometric assessment of sleepiness in narcolepsy. Front Psychiatry. 2011;2:35. https://doi.org/10.3389/fpsyt.2011.00035.
Thomann J, Baumann CR, Landolt HP, Werth E. Psychomotor vigilance task demonstrates impaired vigilance in disorders with excessive daytime sleepiness. J Clin Sleep Med. 2014;10:1019–24. https://doi.org/10.5664/jcsm.4042.
Trotti LM, Saini P, Bremer E, Mariano C, Moron D, Rye DB, et al. The psychomotor vigilance test as a measure of alertness and sleep inertia in people with central disorders of hypersomnolence. J Clin Sleep Med. 2022;18:1395–403. https://doi.org/10.5664/jcsm.9884.
Tsetsos K. Unlocking a new dimension in the speed-accuracy trade-off. Trends Cogn Sci. 2023;27:510–1. https://doi.org/10.1016/j.tics.2023.03.005.
Pires L, Leitão J, Guerrini C, Simões MR. Event-related brain potentials in the study of inhibition: cognitive control, source localization and age-related modulations. Neuropsychol Rev. 2014;24:461–90. https://doi.org/10.1007/s11065-014-9275-4.
Polich J. Updating P300: an integrative theory of P3a and P3b. Clin Neurophysiol. 2007;118:2128–48. https://doi.org/10.1016/j.clinph.2007.04.019.
Xian Z, Liu H, Gu Y, Hu Z, Li G. EEG biomarkers of behavioral inhibition in patients with depression who committed violent offenses: a Go/NoGo ERP study. Cereb Cortex. 2024;34:bhae010. https://doi.org/10.1093/cercor/bhae010.
Morand-Beaulieu S, Smith SD, Ibrahim K, Wu J, Leckman JF, Crowley MJ, et al. Electrophysiological signatures of inhibitory control in children with Tourette syndrome and attention-deficit/hyperactivity disorder. Cortex. 2022;147:157–68. https://doi.org/10.1016/j.cortex.2021.12.006.
Albert J, López-Martín S, Hinojosa JA, Carretié L. Spatiotemporal characterization of response inhibition. Neuroimage. 2013;76:272–81. https://doi.org/10.1016/j.neuroimage.2013.03.011.
Wiegand I, Sander MC. Cue-related processing accounts for age differences in phasic alerting. Neurobiol Aging. 2019;79:93–100. https://doi.org/10.1016/j.neurobiolaging.2019.03.017.
Dikker S, Haegens S, Bevilacqua D, Davidesco I, Wan L, Kaggen L, et al. Morning brain: real-world neural evidence that high school class times matter. Soc Cogn Affect Neurosci. 2020;15:1193–202. https://doi.org/10.1093/scan/nsaa142.
Klimesch W. α-band oscillations, attention, and controlled access to stored information. Trends Cogn Sci. 2012;16:606–17. https://doi.org/10.1016/j.tics.2012.10.007.
Klimesch W, Sauseng P, Hanslmayr S. EEG alpha oscillations: the inhibition-timing hypothesis. Brain Res Rev. 2007;53:63–88. https://doi.org/10.1016/j.brainresrev.2006.06.003.
Jensen O, Mazaheri A. Shaping functional architecture by oscillatory alpha activity: gating by inhibition. Front Hum Neurosci. 2010;4:186. https://doi.org/10.3389/fnhum.2010.00186.
Pandey AK, Kamarajan C, Manz N, Chorlian DB, Stimus A, Porjesz B. Delta, theta, and alpha event-related oscillations in alcoholics during Go/NoGo task: neurocognitive deficits in execution, inhibition, and attention processing. Prog Neuropsychopharmacol Biol Psychiatry. 2016;65:158–71. https://doi.org/10.1016/j.pnpbp.2015.10.002.
Harper J, Malone SM, Bachman MD, Bernat EM. Stimulus sequence context differentially modulates inhibition-related theta and delta band activity in a go/no-go task. Psychophysiology. 2016;53:712–22. https://doi.org/10.1111/psyp.12604.
Peyron C, Tighe DK, van den Pol AN, de Lecea L, Heller HC, Sutcliffe JG, et al. Neurons containing hypocretin (orexin) project to multiple neuronal systems. J Neurosci. 1998;18:9996–10015. https://doi.org/10.1523/JNEUROSCI.18-23-09996.1998.
Villano I, Messina A, Valenzano A, Moscatelli F, Esposito T, Monda V, et al. Basal forebrain cholinergic system and orexin neurons: effects on attention. Front Behav Neurosci. 2017;11:10. https://doi.org/10.3389/fnbeh.2017.00010.
Clayton MS, Yeung N, Cohen Kadosh R. The roles of cortical oscillations in sustained attention. Trends Cogn Sci. 2015;19:188–95. https://doi.org/10.1016/j.tics.2015.02.004.
Ness T, Langlois VJ, Novick JM, Kim AE. Theta-band neural oscillations reflect cognitive control during language processing. J Exp Psychol Gen. 2024;153:2279–98. https://doi.org/10.1037/xge0001621.
Senoussi M, Verbeke P, Desender K, De Loof E, Talsma D, Verguts T. Theta oscillations shift towards optimal frequency for cognitive control. Nat Hum Behav. 2022;6:1000–13. https://doi.org/10.1038/s41562-022-01335-5.
Riddle J, Frohlich F. Targeting neural oscillations with transcranial alternating current stimulation. Brain Res. 2021;1765:147491. https://doi.org/10.1016/j.brainres.2021.1474911.
Reinhart RM, Zhu J, Park S, Woodman GF. Synchronizing theta oscillations with direct-current stimulation strengthens adaptive control in the human brain. Proc Natl Acad Sci USA. 2015;112:9448–53. https://doi.org/10.1073/pnas.1504196112.
Roth T. Effects of excessive daytime sleepiness and fatigue on overall health and cognitive function. J Clin Psychiatry. 2015;76:e1145. https://doi.org/10.4088/JCP.14019tx1c.
Acknowledgements
We thank the individuals who participated in this trial, their families, and the clinical and research teams in the neurology department and school of physics of Sir Run Run Shaw Hospital, School of Medicine, Zhejiang University, China.
Funding
This work was funded by the Shanghai Science and Technology Program/Natural Science Foundation of Shanghai (22ZR1449800), National Natural Science Foundation of China (81401038), the Medical Health Science and Technology Project of Zhejiang Provincial Health Commission under award number (2020383055/2020KY164), and Special Fund for Clinical Research of Zhejiang Medical Association (2022ZYC-A133).
Author information
Authors and Affiliations
Contributions
Zongshan Li: Conceptualization, Methodology, Data collection, Writing-original draft, Writing review & editing. Xiao Han: Conceptualization, Methodology, Statistical analysis, Data visualization, Writing review & editing. Jiahui Xu: Methodology, Assisted in the completion of revised manuscript. Qinglin Xu: Methodology, Assisted in the completion of revised manuscript. Xuelian Ge: Assisted with data analysis. Yi Yang: Data collection. Jiaqin Yu: Data collection. Guodong Lou: Data collection. Yaxing Gui: Methodology, Assisted in the completion of revised manuscript. Feiyan Chen: Conceptualization, Methodology, Assisted in the completion of revised manuscript. Lisan Zhang: Conceptualization, Methodology, Assisted in the completion of revised manuscript. All authors have approved for the publication of this study.
Corresponding authors
Ethics declarations
Competing interests
The authors declare no Competing interests.
Ethics approval and consent to participate
All methods were performed in accordance with the relevant guidelines and regulations. The study protocol was approved by the Ethics Committee of Sir Run Run Shaw Hospital, School of Medicine, Zhejiang University (20211007-32). Informed consent was obtained from all participants or their legal representatives.
Additional information
Publisher’s note Springer Nature remains neutral with regard to jurisdictional claims in published maps and institutional affiliations.
Supplementary information
Rights and permissions
Open Access This article is licensed under a Creative Commons Attribution-NonCommercial-NoDerivatives 4.0 International License, which permits any non-commercial use, sharing, distribution and reproduction in any medium or format, as long as you give appropriate credit to the original author(s) and the source, provide a link to the Creative Commons licence, and indicate if you modified the licensed material. You do not have permission under this licence to share adapted material derived from this article or parts of it. The images or other third party material in this article are included in the article’s Creative Commons licence, unless indicated otherwise in a credit line to the material. If material is not included in the article’s Creative Commons licence and your intended use is not permitted by statutory regulation or exceeds the permitted use, you will need to obtain permission directly from the copyright holder. To view a copy of this licence, visit http://creativecommons.org/licenses/by-nc-nd/4.0/.
About this article
Cite this article
Li, Z., Han, X., Xu, J. et al. Attention and inhibition deficits in narcolepsy type 1: behavioral and electrophysiological markers. Transl Psychiatry 15, 464 (2025). https://doi.org/10.1038/s41398-025-03684-x
Received:
Revised:
Accepted:
Published:
Version of record:
DOI: https://doi.org/10.1038/s41398-025-03684-x



