Abstract
Depression, which is increasingly prevalent among older adults, has traditionally been diagnosed through symptom-based questionnaires. However, emerging evidence suggests that retinal changes could serve as objective biomarkers for depression. In this study, we investigated the optic disc signature of depression by leveraging automated fundus morphometrics (deep learning segmentation) and Olink-based plasma proteome profiling to explore potential mechanistic pathways. A total of 412 participants from two independent cohorts, the UK Biobank and the Guangdong Ophthalmic-Psychological Health Study (GD-OPHS), were included in the analysis. Our findings indicate that individuals with depression exhibited increased roundness of the optic disc (UK Biobank: OR = 1.12, 95% CI = 1.01–1.25; GD-OPHS: OR = 1.16, 95% CI = 1.02–1.32) and a larger optic disc tilt angle (UK Biobank: OR = 2.83, 95% CI = 1.61–4.96; GD-OPHS: OR = 1.81, 95% CI = 1.02–3.21). Importantly, optic disc roundness correlated with the expression of two depression-related proteins, LRRN1 (p = 0.010) and PRL (p = 0.022). Both LRRN1 and PRL are enriched in the retina, as well as in key brain regions involved in emotional regulation, including the cerebral cortex, thalamus, and hippocampus. Given the strong connections between the retina and the central nervous system, our results suggest that optic disc morphology may serve as an objective, non-invasive biomarker for depression.
Introduction
Depression, a widespread psychiatric disorder affecting approximately 14% of elderly populations, has become a major public health issue, linked to significant functional and socio-occupational impairments [1, 2]. Despite its high prevalence, the diagnosis of depression primarily depends on subjective self-reports, as objective and convenient biomarkers are lacking, especially in older adults [3, 4]. While numerous studies have demonstrated associations between depression and brain pathology or imaging changes, the widespread application of brain imaging technologies is constrained by their high costs, lengthy procedures, and limited accessibility [5,6,7]. Consequently, there is an urgent need to develop non-invasive, convenient, and efficient objective assessment tools for the diagnosis and monitoring of depression.
Given the anatomical, physiological, and embryological similarities between the retina and the brain [8, 9], the retina, as an integral component of the central nervous system, may provide a non-invasive avenue for investigating the neurological underpinnings of depression [10]. Recent research has shown that visual impairment can contribute to depression, with a meta-analysis revealing an elevated prevalence of depression among patients with visual impairment across 27 studies [11]. Further studies have uncovered links between eye diseases such as cataracts, glaucoma, age-related macular degeneration, and diabetic retinopathy and depression [12]. Evidence also suggests that a reduced thickness of the ganglion cell complex (GCC) and retinal nerve fiber layer (RNFL), as assessed through optical coherence tomography (OCT) and optical coherence tomography angiography (OCTA), is significantly associated with depression [13,14,15,16]. However, the precise relationship between optic disc morphology and depression remains poorly understood.
The optic disc, where retinal ganglion cell axons converge and form the optic nerve, plays a critical role in the visual pathway by transmitting visual information from the eye to the brain. Therefore, investigating the connection between optic disc morphology and depression could offer unique insights into the pathophysiological mechanisms of depression. Furthermore, proteomics has the potential to elucidate the pathophysiology of depression in relation to optic disc neural structures. Although studies have identified potential biomarkers for both depression and retinal health through proteomic analysis, a direct link between these findings remains unestablished [17,18,19].
We hypothesize that depression-associated retinal phenotypic alterations may serve as novel, non-invasive biomarkers for depression screening and diagnosis. This study aimed to determine whether the retinal optic disc morphology is robustly associated with depression across two independent cohorts: the UK Biobank and the Guangdong Ophthalmic-Psychological Health Study (GD-OPHS). Additionally, we explored the underlying biological mechanisms linking depression and changes in the optic disc by evaluating their associations with proteomics, as measured by Olink assays from the UK Biobank.
Materials and methods
Participants
We included participants from the UK Biobank and GD-OPHS. The UK Biobank initially recruited over 500,000 participants from 22 assessment centers across England, Scotland, and Wales. Baseline data, including questionnaires, physical measurements, and biological samples, were collected between 2006 and 2010, covering sociodemographic information, lifestyle factors, and details on ocular and mental health status. The GD-OPHS study was conducted with participants recruited from the Guangdong Mental Health Center, Guangdong Provincial People’s Hospital, and Southern Medical University between January 2022 and December 2023. Demographic characteristics, mood questionnaires, and ophthalmic assessments, including visual acuity and refractive error measurements, were performed. The study was performed according to the principles of the Declaration of Helsinki and followed the Strengthening the Reporting of Observational Studies in Epidemiology (STROBE) reporting guideline.
Based on the patient self-report questionnaires, physician diagnosis, registry data, or diagnostic interviews using the International Statistical Classification of Diseases and Related Health Problems, Tenth Revision (ICD-10), and Patient Health Questionnaire, participants will be excluded if they meet any of the following criteria: (1) insufficient image quality or unavailability of fundus photographs; (2) diagnoses of other mental disorders, including anxiety, bipolar disorder, and schizophrenia; (3) diagnoses of eye diseases, such as cataract, diabetic retinopathy, macular degeneration, glaucoma, and high myopia (SE ≤ −6 D); (4) diagnoses of other system diseases, including cardiovascular diseases, kidney diseases, and other neurological disorders.
Retinal imaging and pre-processing
Retinal photographs were collected from UK Biobank participants at the baseline visit between 2009 and 2010. Single field colour fundus photographs (45 ° field-of-view, centred to include both optic disc and macula) were captured using a digital Topcon-1000 integrated ophthalmic camera (Topcon 3D OCT1000 Mark II, Topcon Corp., Tokyo, Japan). To obtain valid and high-quality fundus images, participants were seated in a dark, glare-free room. The right eye was photographed first, followed by the left eye, with retakes performed if the retinal photograph was deemed unacceptable.
Similarly, non-mydriatic retinal photographs for patients in the GD-OPHS were collected between 2022 and 2023. The images were captured using a TRC.NW8 camera (Topcon Corp., Tokyo, Japan) under the same dark-room conditions. The acquired retinal images were then analyzed to precisely quantify optic disc indices using a validated semantic segmentation model based on ResNet50 [20].
Following the collection of fundus photographs, unqualified images were automatically screened and excluded to ensure accurate identification and quantification of retinal features. The selection process utilized a classification model based on AutoMorph to identify ungradable images and an autofocus algorithm to detect and remove blurred images [21, 22]. The images were then subjected to preprocessing operations, including region-of-interest extraction, denoising, normalization, and enhancement, to remove non-fundus structural regions and minimize inter-image variability. These steps improved the clarity and quality of fundus features through a series of algorithms (see Supplementary Methods).
Automatic extraction of retinal tilt angle and roundness of optic disc
Based on the segmentation for optic disc region, the minimum circumscribed ellipse was fitted. The tilt angle of optic disc was defined as the angle between the long axis of the minimum external ellipse and the horizontal.
The roundness of the optic disc was calculated according to the following formula:
Where C is the roundness of the optic disc; F represents the optic disc area, that is the number of pixels occupied by the optic disc area, and R represents the minimum circumscribed circle radius of the optic disc (Fig. 1).
Graphic abstract.
Depression diagnosis
Depression in both cohorts was diagnosed based on the following criteria, and required meeting at least one of three criteria: (1) presence of depression as indicated by self-reported questionnaires; (2) physician diagnosis, registry data, or diagnostic interviews using the International Statistical Classification of Diseases and Related Health Problems, Tenth Revision (ICD-10), codes F32 through F33; and (3) elevated depressive symptoms as defined by validated cutoffs for the Patient Health Questionnaire (PHQ-2). A summary of the depression-related outcomes used in the UK Biobank is provided in Supplemental Table S1.
Plasma proteome and tissue-based expression
Olink proteomics data of UK Biobank were collected using the Proximity Extension Assay and Next-Generation Sequencing to assess 1463 distinct proteins between April 2021 and January 2022 [23,24,25]. Comprehensive quality control measures and standardization of protein concentrations were performed, resulting in Normalized Protein eXpression (NPX) values for each protein in each participant. These NPX values, expressed on a log2 scale, represent the relative protein quantification unit used by Olink [26]. After thorough quality control, proteins were categorized into four panels: cardiometabolic, inflammation, neurology, and oncology. Following the exclusion of proteins with more than 50% missing data, 1461 proteins were selected for analysis.
The Human Protein Atlas (https://www.proteinatlas.org/) was utilized to characterize specific gene expression profiles across normal human tissues, including the retina and brain [27]. Transcriptome profiling of specific gene was based on massive parallel sequencing of mRNA, and data analysis was performed using strategies previously described [27].
Demographic data
Demographic information for the UK Biobank included age, sex, ethnicity, visual acuity, spherical equivalent (SE), education level, Townsend deprivation index, body mass index (BMI), physical activity level, glycated hemoglobin, and history of hypertension and hyperlipidemia. Hypertension and hyperlipidemia were defined based on diagnoses, self-reports, medications, or physical measurements. Detailed demographic information is provided in Supplementary Table 1. For the GD-OPHS study, demographic data included age, sex, BMI, SE, and best corrected visual acuity (BCVA).
Statistical analysis
Continuous variables for baseline characteristics were described through mean and SD or median with IQR, while categorical variables were presented as numbers and percentages. Comparisons between the continuous and categorical variables at baseline were performed by unpaired t tests and χ2 tests, respectively. Logistic regression models were used to compare optic disc characteristics between the depression group and healthy controls, adjusting for covariates including age, sex, ethnicity, Townsend deprivation index, educational attainment, physical activity, BMI, visual acuity, spherical equivalent (SE), and other relevant factors.
Elastic net regression was performed using the glmnet package in R [28] to identify significant proteins associated with depression in UK Biobank. The samples were randomly divided into discovery and replication datasets in an 8:2 ratio. Cross-verification within the discovery dataset was employed to determine optimal parameter values (α and λ) for the best model fit with minimal feature variables [29]. The performance of the elastic network model was evaluated using the area under the curve (AUC). Subsequently, variable importance plots (VIP) were generated to assess the significance of protein coefficients derived from the elastic net regression [30]. Both random forest and gradient boosting methods were applied to identify the most depression-associated proteins [31]. Finally, linear regression was used to examine the relationship between the top depression-related proteins and optic disc characteristics. Since the control and depression groups were propensity score-matched (1:1 ratio) based on age, and given the established association between gender and depression, we tested for a potential interaction effect between depression and gender. This was assessed using multivariable logistic regression with multiplicative interaction terms. Participants with missing data were excluded from the analysis. The statistical analyses were conducted using Stata (version 17.0) and R software (version 4.1.3). All p values were two-sided, and p < 0.05 indicated statistical significance. 95% confidence intervals were presented.
Results
Demographic characteristics
A total of 142 individuals with depression (mean [SD] age, 57.68 years [7.39]; 93 [65.49%] female) and 142 healthy controls (mean [SD] age, 58.18 years [8.17]; 57 [40.14%] female) were enrolled from UK Biobank. Baseline characteristics, stratified by depression status, are presented in Table 1. Participants with depression were more likely to be women (p < 0.001) and had lower educational levels (p = 0.035) and physical activity levels (p < 0.001). Additionally, the groups exhibited comparable SE (p = 0.19), but differences in BMI were significant (p < 0.001), and individuals with depression were more likely to have a history of hyperlipidemia (p = 0.004). A total of 64 patients with depression (mean [SD] age, 36.28 years [14.67]; 48 [75.00%] female) and 64 healthy controls (mean [SD] age, 33.59 years [13.67]; 36 [56.25%] female) were included from the GD-OPHS study (Table 1). Compared to the control group, patients with depression were also more likely to be women (p = 0.026).
Associations between optic disc characteristics and depression
We identified that depression was associated with a larger tilt angle of the optic disc (OR = 2.83, 95% CI = 1.61–4.96, per 0.01 °, p < 0.001), after adjustment for age, sex, ethnicity, Townsend index, educational attainment, BMI, visual acuity, SE, physical activity, HbA1c, history of hypertension and hyperlipidemia, and horizontal and vertical diameter of the optic disc (Table 2). Additionally, the depression group exhibited a greater roundness of the optic disc (OR = 1.12, 95% CI = 1.01–1.25, p = 0.029) after full individual-level adjustment. Sex-stratified analysis, shown in Supplementary Table 2, indicated a significant association between the tilt angle of the optic disc and depression in both sexes. Furthermore, the correlation between the roundness of the optic disc and depression was statistically significant in the male subgroup (p for interaction < 0.05).
The associations between depression and optic disc characteristics in the Chinese GD-OPHS study are also confirmed (Table 2). Consistent with the UK Biobank findings, patients with depression showed a greater tilt angle of the optic disc compared to healthy controls (OR = 1.81, 95% CI = 1.02–3.21 per 0.01 °, p = 0.041), after adjustment for age, sex, BMI, BCVA, SE, and horizontal and vertical diameter of the optic disc. Additionally, patients with depression exhibited a higher roundness of the optic disc (OR = 1.16, 95% CI = 1.02–1.32, p = 0.022).
Association of depression, proteins, and optic disc characteristics
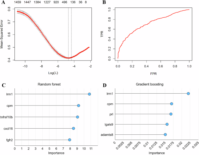
Elastic net regression was performed to identify proteins associated with depression among the 1461 available proteins, following 1:1 propensity score matching of participants from the UK Biobank. The final model identified 183 proteins linked with depression, and the identification of the best punishment coefficient lambda is shown in Fig. 2A. The performance of model was evaluated on the relevant test sets, which yielded an AUC of 0.72 (Fig. 2B). The top five depression-associated proteins identified by the random forest and gradient boosting models are presented in Fig. 2C, D. Random forest analysis highlighted leucine-rich repeat neuronal protein 1 (LRRN1), carboxypeptidase M (CPM), tumor necrosis factor receptor superfamily member 10B (TNFRSF10B), C-X-C motif chemokine 16 (CXCL16), and fibroblast growth factor receptor 2 (FGFR2), whereas the gradient boosting model selected LRRN1, CPM, prolactin (PRL), galectin-9 (LGALS9), and a disintegrin and metalloproteinase with thrombospondin motifs 8 (ADAMTS8).
A The performance of the model for different values of λ. The two vertical dotted lines are “lambda. min” and “lambda. 1se”; B The receiver operating characteristic curve of 183 proteins; C The top five depression-associated proteins identified by random forest; D The top five depression-associated proteins identified by gradient boosting model. FPR false positive rate, TPR true positive rate.
Linear regression was performed to examine the association between optic disc characteristics and the above eight depression-related proteins identified. After full adjustment for age, sex, ethnicity, BMI, SE, and other covariates, LRRN1 and PRL were positively associated with optic disc roundness (β = 3.52, 95% CI: 0.94–6.10, p = 0.010; β = 1.41, 95% CI: 0.22–2.60, p = 0.022, respectively). Transcriptome profiling of LRRN1 and PRL, extracted and synthesized from the Human Protein Atlas, reveals their expression in retinal bipolar cells, photoreceptor cells, and Müller glial cells, as well as in various brain regions, including the cerebral cortex, thalamus, and hippocampus (Supplementary Fig. 2). However, no protein was found to be associated with the tilt angle of the optic disc.
Discussion
This study confirmed that an increased tilt angle and roundness of the optic disc are associated with depression in two independent cohorts, based on automated optic disc segmentation from color fundus photographs. Additionally, we identified shared proteins between depression and optic disc characteristics, including LRRN1 and PRL. These findings provide insights into the correlation between depression and changes in optic disc morphology, with potential applications for objective and convenient screening and diagnosis.
Currently, depression screening and diagnosis rely mainly on questionnaires and clinical symptoms, which can lead to false positives and overdiagnosis, affecting patients’ health [32]. Objective biological markers could address these issues. Our study suggests that optic disc morphology may serve as a potential marker for depression, providing insights into shared pathophysiological mechanisms. Recent research has linked retinal imaging changes with depression, including correlations between retinal layer thickness and depression duration [9, 13, 14, 16, 33, 34]. Longitudinal studies also indicate that depression increases susceptibility to neurodegenerative diseases [35, 36]. While retinal neurodegeneration is known to be related to depression, the clinical significance of optic disc characteristics like roundness and tilt remains unclear [15, 16, 34, 37].
In recent years, the rise of artificial intelligence in medicine has ushered in an era of precision medicine, enabling a shift from qualitative to quantitative imaging [38, 39]. A novel aspect of our work was to use state-of-the-art retinal image analysis tools to explore the neural structural relationship between the optic disc characteristics and depression, which may provide a non-invasive, objective, and convenient imaging marker for the screening of depression. In this study, we used the ResUNet model to segment optic disc characteristics, leveraging the strengths of both ResNet and U-Net architectures. This approach reduces human error and demonstrates excellent sensitivity, specificity, and accuracy [20]. Our results confirm a robust association between depression and optic disc features, which are not fully explained by traditional risk factors.
To the best of our knowledge, this is the first comprehensive analysis of the association between depression and optic disc characteristics, exploring both imaging phenotypes and their molecular links. Our findings highlight overlapping proteomic profiles between depression and optic disc features. The protein LRRN1, a member of the brain-enriched LRRN family of type I transmembrane proteins, has also been shown to be involved in neural development and regeneration [40]. Mutations in LRRN have been found to be related to several psychiatric disorders such as autism and schizophrenia [41]. Interestingly, animal studies show that LRRN1 expression is downregulated after optic cup formation but remains detectable around the optic cup’s base [42]. Although the mechanism by which LRRN1 affects the optic disc and depression is unclear, we speculate that its effects may be mediated during embryonic development, particularly in the retina and brain [43, 44].
PRL is a multifunctional hormone that plays a key role in a variety of physiological and homeostatic processes [45]. In the retina, it promotes the survival of photoreceptor and retinal pigment epithelium cells through its anti-apoptotic and antioxidant properties [45,46,47]. In the brain, PRL acts as a neuropeptide, contributing to neuroendocrine regulation, stress adaptation, neurogenesis, and neuroprotection [48, 49]. Although PRL is known to regulate depression-like behaviors, its direct association with depression remains controversial [48]. The potential biological link between depression and retinal optic disc morphology still needs further investigation, which may help explain the phenotypic correlation.
While the blood proteome utilized in this study cannot directly capture retina-specific changes, its association with the central nervous system is supported by multi-omics evidence. For instance, blood-derived neural proteins (e.g., glial fibrillary acidic protein) reflect increased blood-brain barrier permeability [50]. Alternatvely, blood proteome may indirectly indicate neuropathology via compromised blood-retina barrier integrity. Furthermore, retinal proteomics remains limited to postmortem or animal studies due to feasibility constraints, whereas blood-based profiling enables accessible large-scale screening and longitudinal monitoring.
In summary, optic disc morphology is associated with depression, potentially due to shared genetic factors and their associated protein expressions during neural development. Moreover, perinatal or early-life environmental factors may also contribute to central nervous system alterations [51, 52], resulting in changes to optic nerve morphology and increasing susceptibility to depression. Consequently, assessing optic disc morphology could provide valuable insights into an individual’s predisposition to developing depression.
Limitations
First, as this was a cross-sectional study, it was not possible to determine potential causal relationships among changes in retinal optic disc parameters, depression, and proteomics. Secondly, although similar trends were observed in two independent datasets from English and Chinese populations, these findings still require further validation to establish their generalizability to other populations. Third, the shared proteins identified between depression and alterations in the optic disc require further functional validation. Fourth, the blood proteomics used in this study only provides an indirect proxy for retinal changes, future validation through retinal tissue-based proteomic and transcriptomic sequencing analyses is required. Last but not least, the sample sizes of both the UKB and the GD-OPHS study are relatively small in this study. Future large-scale studies are warranted to validate our findings. Given the focus on mental health in the aging population, additional research is needed to elucidate the underlying mechanistic pathways.
Conclusion
In summary, our findings demonstrate significant correlations between depression and optic disc-specific morphology. Moreover, similar trends were observed in two independent datasets, suggesting the potential use of novel, objective, and non-invasive retinal markers for depression in clinical practice.
Data availability
Data from the UK Biobank dataset is available at https://biobank.ndph.ox.ac.uk/ by application. Data from the GD-OPHS study is available upon request through the corresponding authors.
References
World Health Organization. Mental health of older adults 2023. https://www.who.int/news-room/fact-sheets/detail/mental-health-of-older-adults Accessed December 2, 2024.
Cai H, Jin Y, Liu R, Zhang Q, Su Z, Ungvari GS, et al. Global prevalence of depression in older adults: a systematic review and meta-analysis of epidemiological surveys. Asian J Psychiatr. 2023;80:103417.
Sjöberg L, Karlsson B, Atti A-R, Skoog I, Fratiglioni L, Wang H-X. Prevalence of depression: Comparisons of different depression definitions in population-based samples of older adults. J Affect Disord. 2017;221:123–31.
Faisal-Cury A, Ziebold C, Rodrigues DMdeO, Matijasevich A. Depression underdiagnosis: Prevalence and associated factors. a population-based study. J Psychiatr Res. 2022;151:157–65.
Kang HJ, Voleti B, Hajszan T, Rajkowska G, Stockmeier CA, Licznerski P, et al. Decreased expression of synapse-related genes and loss of synapses in major depressive disorder. Nat Med. 2012;18:1413–7.
Malhi GS, Mann JJ. Depression. Lancet. 2018;392:2299–312.
Bora E, Fornito A, Pantelis C, Yücel M. Gray matter abnormalities in major depressive disorder: a meta-analysis of voxel based morphometry studies. J Affect Disord. 2012;138:9–18.
London A, Benhar I, Schwartz M. The retina as a window to the brain-from eye research to CNS disorders. Nat Rev Neurol. 2013;9:44–53.
Xiao X, Zhong D, Liu H, Fan R, Jiang C, Zheng Z, et al. Role of optical coherence tomography in depression detection: a protocol of systematic review and meta-analysis. BMJ Open. 2023;13:e065549.
Wagner SK, Cortina-Borja M, Silverstein SM, Zhou Y, Romero-Bascones D, Struyven RR, et al. Association between retinal features from multimodal imaging and schizophrenia. JAMA Psychiatry. 2023;80:478–87.
Parravano M, Petri D, Maurutto E, Lucenteforte E, Menchini F, Lanzetta P, et al. Association between visual impairment and depression in patients attending eye clinics: a meta-analysis. JAMA Ophthalmol. 2021;139:753–61.
Tang WSW, Lau NXM, Krishnan MN, Chin YC, Ho CSH. Depression and eye disease-a narrative review of common underlying pathophysiological mechanisms and their potential applications. J Clin Med. 2024;13:3081.
van der Heide FCT, Steens ILM, Geraets AFJ, Foreman YD, Henry RMA, Kroon AA, et al. Association of retinal nerve fiber layer thickness, an index of neurodegeneration, with depressive symptoms over time. JAMA Netw Open. 2021;4:e2134753.
Liu Y, Tong Y, Huang L, Chen J, Yan S, Yang F. Factors related to retinal nerve fiber layer thickness in bipolar disorder patients and major depression patients. BMC Psychiatry. 2021;21:301.
Kalenderoglu A, Çelik M, Sevgi-Karadag A, Egilmez OB. Optic coherence tomography shows inflammation and degeneration in major depressive disorder patients correlated with disease severity. J Affect Disord. 2016;204:159–65.
Yıldız M, Alim S, Batmaz S, Demir S, Songur E, Ortak H, et al. Duration of the depressive episode is correlated with ganglion cell inner plexifrom layer and nasal retinal fiber layer thicknesses: optical coherence tomography findings in major depression. Psychiatry Res Neuroimaging. 2016;251:60–6.
Prokai L, Zaman K, Prokai-Tatrai K. Mass spectrometry-based retina proteomics. Mass Spectrom Rev. 2023;42:1032–62.
Preece RL, Han SYS, Bahn S. Proteomic approaches to identify blood-based biomarkers for depression and bipolar disorders. Expert Rev Proteom. 2018;15:325–40.
Martins-de-Souza D. Proteomics, metabolomics, and protein interactomics in the characterization of the molecular features of major depressive disorder. Dialogues Clin Neurosci. 2014;16:63–73.
Shi XH, Dong L, Zhang RH, Zhou DJ, Ling SG, Shao L, et al. Relationships between quantitative retinal microvascular characteristics and cognitive function based on automated artificial intelligence measurements. Front Cell Dev Biol. 2023;11:1174984.
Zhou Y, Wagner SK, Chia MA, Zhao A, Woodward-Court P, Xu M, et al. Automorph: automated retinal vascular morphology quantification via a deep learning pipeline. Transl Vis Sci Technol. 2022;11:12.
Karlsson RA, Jonsson BA, Hardarson SH, Olafsdottir OB, Halldorsson GH, Stefansson E. Automatic fundus image quality assessment on a continuous scale. Comput Biol Med. 2021;129:104114.
Cui M, Cheng C, Zhang L. High-throughput proteomics: a methodological mini-review. Lab Invest. 2022;102:1170–81.
Wik L, Nordberg N, Broberg J, Björkesten J, Assarsson E, Henriksson S, et al. Proximity extension assay in combination with next-generation sequencing for high-throughput proteome-wide analysis. Mol Cell Proteom. 2021;20:100168.
You J, Guo Y, Zhang Y, Kang J-J, Wang L-B, Feng J-F, et al. Plasma proteomic profiles predict individual future health risk. Nat Commun. 2023;14:7817.
Styrkarsdottir U, Lund SH, Thorleifsson G, Saevarsdottir S, Gudbjartsson DF, Thorsteinsdottir U, et al. Cartilage acidic protein 1 in plasma associates with prevalent osteoarthritis and predicts future risk as well as progression to joint replacements: results from the UK biobank resource. Arthritis Rheumatol. 2023;75:544–52.
Uhlén M, Fagerberg L, Hallström BM, Lindskog C, Oksvold P, Mardinoglu A, et al. Proteomics. tissue-based map of the human proteome. Science. 2015;347:1260419.
Engebretsen S, Bohlin J. Statistical predictions with glmnet. Clin Epigenetics. 2019;11:123.
Zou H, Hastie T. Regularization and variable selection via the elastic net. J R Stat Soc: Ser B. 2005;67:301–20.
Moxley TA, Johnson-Leung J, Seamon E, Williams C, Ridenhour BJ. Application of elastic net regression for modeling COVID-19 sociodemographic risk factors. PLoS One. 2024;19:e0297065.
Milicevic O, Salom I, Rodic A, Markovic S, Tumbas M, Zigic D, et al. PM2.5 as a major predictor of COVID-19 basic reproduction number in the USA. Env Res. 2021;201:111526.
Arias de la Torre J, Ronaldson A, Vilagut G, Martínez-Alés G, Dregan A, Bakolis I, et al. Implementation of community screening strategies for depression. Nat Med. 2024. https://doi.org/10.1038/s41591-024-02821-1.
Tan A, Schwitzer T, Conart J-B, Angioi-Duprez K. Study of retinal structure and function in patients with major depressive disorder, bipolar disorder or schizophrenia: a review of the literature. J Fr Ophtalmol. 2020;43:e157–66.
Schönfeldt-Lecuona C, Schmidt A, Kregel T, Kassubek J, Dreyhaupt J, Freudenmann RW, et al. Retinal changes in patients with major depressive disorder - A controlled optical coherence tomography study. J Affect Disord. 2018;227:665–71.
Geerlings MI, den Heijer T, Koudstaal PJ, Hofman A, Breteler MMB. History of depression, depressive symptoms, and medial temporal lobe atrophy and the risk of Alzheimer disease. Neurology. 2008;70:1258–64.
Barnes DE, Yaffe K, Byers AL, McCormick M, Schaefer C, Whitmer RA. Midlife vs late-life depressive symptoms and risk of dementia: differential effects for alzheimer disease and vascular dementia. Arch Gen Psychiatry. 2012;69:493–8.
Sönmez İ, Köşger F, Aykan Ü. Retinal nerve fiber layer thickness measurement by spectral-domain optical coherence tomography in patients with major depressive disorder. Noro Psikiyatr Ars. 2017;54:62–6.
Zhang C, Zhao J, Zhu Z, Li Y, Li K, Wang Y, et al. Applications of artificial intelligence in myopia: current and future directions. Front Med. 2022;9:840498.
Zheng B, Jiang Q, Lu B, He K, Wu M-N, Hao X-L, et al. Five-category intelligent auxiliary diagnosis model of common fundus diseases based on fundus images. Transl Vis Sci Technol. 2021;10:20.
Sousa I, Clark TG, Holt R, Pagnamenta AT, Mulder EJ, Minderaa RB, et al. Polymorphisms in leucine-rich repeat genes are associated with autism spectrum disorder susceptibility in populations of European ancestry. Mol Autism. 2010;1:7.
Davis LK, Meyer KJ, Rudd DS, Librant AL, Epping EA, Sheffield VC, et al. Novel copy number variants in children with autism and additional developmental anomalies. J Neurodev Disord. 2009;1:292–301.
Andreae LC, Peukert D, Lumsden A, Gilthorpe JD. Analysis of Lrrn1 expression and its relationship to neuromeric boundaries during chick neural development. Neural Dev. 2007;2:22.
Zhang Y, Liu Q, Yang S, Liao Q. Knockdown of LRRN1 inhibits malignant phenotypes through the regulation of HIF-1α/notch pathway in pancreatic ductal adenocarcinoma. Mol Ther Oncolytics. 2021;23:51–64.
Monavarfeshani A, Stanton G, Van Name J, Su K, Mills WA, Swilling K, et al. LRRTM1 underlies synaptic convergence in visual thalamus. Elife. 2018;7:e33498.
Sudharsan R, Kwok J, Swider M, Sumaroka A, Aguirre GD, Cideciyan AV, et al. Retinal prolactin isoform PRLΔE1 sustains rod disease in inherited retinal degenerations. Cell Death Dis. 2024;15:682.
Meléndez García R, Arredondo Zamarripa D, Arnold E, Ruiz-Herrera X, Noguez Imm R, Baeza Cruz G, et al. Prolactin protects retinal pigment epithelium by inhibiting sirtuin 2-dependent cell death. EBioMedicine. 2016;7:35–49.
Arnold E, Thébault S, Aroña RM, Martínez de la Escalera G, Clapp C. Prolactin mitigates deficiencies of retinal function associated with aging. Neurobiol Aging. 2020;85:38–48.
Torner L. Actions of prolactin in the brain: from physiological adaptations to stress and neurogenesis to psychopathology. Front Endocrinol. 2016;7:25.
Zamorano M, Ledesma-Colunga MG, Adán N, Vera-Massieu C, Lemini M, Méndez I, et al. Prolactin-derived vasoinhibins increase anxiety- and depression-related behaviors. Psychoneuroendocrinology. 2014;44:123–32.
Wang H, Dey KK, Chen P-C, Li Y, Niu M, Cho J-H, et al. Integrated analysis of ultra-deep proteomes in cortex, cerebrospinal fluid and serum reveals a mitochondrial signature in alzheimer’s disease. Mol Neurodegener. 2020;15:43.
Kronman H, Torres-Berrío A, Sidoli S, Issler O, Godino A, Ramakrishnan A, et al. Long-term behavioral and cell-type-specific molecular effects of early life stress are mediated by H3K79me2 dynamics in medium spiny neurons. Nat Neurosci. 2021;24:667–76.
Miguel PM, Pereira LO, Silveira PP, Meaney MJ. Early environmental influences on the development of children’s brain structure and function. Dev Med Child Neurol. 2019;61:1127–33.
Acknowledgements
We thank all participants of the UK Biobank and the Guangdong Ophthalmic-Psychological Health Study.
Funding
This research was supported by National Natural Science Foundation of China (82301260, U24A20707, 82301205, 82171075, and 82271125), Guangdong Basic and Applied Basic Research Foundation (2023B1515120028), China Postdoctoral Science Foundation (2024T170185), Brolucizumab Efficacy and Safety Single-Arm Descriptive Trial in Patients with Persistent Diabetic Macular Edema (2024–29), the launch fund of Guangdong Provincial People’s Hospital for NSFC (8227041127, 8220040230, and 8227040339), 2024 National Foreign Expert Project (S20240245), GDPH Supporting Fund for Talent Program (KY0120220263), Zhongshan Social Welfare Science and Technology Research Project (2023B3009), and the Graduate Research Innovation Fund of Guangdong Provincial People’s Hospital (Y222238 and Y214245). The funders had no role in the study design, data collection, data analysis, data interpretation, or report writing.
Author information
Authors and Affiliations
Contributions
Study concept and design: Zhang XY, Yu HH, Wang S, Wang Y. Acquisition, analysis, or interpretation: Zhang XY, Wang S, Wang Y, Jia FJ, Wang YJ, Li QY, Cao JH, Li C, Yang Y, Hu YJ, Liu L. Drafting of the manuscript: Zhang XY, Wang S, Wang Y. Critical revision of the manuscript for important intellectual content: Zhu ZT, Wagner SK, Ran AR, Cheung CY, Cheng CY, Keane PA, Yang XH, Yu HH. Statistical analysis: Wang S, Wang Y. Administrative, technical, or material support: Jia FJ, Zhu ZT, Zhang XY, Yu HH. Study supervision: Yang XH, Zhu ZT, Yu HH.
Corresponding authors
Ethics declarations
Competing interests
Dr. PA Keane has acted as a consultant for Retina Consultants of America, Topcon, Roche, Boehringer-Ingleheim, and Bitfount and is an equity owner in Big Picture Medical; he has received speaker fees from Zeiss, Novartis, Gyroscope, Boehringer-Ingleheim, Apellis, Roche, Abbvie, Topcon, and Hakim Group; he has received travel support from Bayer, Topcon, and Roche, he has attended advisory boards for Topcon, Bayer, Boehringer-Ingleheim, RetinAI, and Novartis. Dr. CY Cheng is a consultant for Medi-Whale.
Ethics approval and consent to participate
The UK Biobank was approved by the UK National Health Service National Research Ethics Service (Ref 11/NW/0382) and obtained the informed consent of all participants. Details of the definitions, protocols, and methods used in the study can be found on the UK Biobank website (https://www.ukbiobank.ac.uk/). This project was conducted under UK Biobank application ID#86091. The ethical approval of GD-OPHS study was obtained from the Institutional Review Board of Guangdong Provincial People’s Hospital (approval number: KY-Q-2022-145-03), and informed consent was obtained from all participants.
Additional information
Publisher’s note Springer Nature remains neutral with regard to jurisdictional claims in published maps and institutional affiliations.
Supplementary information
Rights and permissions
Open Access This article is licensed under a Creative Commons Attribution-NonCommercial-NoDerivatives 4.0 International License, which permits any non-commercial use, sharing, distribution and reproduction in any medium or format, as long as you give appropriate credit to the original author(s) and the source, provide a link to the Creative Commons licence, and indicate if you modified the licensed material. You do not have permission under this licence to share adapted material derived from this article or parts of it. The images or other third party material in this article are included in the article’s Creative Commons licence, unless indicated otherwise in a credit line to the material. If material is not included in the article’s Creative Commons licence and your intended use is not permitted by statutory regulation or exceeds the permitted use, you will need to obtain permission directly from the copyright holder. To view a copy of this licence, visit http://creativecommons.org/licenses/by-nc-nd/4.0/.
About this article
Cite this article
Zhang, X., Wang, S., Wang, Y. et al. Optic disc morphometrics as a potential ocular biomarker for depression: evidence from two cross-sectional cohort studies. Transl Psychiatry 15, 465 (2025). https://doi.org/10.1038/s41398-025-03691-y
Received:
Revised:
Accepted:
Published:
Version of record:
DOI: https://doi.org/10.1038/s41398-025-03691-y

