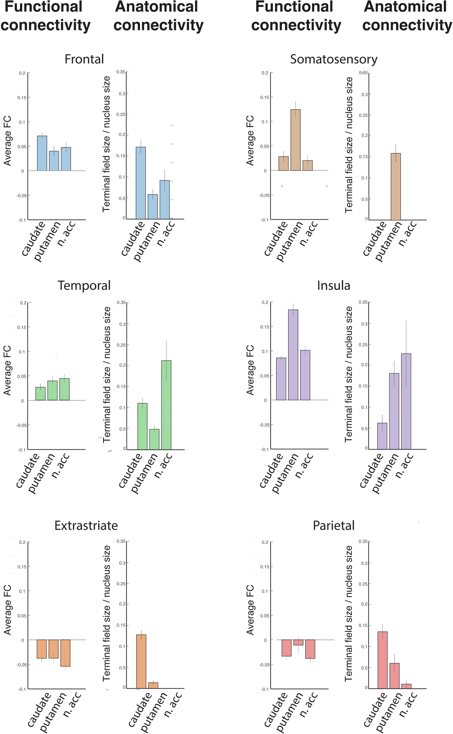
Fig. 6: Distribution of functional and anatomical connectivity across striatal subdivisions.
From: Functional vs anatomical cortico-striatal connectivity in the macaque brain

Error bars represent S.E. across cases.
From: Functional vs anatomical cortico-striatal connectivity in the macaque brain

Error bars represent S.E. across cases.