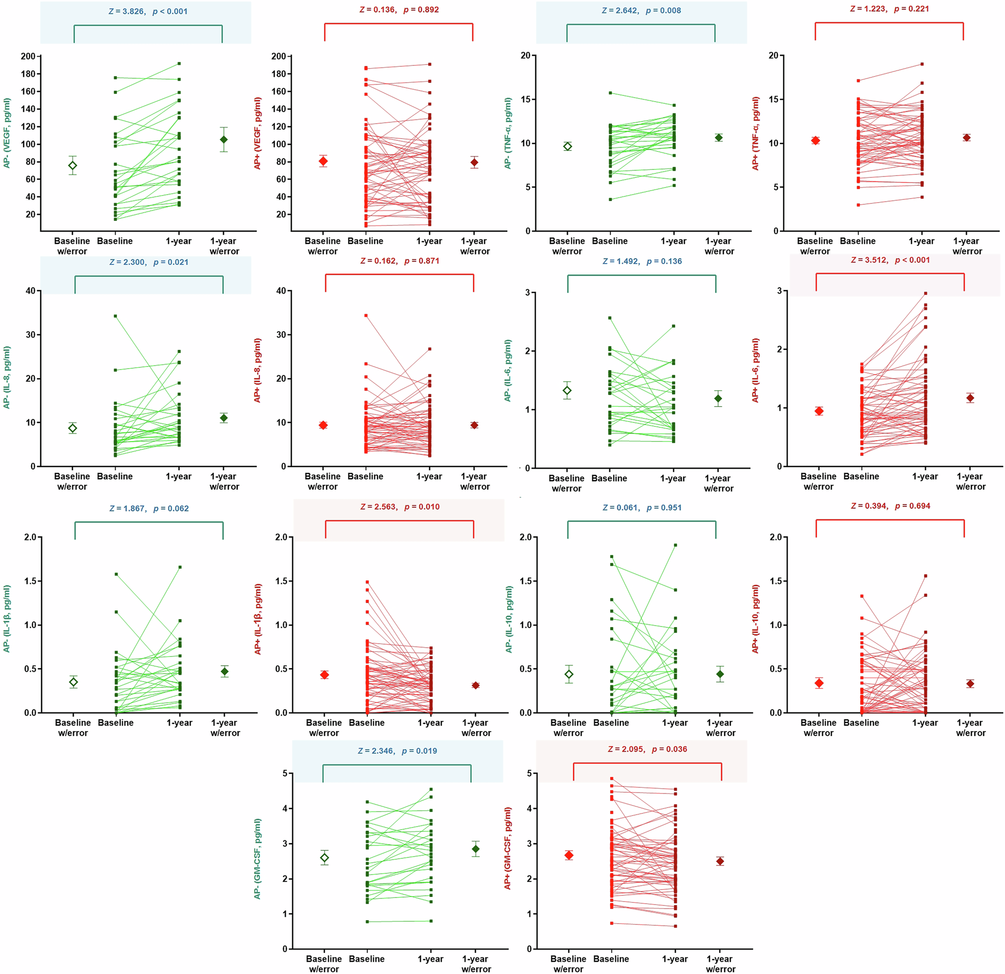
Fig. 1: Self-controlled comparisons for serum levels of cytokine factors between baseline and follow-up, stratified by AP- and AP + group.
From: Cytokine changes in clinical high risk for psychosis population following antipsychotic medication

GM-CSF, granulocyte-macrophage colony-stimulating factor; IL-10, interleukin (IL)-10; IL-1β, interleukin (IL)-1beta; IL-6, interleukin (IL)-6; IL-8, interleukin (IL)-8; TNF-α, tumor necrosis factor-α; VEGF, vascular endothelial growth factor; The paired Wilcoxon test was used for self-controlled analysis. The level of statistical significance was set at a two-tailed p value of 0.05. Effect sizes (r values) were calculated as (r = z/\(\sqrt{n}\) (n = 28 for AP- group, n = 60 for AP + group); r ≥ 0.5 indicates large effect, 0.3 ≤ r < 0.5 indicates medium effect, 0.1 ≤ r < 0.3 indicates small effect.