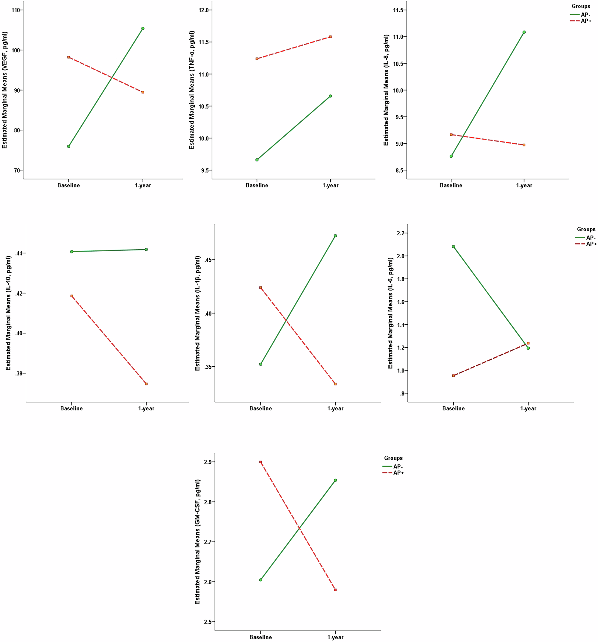
Fig. 2: Mean score trajectories for cytokine factors based on the RMANOVA.
From: Cytokine changes in clinical high risk for psychosis population following antipsychotic medication

GM-CSF, granulocyte-macrophage colony-stimulating factor; IL-10, interleukin (IL)-10; IL-1β, interleukin (IL)-1beta; IL-6, interleukin (IL)-6; IL-8, interleukin (IL)-8; TNF-α, tumor necrosis factor-α; VEGF, vascular endothelial growth factor; RMANOVA, repeated measures analysis of variance.