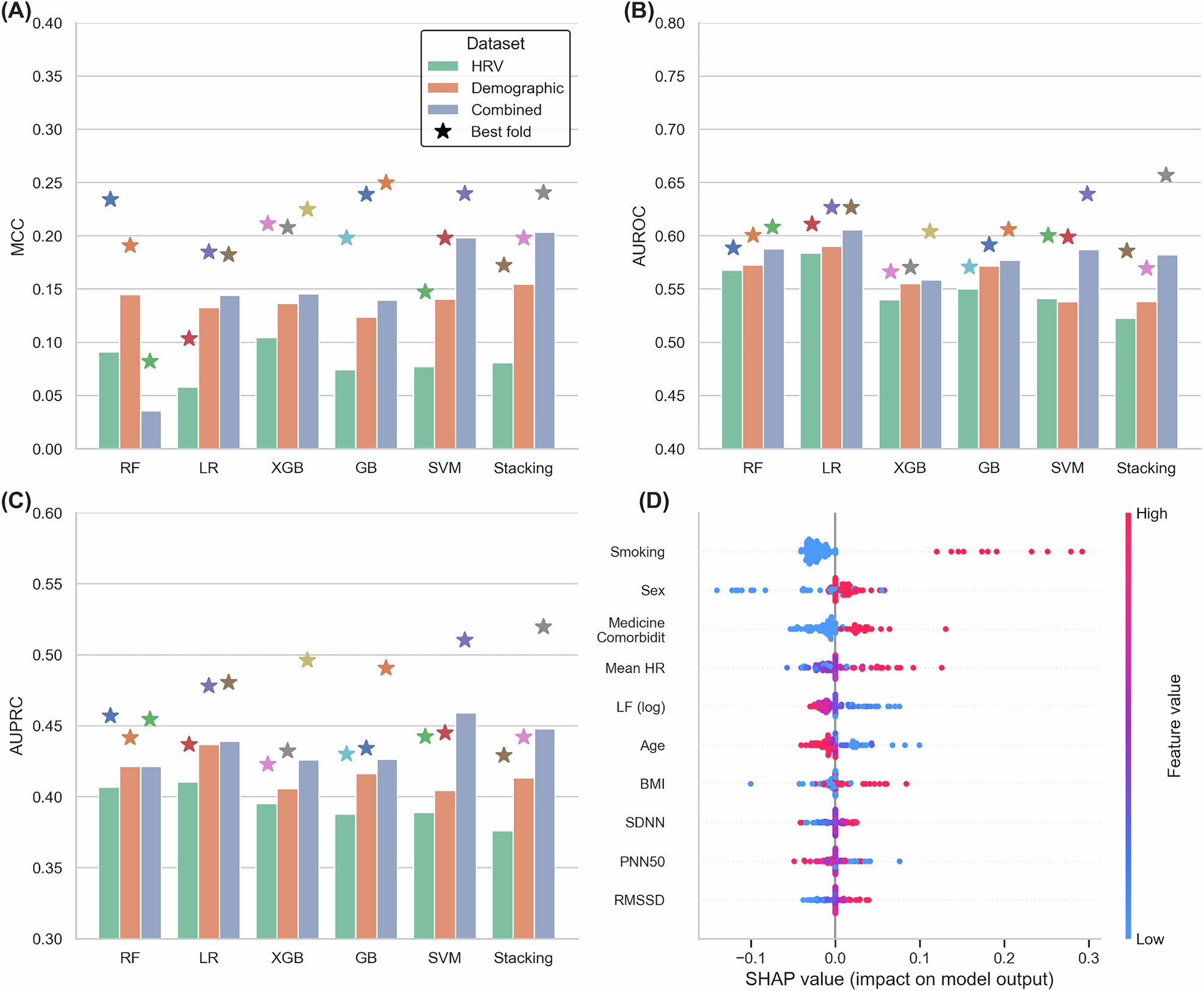
Fig. 2: Performance metrics of the stacking ensemble model predicting depressive symptoms.
From: Contactless depression screening via facial video-derived heart rate variability

A Comparison of Matthews correlation coefficient (MCC), (B) area under the receiver operating characteristic curve (AUROC), and (C) area under the precision-recall curve (AUPRC) for three distinct feature sets: heart rate variability (HRV) alone, demographic information alone, and combined (HRV + demographic). The stacking ensemble model used logistic regression (LR), gradient boosting (GB), extreme gradient boosting (XGB), and support vector machine (SVM) as base learners, with SVM as the meta-learner. Hyperparameters were optimized via Optuna using MCC as the optimization criterion. The stacking ensemble yielded consistently higher MCC values across all test sets. While AUROC and AUPRC values for the stacking ensemble were not always highest in every fold, the ensemble’s best-performing fold consistently outperformed individual models. (D) The SHAP analysis shows that the demographic information is the most impactful features while some HRV features also contribute to the depression prediction.