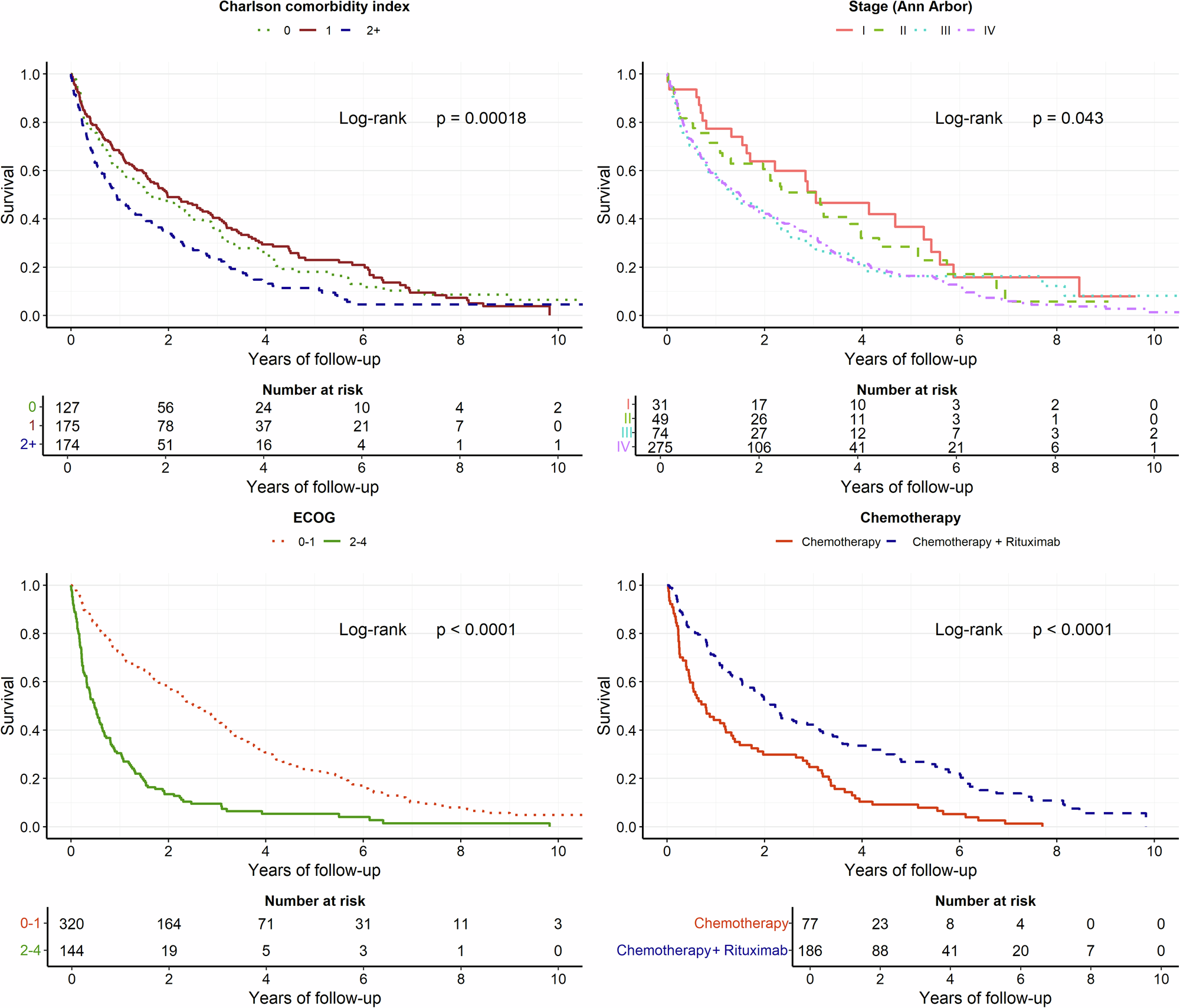
Fig. 2
From: Clinical characteristics and outcomes of 476 mantle cell lymphoma patients aged 80 years and older

Overall survival in patients, stratified on Charlson Comorbidity Index (CCI), disease stage (Ann Arbor) at diagnosis, performance status (ECOG), and first-line chemotherapy treatment with or without rituximab.