Dear Editor,
Mantle cell lymphoma (MCL) is a currently incurable lymphoma subtype, with most patients relapsing after first-line therapy and a median overall survival (OS) for patients aged 70 or older of less than three years [1]. Currently, 25% of MCL patients in Sweden are over 80 at diagnosis, with no clearly established standard treatment for this age group. The number of lymphoma patients aged 80 or older is expected to double by 2040 [2]. Most studies of elderly MCL patients, however, define “elderly” as all patients over 65 or 70 years, not distinguishing outcomes for even older age groups [3,4,5,6,7,8,9]. Therefore, we believe that more detailed knowledge about the oldest MCL patients is needed.
Using the Swedish Lymphoma Register (SLR) and other population-based registers, we estimated progression-free survival (PFS) and OS from diagnosis, as well as concomitant disease burden, healthcare use, and causes of death, for all Swedish MCL patients aged 80 or older at diagnosis. Patients were each compared to 6–10 healthy comparators from the Swedish total population, matched for year of birth and sex.
In total, 476 MCL patients aged 80 or older were identified, diagnosed between January 1, 2000, and December 31, 2019 (Fig. S1). Most patients, 60%, were aged 80–84 (n = 285), with 31% aged 85–89 (n = 149) and 9% over 90 years of age (n = 42) (Table S1). The majority were male (67%) and were diagnosed with stage III (16%) or IV (58%) disease. Nearly three-quarters had a pre-existing comorbidity as measured by the Charlson comorbidity score (CCI) (73%, 349 of 476), and 37% (175 of 476) had a CCI score of 2 or higher (Table S2) [10]. Common comorbidities included prior malignancy (37%), coronary heart disease (27%), pulmonary disease (12%), and cerebrovascular disease (11%).
Four out of five patients received active oncological treatment (82%, 371 of 455 patients) (Table S3). Forty-nine patients (11%) were initially managed using a watch-and-wait approach, with 32 of these eventually receiving treatment after a median time of 6.1 months from diagnosis (range 2.8 months to 3.1 years).
Patients had shorter median OS compared to population comparators (1.5 years, 95% CI 1.2–1.9, vs. 5.1 years, 95% CI 4.9–5.3) (Fig. 1). Patients and comparators survival rates at 1, 2, and 5 years are shown in Table S4. As expected, OS for patients aged 80 or older was shorter than that of patients aged 65–79 years and 21–64 years, respectively (Fig. S2).
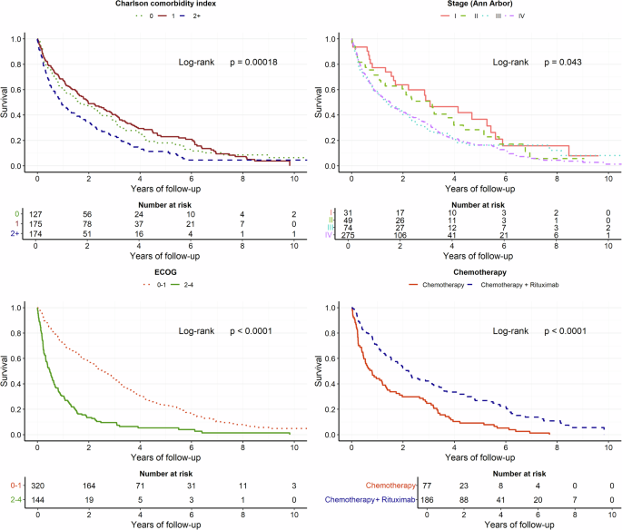
The median PFS for all patients aged 80 or older was 0.8 years (95% CI 0.7–1). No difference in OS or PFS was observed by sex; however, increasing age, CCI, performance status (ECOG), and disease stage were associated with shorter OS (Figs. 1–2) and PFS (Fig. S3). The median OS for watch-and-wait patients was 2.7 years from diagnosis (95% CI, 1.6–4.1), while median OS for patients who did not receive any treatment was 0.5 years (95% CI, 0.3–1.0).
Two-thirds of patients (68%, 307 of 455) received first-line treatment with CIT (chemoimmunotherapy = chemotherapy ± rituximab (R)), and 64% (196 of 307) of those also received rituximab (Table S3). The most common CIT regimens were bendamustine (n = 121, 25%), chlorambucil (n = 75, 16%), and CHOP (n = 58, 12%).
Median PFS for the different CIT regimens were: any CIT 1.1 years (95% CI, 0.9–1.1), bendamustine 1.8 years (95% CI, 1.3–2.8), chlorambucil 0.8 years (95% CI, 0.5–1.2), and CHOP 1.0 years (95% CI, 0.7–1.8) (Fig. S4). Median OS for the same regimens were: any CIT 1.5 years (95% CI, 1.3–2.0), bendamustine 2.2 years (95% CI, 1.7–3.4), chlorambucil 1.1 years (95% CI, 0.8–2.1), and CHOP 1.2 years (95% CI, 0.8–2.3), (Fig. S4).
CIT treatment including rituximab resulted in a median PFS of 1.8 years (95% CI 1.3–2.3), and median OS of 2.2 years (95% CI 1.8–3.0), compared to chemotherapy without rituximab, with PFS of 0.6 years (95% CI 0.4–0.7, Figure S3), and OS of 0.8 years (95% CI 0.5–1.4, Fig. 2). Radiotherapy was the sole primary treatment for 5.5% (n = 25) of patients (Table S3). Median PFS for these patients was 1.4 years (95% CI, 0.7–4.3), and median OS 4.0 years (95% CI, 2.2–n.a.).
More than 80% of patients responded to first-line treatment (Table S5). Complete response (CR) was achieved in 41%, partial response (PR) in 41%, stable disease (SD) in 6%, while 12% had primary progressive disease (PD). Half of the patients without at least a PR to first-line treatment (54%, 21 of 39) received no further treatment.
Out of 112 patients with relapsed or progressive disease, second-line treatment was administered to 86% (97 of 112) (Table S3). Most patients received CIT (67%, 65 of 97), while radiotherapy was given as the only treatment for 24% of patients (24 of 97). Best response achieved was CR in 19%, PR in 31%, SD in 14% and PD in 36%. More than half of the patients who did not achieve at least a PR (56%, 18 of 32) received no further treatment.
Less than two-thirds of patients were treated at relapse after second-line treatment (61%, 36 of 59 patients), with two-thirds (26 of 36) treated with CIT and one-third (10 of 36) with radiotherapy only.
To assess the impact of MCL diagnosis on healthcare use, we compared specialist outpatient visits, hospital inpatient stays, and inpatient days between patients and matched comparators, using data from the Swedish national patient register (Table S6) [11]. In the first year after MCL diagnosis, patients had five times more outpatient visits (IRR 5.5, 95% CI 4.8–6.3), seven times more inpatient stays (IRR 7.1, 95% CI 5.9–8.5), and five times more hospital days (IRR 5.3, 95% CI 4.1–6.9) than population comparators. In years two to five, patients had 50% more outpatient visits (IRR 1.5, 95% CI 1.1–2.0) and 30% more inpatient stays (IRR 1.3, 95% CI 1.1–1.5), while hospital days were similar (IRR 1.0, 95% CI 0.8–1.2). For the 20% of patients surviving more than five years, outpatient visits were instead nearly half those of comparators (IRR 0.6, 95% CI 0.4–0.9), and inpatient visits and hospital days were similar. The lower healthcare use at five years from diagnosis and beyond suggests that, although the MCL diagnosis and treatments are associated with a significant increase in healthcare use during the first five years after diagnosis, the general health of long-term survivors seems to be at least as good as the general population of the same age.
The cause of death for MCL patients was then analysed using data from the Swedish national cause of death register, finding that more than two-thirds of deceased patients (69%, 274 of 397) had died from lymphoma [12] (Fig. S5). This proportion was consistent across age groups but slightly higher among females, who were less likely to die from other causes.
Lymphoma being the cause of death for the majority of MCL patients aged 80 years or over emphasizes the need for continued efforts to improve therapies for this group. Bendamustine + rituximab was in a randomized trial associated with fewer severe adverse events, and longer PFS but not OS compared to CHOP + rituximab [13]. However, as the majority of patients in the study were below 70 years of age, it is uncertain if these results are equally valid for the oldest MCL patients. The imbalances in patient and disease characteristics between groups treated with different CIT regimens in our study prevent us from fully comparing outcomes by treatment regimen. In a previous study from our group on all ages, OS for R-bendamustine-treated MCL patients aged >70 years was superior in univariate analysis compared to R-CHOP-treated patients, while there was no difference when adjusting for differences in patient and disease characteristics [14].
The combination of Bruton’s tyrosine kinase inhibitor (BTKi) ibrutinib and R-bendamustine prolonged PFS for patients aged 65 years or older in the SHINE trial, but with increased risk of grade 3 or 4 adverse events, and no OS benefit for patients with high-risk MIPI [15]. In our study, 94% of patients were high-risk according to MIPI, and any clear benefit of combining ibrutinib and CIT for this group remains unproven. Ongoing randomized phase III studies ENRICH (ISRCTN 11038174) and MANGROVE (NCT04002297) are expected to provide important information on if chemotherapy-free approaches, of combinations of BTKi and rituximab, can be more beneficial options for elderly MCL patients.
A major strength of this study is the use of a large nationwide cohort, with nearly complete coverage of elderly MCL patients in Sweden. However, due to the observational nature of the data, some important limitations include the restricted possibilities to adequately compare outcomes between different treatment regimens, a lack of data on chemotherapy regimen dose modifications, the less strictly defined response evaluations in the SLR compared to clinical trials, and that the data on biologic disease characteristics is limited. MIPI was only available for a subset of pts and there is a lack of data on Ki-67 or TP53. The cohort include also patients treated in the pre-rituximab era and therefore not all patients were treated according to what would now be considered current standard of care, Novel treatments such as BTKi and lenalidomide were generally not available in Sweden for the studied population during the study period, and only three patients were treated with lenalidomide and six with BTKi (Ibrutinib) in any line of treatment. An analysis of the efficacy of these agent was therefore not possible. Given the rapidly evolving treatment landscape, this somewhat limits the clinical relevance, and the results should be read with these limitations in mind. We do however believe that, given the current lack of data regarding outcomes for this oldest group of patients, the results we present could still be of much value as more data on treatment of elderly patients with novel agents begin to emerge.
In conclusion, our study shows that the majority of MCL patients aged 80 years or older receive and respond to primary treatment. The effect of treatment is however short for most patients, and median OS is less than a third that of a matched healthy population. Encouragingly though, long-term survival is achievable, with one in five patients being alive at 5 years after diagnosis.
Data availability
The data for this study have been extracted from Swedish nationwide registers, as detailed in the methods section. Access to these data can be obtained in accordance with European and national data protection laws. Interested researchers can contact the corresponding author (SP, simon.pahnke@medsci.uu.se) or the principal investigator (IG, ingrid.glimelius@igp.uu.se) for collaborative research projects, provided they do not overlap with ongoing projects.
References
Jerkeman M, Ekberg S, Glimelius I, Albertsson-Lindblad A, Entrop JP, Ellin F, et al. Nationwide assessment of patient trajectories in mantle cell lymphoma: the Swedish MCLcomplete Project. Hemasphere. 2023;7:e928.
Online incidence prediction tool [Accessed 1 Feb 2024]. Available from: https://nordcan.iarc.fr/.
Albertsson-Lindblad A, Kolstad A, Laurell A, Räty R, Grønbæk K, Sundberg J, et al. Lenalidomide-bendamustine-rituximab in patients older than 65 years with untreated mantle cell lymphoma. Blood. 2016;128:1814–20.
Tisi MC, Moia R, Patti C, Evangelista A, Ferrero S, Spina M, et al. Long-term follow-up of rituximab plus bendamustine and cytarabine in older patients with newly diagnosed MCL. Blood Adv. 2023;7:3916–24.
Räty R, Honkanen T, Jantunen E, Jyrkkiö S, Karjalainen-Lindsberg ML, Kuittinen O, et al. Prolonged immunochemotherapy with rituximab, cytarabine and fludarabine added to cyclophosphamide, doxorubicin, vincristine and prednisolone and followed by rituximab maintenance in untreated elderly patients with mantle cell lymphoma: a prospective study by the Finnish Lymphoma Group. Leuk Lymphoma. 2012;53:1920–8.
Romaguera JE, Khouri IF, Kantarjian HM, Hagemeister FB, Rodriguez MA, McLaughlin P, et al. Untreated aggressive mantle cell lymphoma: results with intensive chemotherapy without stem cell transplant in elderly patients. Leuk Lymphoma. 2000;39:77–85.
Ruan J, Martin P, Coleman M, Furman RR, Cheung K, Faye A, et al. Durable responses with the metronomic rituximab and thalidomide plus prednisone, etoposide, procarbazine, and cyclophosphamide regimen in elderly patients with recurrent mantle cell lymphoma. Cancer. 2010;116:2655–64.
Griffiths R, Mikhael J, Gleeson M, Danese M, Dreyling M. Addition of rituximab to chemotherapy alone as first-line therapy improves overall survival in elderly patients with mantle cell lymphoma. Blood. 2011;118:4808–16.
Rampotas A, Wilson MR, Lomas O, Denny N, Leary H, Ferguson G, et al. Treatment patterns and outcomes of unfit and elderly patients with mantle cell lymphoma unfit for standard immunochemotherapy: a UK and Ireland analysis. Br J Haematol. 2021;194:365–77.
Ludvigsson JF, Appelros P, Askling J, Byberg L, Carrero JJ, Ekström AM, et al. Adaptation of the Charlson Comorbidity Index for register-based research in Sweden. Clin Epidemiol. 2021;13:21–41.
Ludvigsson JF, Almqvist C, Bonamy AK, Ljung R, Michaëlsson K, Neovius M, et al. Registers of the Swedish total population and their use in medical research. Eur J Epidemiol. 2016;31:125–36.
Brooke HL, Talbäck M, Hörnblad J, Johansson LA, Ludvigsson JF, Druid H, et al. The Swedish cause of death register. Eur J Epidemiol. 2017;32:765–73.
Rummel MJ, Niederle N, Maschmeyer G, Banat GA, von Grünhagen U, Losem C, et al. Bendamustine plus rituximab versus CHOP plus rituximab as first-line treatment for patients with indolent and mantle-cell lymphomas: an open-label, multicentre, randomised, phase 3 non-inferiority trial. Lancet. 2013;381:1203–10.
Albertsson-Lindblad A, Palsdottir T, Smedby KE, Weibull CE, Glimelius I, Jerkeman M. Survival in mantle cell lymphoma after frontline treatment with R-bendamustine, R-CHOP and the Nordic MCL2 regimen—a real world study on patients diagnosed in Sweden 2007-2017. Haematologica. 2021;107:740–3.
Wang ML, Jurczak W, Jerkeman M, Trotman J, Zinzani PL, Belada D, et al. Ibrutinib plus bendamustine and rituximab in untreated mantle-cell lymphoma. N Engl J Med. 2022;386:2482–94.
Acknowledgements
The project was supported by grants from the Swedish Research Council (2022-00801), the Swedish Cancer Society (CAN 222167Pj) and The Sjöberg Foundation (2023-01-03:3).
Author information
Authors and Affiliations
Contributions
SP, KDA, SE, AAK, KES, MJ, and IG designed the study. KDA and SP independently performed and reviewed the statistical analyses. SP, KDA and IG wrote the paper. All authors interpreted the data, provided input for the manuscript, and approved the final version.
Corresponding author
Ethics declarations
Competing interests
Mats Jerkeman received honoraria from Abbvie, AstraZeneca, BMS, Kite/Gilead, Pierre Fabre, Roche, Sobi and Takeda, and research support from Abbvie, AstraZeneca, BMS and Roche. Ingrid Glimelius received research support from Takeda and participated in educational sessions arranged by Jansen Cilag and Abbvie. Karin E Smedby received honoraria from Incyte and Celgene, and research support from Janssen Cilag. The other authors have no relevant financial or non-financial interests to disclose.
Ethics approval
The study was approved by the Regional Board of the Ethical Committee in Stockholm, Sweden (2007/1335-31/4, 2010/1624-32), Lund (2012/212), and Uppsala (2016/178), and performed in accordance with relevant guidelines and regulations. Patient data is registered in the Swedish Lymphoma Register as part of routine healthcare quality control programs, with an opt-out possibility for those not willing to participate. As detailed in the ethical approval, linkage of the Swedish Lymphoma Register to other registries is performed at the registry-keeping authority without written informed consent, and only pseudonymized data have been accessible to/and analysed by the research group.
Additional information
Publisher’s note Springer Nature remains neutral with regard to jurisdictional claims in published maps and institutional affiliations.
Supplementary information
Rights and permissions
Open Access This article is licensed under a Creative Commons Attribution 4.0 International License, which permits use, sharing, adaptation, distribution and reproduction in any medium or format, as long as you give appropriate credit to the original author(s) and the source, provide a link to the Creative Commons licence, and indicate if changes were made. The images or other third party material in this article are included in the article’s Creative Commons licence, unless indicated otherwise in a credit line to the material. If material is not included in the article’s Creative Commons licence and your intended use is not permitted by statutory regulation or exceeds the permitted use, you will need to obtain permission directly from the copyright holder. To view a copy of this licence, visit http://creativecommons.org/licenses/by/4.0/.
About this article
Cite this article
Pahnke, S., Abalo, K.D., Ekberg, S. et al. Clinical characteristics and outcomes of 476 mantle cell lymphoma patients aged 80 years and older. Blood Cancer J. 14, 222 (2024). https://doi.org/10.1038/s41408-024-01204-6
Received:
Revised:
Accepted:
Published:
Version of record:
DOI: https://doi.org/10.1038/s41408-024-01204-6

