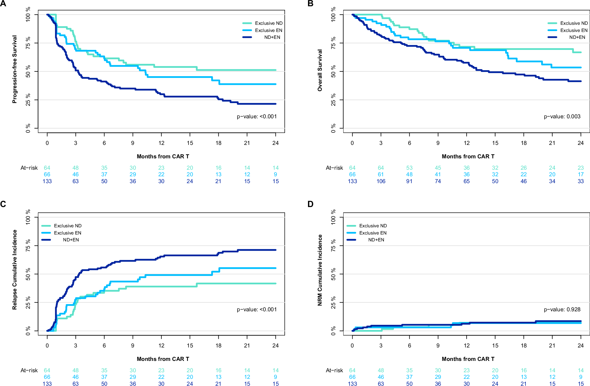
Fig. 2: Patients with concomitant EN and ND disease at last assessment before CAR-T therapy have unfavorable outcomes.
From: CAR T-cell therapy response varies by extranodal disease site in large B-cell lymphoma

Progression-free survival (A), and overall survival (B), relapse (C), and non-relapse mortality (NRM) (D) by nodal or extranodal disease status at last assessment before CAR-T therapy.