Introduction
Outdoor air pollution (OAP) is a growing environmental health risk, contributing significantly to the global disease burden [1]. The World Health Organization reports 99% of the world population lives in areas with unacceptable air quality [2]. OAP is a complex mixture, primarily consisting of black carbon (BC), nitrogen dioxide, sulfur dioxide, ozone, and particulate matter 2.5 (PM2.5). OAP is produced through the burning of fossil fuels, industrial waste, wildfires, and combustion processes [3]. OAP-related morbidity and mortality is associated with increased ischemic heart disease, stroke, respiratory disease, and cancers of the respiratory tract [2].
Research suggests an association between OAP exposure and development of hematologic malignancies [4]. Multiple Myeloma (MM) is the second most common hematologic malignancy [5]. MM is characterized by clonal expansion of plasma cells leading to monoclonal protein expression. Complications of MM include anemia, renal disease, bone pain, and increased fracture and infection risk. The Surveillance, Epidemiology, and End Results Program (SEER) registry estimates 34,000 new cases diagnosed and 13,000 deaths annually from MM [5]. Risk factors for MM include race, BMI, and occasionally genetic predisposition. Blacks and Hispanics have a higher incidence of MM than non-Hispanic Whites.
There is growing evidence suggesting an association between environmental exposures and MM [6]. One recent study demonstrated that first responders to the World Trade Center on 9/11 developed the myeloma precursor disease, monoclonal gammopathy of undetermined significance (MGUS) at a higher rate and MM at an earlier age [7]. Several biologic mechanisms could explain the association between OAP and MM. Prior studies demonstrated that PM2.5 is carcinogenic and exposure to OAP can induce a higher rate of missense mutations [8]. Our study aims to characterize OAP exposure patterns and identify socio-demographic and clinical variables associated with worse air quality in a diverse cohort of MM patients.
Methods
Patient Data
We conducted a retrospective cohort study of 1608 patients diagnosed with MM at Montefiore Health System (Bronx, NY) between 1997 and 2018. Eligibility was limited to incident MM patients, 1561 of whom had a first cancer diagnosis of MM. Patient data including, address, age at diagnosis, race, sex, ethnicity, smoking status, and mortality were extracted from the Montefiore Electronic Data Warehouse (EDW). Clinical parameters at diagnosis including Hemoglobin (Hgb), Creatinine (Cr), Albumin, Lactate Dehydrogenase (LDH), β2-microglobulin (β2 M), Bone marrow plasma cell percentage (BM-PC), and transplant status, were chosen based on their prognostic significance and retrieved via chart review.
Pollution data
Patient addresses (n = 1514) were geocoded to estimate patients’ OAP and Organic Matter exposures from 2000 to 2018 using land use regression models. For patients diagnosed with MM prior to the year 2000, pollution data were retrospectively extrapolated, a methodology whose feasibility has been previously demonstrated [9]. The most recent address at the time of the study was used for each patient. Ground-level OAP data for pollutants including PM2.5, BC, Nitrates (NO3), Ammonia (NH4), Organic Matter (OM), and Sulfate (SO4) was estimated by combining Aerosol Optical Depth retrievals from the NASA MODIS, MISR, and SeaWIFS instruments with the GEOS-Chem chemical transport model, and calibrated to regional ground-based observations of both total and compositional mass using Geographically Weighted Regression, as previously described [10].
Statistical Analysis
OAP exposure levels were compared by race and ethnicity using Chi-Squared and t-tests. Cox proportional hazards regression models estimated (1) the risk of death during follow-up associated with exposure to each individual component of OAP, adjusting for covariates and (2) the value of Hgb, Cr, BM-PC, β2 M, LDH, and Albumin and transplant status associated with exposure to each individual component of OAP, adjusting for covariates. All clinical variables were treated as continuous except transplant status, which was treated as binary. P values of < 0.05 were considered significant. However, because of challenges in finding statistically significant correlations with pollution data due to the dependence of MM mortality on clinical factors including compliance to therapy, adverse effects of treatments etc., a P-value of < 0.1 was also utilized to find potential associations.
Results
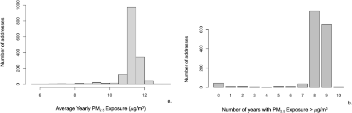
Our cohort represented the demographics of the Bronx, NY. Self-identified race and ethnicity for the patients were as follows: 22% White, 50% Black, 27% Other and 30% Hispanic (Table 1). Mean age at diagnosis of MM was 66.24 years. Few patient addresses had an average yearly exposure to PM2.5 greater than the previous EPA safe standard of 12 µg/m3 (n = 45) in the study timeframe (Fig. 1a) [11]. However, for most affected addresses, the number of years where average exposure to PM2.5 was greater than 12 µg/m3 was 8–9 years. Therefore, those affected by OAP were exposed for prolonged durations (Fig. 1b). When stratified by race and ethnicity, patients were exposed to similar average yearly PM2.5 concentrations (Whites = 11.18 µg/m3, Blacks = 11.26 µg/m3, Other = 11.35 µg/m3, Non-Hispanic/Latino = 11.24 µg/m3, Hispanic/Latino = 11.35 µg/m3).
879 patients had complete clinical data for use in the final Cox proportional hazards model. Exposure to higher average yearly levels of PM2.5 and BC were associated with a trend towards worse overall survival (HR for PM2.5 = 1.178, 95% CI 0.97–1.43 and HR for BC = 1.366, 95% CI 1.00–1.87). Exposure to increased levels of SO4 was significantly associated with increased overall survival (HR = 0.9323, 95%CI 0.87–1.00). Additionally, the number of years a patient was exposed to PM2.5 above 12 µg/m3 associated with worse overall survival when adjusting for the same covariates (HR = 1.072, p = 0.071). No other pollutant demonstrated a significant association with overall survival (Fig. 2).
Reported Hazard ratios indicate % increased risk of mortality for every 1 µg/m3 increase in average annual exposure to each component of OAP. Models were adjusted for age, sex, ethnicity, and smoking status. Pollutants shown here are Fine Particulate Matter (PM2.5), Organic Matter (OM), Nitrates (NO3), Ammonia (NH4) and Black Carbon (BC).
The following clinical variables were examined for association with the various components of OAP: variables Hgb, Cr, BM-PC, β2 M, LDH, Albumin, transplant status. None of which showed a significant association with increasing exposures to components of OAP when adjusting for multiple comparisons.
Discussion
Air quality is an important determinant of health, with 3.5 million deaths annually (110,000 in the U.S.) are attributed to poor air quality. Despite reductions in some pollutants, OAP continues to rise, costing billions of dollars globally [12]. OAP disproportionately affects historically redlined communities like the Bronx [13]. Geocoding patient addresses and correlating them with high-resolution OAP data allows new associations between OAP and cancer mortality. Long-term exposure to PM2.5 above EPA safe standards was associated with a trend towards worse survival in MM. The significantly prolonged survival with increasing sulfate exposure is difficult to explain as sulfate is a component of PM2.5 and should be correlated with decreased OS. No clinical variables were significantly associated with pollutant exposure. This methodology using pollution data generated for MM can be applied to other health outcomes globally.
Most research investigating the association between OAP exposure and cancer mortality studied solid tumors, with fewer studying hematologic malignancies [14]. A European study found no significant association between OAP exposure and MM mortality [15]. These prior studies estimated OAP at county, state, or province levels, missing neighborhood-level variations, which are more relevant to health [16]. We greatly improved these models by using hyperlocal, geocoded addresses to better assess OAP exposure and its impact on MM disease characteristics.
Our study does not account for patient migration in the timeframe when OAP was measured. It is difficult to know how many patients migrated over the timeframe assess in this study; however, according to US census estimates, the Bronx population did increase by 3.9% between 2000 and 2010 then again by 6.3% from 2010 to 2020, so it is possible that migration did affect less than 10% of individuals in our study [17]. Hospital acquired data cannot capture occupational and indoor pollution exposures that could impact patient mortality. Furthermore, there are other potential confounders e.g., cytogenetic data, changes in treatment paradigms over time, and number of other chronic health conditions which are not available for the vast majority of patients in this study. Additionally, a significant number of study patients had incomplete data for both demographic and clinical variables. This was partially due to incomplete records prior to the implementation of complete electronic medical record at our institution.
This study demonstrates a possible association between MM mortality and OAP exposure, particularly BC and PM2.5. By using a novel approach, this study increases our understanding of environmental factors in hematological malignancies. Air quality likely impacts MM mortality alongside patient and treatment related factors. Further research should explore the effect of environmental exposures on other hematologic malignancies as well. This is vital for informing policies that advocate for cleaner air and healthier communities.
References
GBD 2017 Risk Factor Collaborators. Global, regional, and national comparative risk assessment of 84 behavioural, environmental and occupational, and metabolic risks or clusters of risks for 195 countries and territories, 1990-2017: a systematic analysis for the Global Burden of Disease Study 2017. Lancet. 2018;392:1923–94.
Ambient (Outdoor) Air Pollution 2024 [Available from: https://www.who.int/news-room/fact-sheets/detail/ambient-(outdoor)-air-quality-and-health#:~:text=Ambient%20(outdoor)%20air%20pollution%20is,Asia%20and%20Western%20Pacific%20Regions.
Yu W, Ye T, Zhang Y, Xu R, Lei Y, Chen Z, et al. Global estimates of daily ambient fine particulate matter concentrations and unequal spatiotemporal distribution of population exposure: a machine learning modelling study. Lancet Planet Health. 2023;7:e209–e18.
Loomis D, Grosse Y, Lauby-Secretan B, El Ghissassi F, Bouvard V, Benbrahim-Tallaa L, et al. The carcinogenicity of outdoor air pollution. Lancet Oncol. 2013;14:1262–3.
Siegel RL, Miller KD, Fuchs HE, Jemal A. Cancer statistics, 2022. CA Cancer J Clin. 2022;72:7–33.
Ghosh S, McLaughlin JR, Spinelli JJ, Dosman JA, McDuffie HH, Pahwa P. Multiple myeloma and occupational exposures: a population-based case-control study. J Occup Environ Med. 2011;53:641–6.
Landgren O, Zeig-Owens R, Giricz O, Goldfarb D, Murata K, Thoren K, et al. Multiple Myeloma and Its Precursor Disease Among Firefighters Exposed to the World Trade Center Disaster. JAMA Oncol. 2018;4:821–7.
Jasra S, Giricz O, Zeig-Owens R, Pradhan K, Goldfarb DG, Barreto-Galvez A, et al. High burden of clonal hematopoiesis in first responders exposed to the World Trade Center disaster. Nat Med. 2022;28:468–71.
Levy I, Levin N, Yuval, Schwartz JD, Kark JD. Back-extrapolating a land use regression model for estimating past exposures to traffic-related air pollution. Environ Sci Technol. 2015;49:3603–10.
Hammer MS, van Donkelaar A, Li C, Lyapustin A, Sayer AM, Hsu NC, et al. Global estimates and long-term trends of fine particulate matter concentrations (1998-2018). Environ Sci Technol. 2020;54:7879–90.
Cromar KR, Lee AG, Harkema JR, Annesi-Maesano I. Science-based policy recommendations for fine particulate matter in the United States. Am J Respir Crit Care Med. 2022;206:1067–9.
Research NCfA. Researching Atmospheric Chemistry 2024, Available from: https://ncar.ucar.edu/where-we-focus/air-quality.
Hwa Jung K, Pitkowsky Z, Argenio K, Quinn JW, Bruzzese JM, Miller RL, et al. The effects of the historical practice of residential redlining in the United States on recent temporal trends of air pollution near New York City schools. Environ Int. 2022;169:107551.
Ramamoorthy T, Nath A, Singh S, Mathew S, Pant A, Sheela S, et al. Assessing the global impact of ambient air pollution on cancer incidence and mortality: a comprehensive meta-analysis. JCO Glob Oncol. 2024;10:e2300427.
Hvidtfeldt UA, Chen J, Rodopoulou S, Strak M, de Hoogh K, Andersen ZJ, et al. Multiple myeloma risk in relation to long-term air pollution exposure - A pooled analysis of four European cohorts. Environ Res. 2023;239:117230.
Palmer A, Rauscher G, Abraham I, Burkart M, Dave A, Raptis N, et al. The impact of air pollutants on a chicagoland cohort of patients with acute myeloid leukemia. Blood. 2023;142:3806.
Comptroller OotNYS. NYC’s Shifting Population: The Latest Statistics. 2023.
Acknowledgements
We acknowledge the Montefiore Einstein Comprehensive Cancer Center (MECCC) Cancer Epidemiology and Prevention Core (CEPC) for a pilot grant supporting our research and manuscript publication. We acknowledge the support of the MECCC Community Advisory Board (CAB) and our Bronx community of patients and allied healthcare workers that gave us the inspiration to pursue this project. AS has received research funding from Kymera Therapeutics, Ryvu Therapeutics, advisory board fees from Gilead Sciences, Rigel Pharmaceuticals, Kymera Therapeutics, Ryu Therapeutics, educational fees from Geron. MW, KP, SJ, JR, CH, GD, YH, NS, DH declare no conflicts of interest.
Author information
Authors and Affiliations
Contributions
MW helped with data analysis and writing of the manuscript. KP helped with geospatial data overlay, data analysis and generating figures. SJ helped with writing the manuscript and generation of Tables. NS, JR and YH help with acquisition of clinical data. DH & GD provided pollution data for each patient address. CH reviewed the manuscript. AS conceptualized the project, coordinated the teams and wrote the manuscript in collaboration with DH.
Corresponding authors
Ethics declarations
Competing interests
The authors declare no competing interests.
Additional information
Publisher’s note Springer Nature remains neutral with regard to jurisdictional claims in published maps and institutional affiliations.
Rights and permissions
Open Access This article is licensed under a Creative Commons Attribution-NonCommercial-NoDerivatives 4.0 International License, which permits any non-commercial use, sharing, distribution and reproduction in any medium or format, as long as you give appropriate credit to the original author(s) and the source, provide a link to the Creative Commons licence, and indicate if you modified the licensed material. You do not have permission under this licence to share adapted material derived from this article or parts of it. The images or other third party material in this article are included in the article’s Creative Commons licence, unless indicated otherwise in a credit line to the material. If material is not included in the article’s Creative Commons licence and your intended use is not permitted by statutory regulation or exceeds the permitted use, you will need to obtain permission directly from the copyright holder. To view a copy of this licence, visit http://creativecommons.org/licenses/by-nc-nd/4.0/.
About this article
Cite this article
Wysota, M., Pradhan, K., Jacobs, S. et al. Fine particulate matter exposure is linked to worse myeloma outcomes in a diverse urban cohort. Blood Cancer J. 15, 115 (2025). https://doi.org/10.1038/s41408-025-01301-0
Received:
Revised:
Accepted:
Published:
Version of record:
DOI: https://doi.org/10.1038/s41408-025-01301-0

