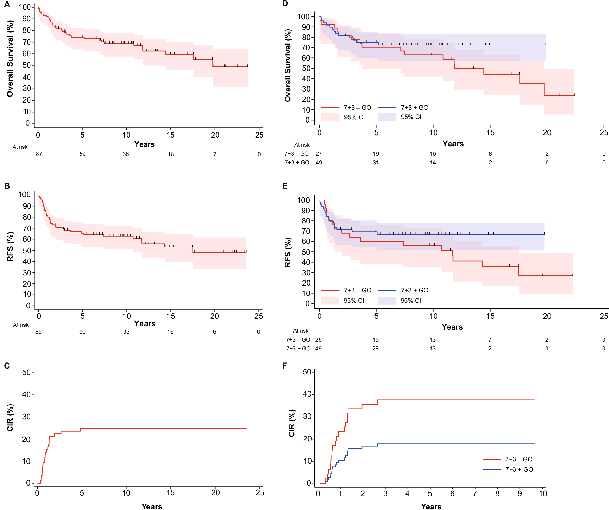
Fig. 1: Outcomes for patients with AML with RUNX1::RUNX1T1 treated with curative intent.

A–C The total cohort. D–F Patients stratified by treatment with gemtuzumab ozagamicin (GO). Hashed marks denote censoring. Filled area denote 95% confidence intervals.