To the Editor,
Core-binding factor (CBF) acute myeloid leukemia (AML) with the RUNX1::RUNX1T1 fusion oncogene resulting from the recurrent balanced translocation t(8;21)(q22;q22.1) was among the first acute leukemias to be defined based on cytogenetics [1]. It has been estimated to account for 7% of all AML cases [2, 3] and is associated with a favorable prognosis [4]. The addition of gemtuzumab ozagamicin (GO) to intensive chemotherapy was initially reported to improve both relapse-free survival (RFS) and overall survival (OS) in patients with favorable cytogenetic profiles [5,6,7]. However, multiple randomized clinical trials failed to demonstrate an OS benefit upon final analysis [8,9,10,11,12]. Additionally, relapse rates of up to 40% have been reported, significantly reducing survival [13, 14]. Data regarding the precise risk of relapse and long-term outcomes for patients with RUNX1::RUNX1T1 CBF-AML remains warranted at a population level. We conducted a population-based characterization of clinical- and molecular features and analyzed long-term outcomes for RUNX1::RUNX1T1 CBF-AML patients.
A total of 99 patients diagnosed with RUNX1::RUNX1T1 CBF-AML from 2000 – 2022 were included in the cohort (Table 1; Supplementary Fig. S1), with a median follow-up of 7.6 years (IQR 1.6–13.2)(Supplementary Fig. S2). Patients with RUNX1::RUNX1T1 CBF-AML comprised 2.3% (95% CI 1.9% – 2.8%) of all AML patients diagnosed within the study period. Intensively treated patients accounted for 87.9% (N = 87), and 11 patients (11.2%) were allocated for an allogeneic hematopoietic stem cell transplantation (HSCT) of which 2 (18.2%) were transplanted in the first complete remission (CR1) and 9 (81.8%) in CR2, respectively (Table 1; Supplementary Fig. S2).
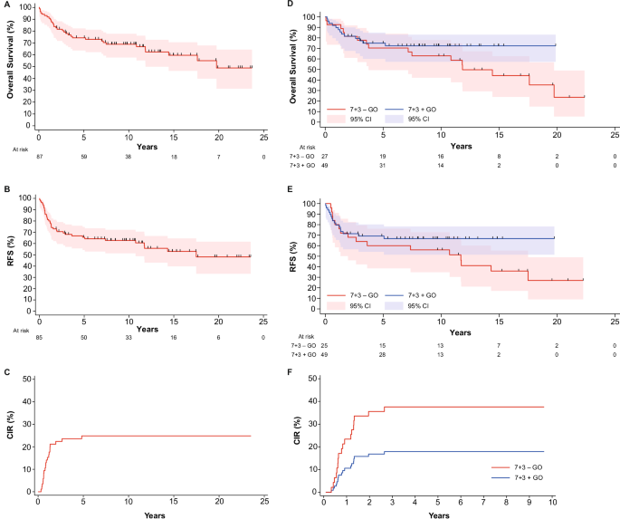
Most patients were treated using DA-based induction therapy (88.3%) relative to FLAG-based (9.4%) and other (2.3%) regimens. Intensive treatment resulted in a CR proportion of 97.7% (N = 85). The estimated 5-year OS was 74.3% (95% CI 63.4–82.3%)(Fig. 1; Supplemental Table S1). Notably, there was no detectable improvement in crude OS observed during the study period (Supplementary Fig. S3). In a proportional hazards model, independent risk factors for death were increasing age with a 52% increase in risk of death per increasing decade of life (HR 1.52 (95% CI 1.13–2.07)) and chromosome 17 aberrations (HR 8.00 (95% CI 1.91–33.5); Supplementary Figs. S4 and S5).
Of patients achieving CR1, 21 were subsequently diagnosed with relapse, with an estimated 3-year cumulative incidence of relapse (CIR) of 23.6% (95% CI 15.2–33.0%)(Fig. 1). Among relapsed cases, 95% (N = 20) occurred within 2.6 years of follow-up. Relapses were diagnosed as: (i) molecular in 7 patients (33.3%); (ii) morphological in 11 patients (52.4%); and (iii) extramedullary in 3 patients (14.3%). The majority were salvaged with FLAG- or DA-based regimens accounting for 35% (N = 7) and 40% (N = 8), respectively (Supplementary Fig. S6). For relapsed patients, the 3-year OS dropped to an estimated 38.1% (95% CI 18.3–57.8%)(Supplementary Fig. S6).
We then interrogated the effect of intensive treatment with or without GO in patients with available data (N = 75). Patients treated with (N = 48) and without (N = 27) GO had similar baseline characteristics (Supplemental Table S2). No difference in crude 5-year OS was observed between the GO-treated (75.0% (95% CI 60.1–85.0%)) and non-GO-treated (70.4% (95% CI 49.4–83.9%)) patients (Fig. 1). Restricting the analysis to patients with minimum 5 years of follow-up suggested an OS benefit for the GO-treated (p = 0.049). Patients who received GO had a better 5-year RFS at 68.5% (95% CI 54.2–80.2%) as compared to 60.0% for non-GO-treated patients (95% CI 38.4–76.1%) (Fig. 1). In addition, the 3-year CIR of GO-treated patients (18.4% (95% CI 9.1–30.2%)) was lower than for the non-GO-treated patients (36.0% (95% CI 18.2–54.2%)) (Fig. 1) with a non-significant trend towards a decreased risk of relapse (sHR 0.42 (95% CI 0.16–1.07)).
Targeted NGS data from time of diagnosis were available for 38.3% (N = 38) of the cohort. An estimated 89.5% (95% CI 75.2–97.0%) harbored pathogenic variants at the time of diagnosis, of which 78.9% harbored variants in signaling pathways (Supplementary Fig. S7). Neither variants related to signaling pathways, myelodysplasia, nor the combination of signaling and cohesin complex variants conferred an impact on crude OS (Supplementary Fig. S8). In seven patients with paired data from the time of diagnosis and the time of relapse, 85.7% (N = 6) had longitudinally persisting clones (Supplementary Fig. S9).
In this nationwide population-based cohort study, our findings reveal that the main risk factor for mortality in patients eligible for intensive treatment is patient age at the time of diagnosis. We were unable to demonstrate a significant improvement in OS and CIR with the addition of GO to standard treatment. Furthermore, 1 in 4 patients who achieve a CR subsequently relapse, leading to a worsening of the survival probability.
We found that RUNX1::RUNX1T1 CBF-AML accounts for less than 3% of patients diagnosed with AML, which is less than half of the commonly cited 7–10%. Given the high coverage of the Danish National Leukemia Registry, we believe our findings provide an accurate estimate of the true incidence of RUNX1::RUNX1T1 CBF-AML. Most patients harbored pathogenic variants in addition to the fusion oncogene. We could not demonstrate any effect on OS from interrogating the most commonly affected pathways, including the high-risk combination of variants in kinase signaling and the cohesin complex as identified by Duployez N et al. [15].
In Denmark, DA-based regimens have for decades been the recommended standard induction, and our data demonstrate that these are highly effective and associated with long-term OS and RFS comparable to that of the FLAG-based regimens for which Borthakur G. et al. [12] reported a 5-year OS of 72% and 5-year RFS of 63%. Thus, the high remission-inducing potential of FLAG-based regimens must be weighed against the inherent toxicity, as DA-based treatment represents a highly efficient alternative.
Despite the effective treatment, relapse constituted the main cause of mortality for patients in accordance with data from Hospital MA. et al. [13]. Interestingly, we found that 95% of relapses occurred within 3 years of the initial diagnosis. These data align with the results of the AML19 trial data reported by Russell NH. et al. [7] who present a plateau in the event-free survival at ≈24 months from randomization. As such, the 3-year post-diagnosis timepoint could be considered a relevant milestone during the follow-up of patients.
We furthermore analyzed the real-world effect of GO in RUNX1::RUNX1T1 CBF-AML by comparing patients treated before and after GO was approved and incorporated into Danish AML treatment guidelines. We did not detect an improvement in OS from the addition of GO to intensive regimens, with OS of the non-GO-treated (70.4%) being comparable to that of the GO-treated patients in the landmark publication by Hills R. et al. [6]. The data did indicate improvements in RFS and CIR, favoring the GO-treated. While these observed improvements did not reach statistical significance, they are in accordance with the results of the randomized clinical trials ALFA-0701 [9] and MRC AML-15 [5]. It is plausible that the lack of an OS benefit from the addition of GO may be attributed to highly effective salvage regimens which negate the RFS and CIR benefits observed, rendering them undetectable when analyzing OS. Additionally, the cohort with available data regarding treatment with GO may have been underpowered to detect an improvement in OS with statistical significance.
The population-based design of this study allowed for robust estimates of clinically relevant outcomes; however, it was not without limitations. While we identified aberrations related to chromosome 17 to be associated with a high risk of death, this association was based on outcomes of 3 patients; thus, the finding may only be considered hypothesis-generating. The cohort consisted of 87 intensively treated RUNX1::RUNX1T1 CBF-AML patients, and while this represents a sizeable cohort as compared to the available literature, subtle differences in the investigated outcomes may be missed in the statistical analysis. As treatment with GO was analyzed as a categorical variable, the impact of the various dosing regimens that have been utilized during the study period could not be evaluated. Furthermore, patients treated with intensive regimens prior to the introduction of GO served as a comparator. We believe this control group to be a relevant and robust comparator as the treatment of AML has been consistent and uniform in the study period across the AML-treating centers in Denmark, reflecting the highly centralized AML-treatment. Nevertheless, it is plausible to expect that advancements in supportive care and overall management of AML may have influenced outcomes during the study period, such as the observed benefit of GO with regard to survival beyond 5 years of follow-up. Here, the improved treatment of co-morbidities during the study period, e.g., cardiac diseases, has likely contributed to the observed improvement in OS.
In conclusion, we provide population-based data on RUNX1::RUNX1T1 CBF-AML showing that, despite the upfront favorable prognosis, relapse is an important driver of mortality for these patients. Furthermore, we report that GO may reduce the risk of relapse; however, the clinical benefit did not reach statistical significance in this study. Collectively, our data highlight an unmet need for improved care for patients with AML with RUNX1::RUNX1T1, emphasizing the need for novel agents for the treatment of this patient population, particularly for those who relapse.
Data availability
Requests regarding data availability can be made to M.L. at majlud@rm.dk.
References
Döhner H, Wei AH, Appelbaum FR, Craddock C, DiNardo CD, Dombret H, et al. Diagnosis and management of AML in adults: 2022 recommendations from an international expert panel on behalf of the ELN. Blood. 2022;140:1345–77.
Grimwade D, Hills RK, Moorman AV, Walker H, Chatters S, Goldstone AH, et al. Refinement of cytogenetic classification in acute myeloid leukemia: determination of prognostic significance of rare recurring chromosomal abnormalities among 5876 younger adult patients treated in the United Kingdom Medical Research Council trials. Blood. 2010;116:354–65.
Papaemmanuil E, Gerstung M, Bullinger L, Gaidzik VI, Paschka P, Roberts ND, et al. Genomic classification and prognosis in acute myeloid leukemia. N Engl J Med. 2016;374:2209–21.
Ishikawa Y, Kawashima N, Atsuta Y, Sugiura I, Sawa M, Dobashi N, et al. Prospective evaluation of prognostic impact of KIT mutations on acute myeloid leukemia with RUNX1-RUNX1T1 and CBFB-MYH11. Blood Adv. 2020;4:66–75.
Burnett AK, Hills RK, Milligan D, Kjeldsen L, Kell J, Russell NH, et al. Identification of patients with acute myeloblastic leukemia who benefit from the addition of gemtuzumab ozogamicin: results of the MRC AML15 trial. J Clin Oncol. 2011;29:369–77.
Hills RK, Castaigne S, Appelbaum FR, Delaunay J, Petersdorf S, Othus M, et al. Addition of gemtuzumab ozogamicin to induction chemotherapy in adult patients with acute myeloid leukaemia: a meta-analysis of individual patient data from randomised controlled trials. Lancet Oncol. 2014;15:986–96.
Russell NH, Wilhelm-Benartzi C, Othman J, Dillon R, Knapper S, Batten LM, et al. Fludarabine, Cytarabine, Granulocyte Colony-Stimulating Factor, and Idarubicin With Gemtuzumab Ozogamicin improves event-free survival in younger patients with newly diagnosed AML and overall survival in patients with NPM1 and FLT3 mutations. J Clin Oncol. 2024;42:1158–68.
Castaigne S, Pautas C, Terré C, Raffoux E, Bordessoule D, Bastie JN, et al. Effect of gemtuzumab ozogamicin on survival of adult patients with de-novo acute myeloid leukaemia (ALFA-0701): a randomised, open-label, phase 3 study. Lancet. 2012;379:1508–16.
Lambert J, Pautas C, Terré C, Raffoux E, Turlure P, Caillot D, et al. Gemtuzumab ozogamicin for de novo acute myeloid leukemia: final efficacy and safety updates from the open-label, phase III ALFA-0701 trial. Haematologica. 2019;104:113–9.
Bouvier A, Hamel JF, Delaunay J, Delabesse E, Dumas PY, Ledoux MP, et al. Molecular classification and prognosis in younger adults with acute myeloid leukemia and intermediate-risk cytogenetics treated or not by gemtuzumab ozogamycin: Final results of the GOELAMS/FILO acute myeloid leukemia 2006-intermediate-risk trial. Eur J Haematol. 2021;107:111–21.
Petersdorf SH, Kopecky KJ, Slovak M, Willman C, Nevill T, Brandwein J, et al. A phase 3 study of gemtuzumab ozogamicin during induction and postconsolidation therapy in younger patients with acute myeloid leukemia. Blood. 2013;121:4854–60.
Borthakur G, Ravandi F, Patel K, Wang X, Kadia T, DiNardo C, et al. Retrospective comparison of survival and responses to Fludarabine, Cytarabine, GCSF (FLAG) in combination with gemtuzumab ozogamicin (GO) or Idarubicin (IDA) in patients with newly diagnosed core binding factor (CBF) acute myelogenous leukemia: MD Anderson experience in 174 patients. Am J Hematol. 2022;97:1427–34.
Hospital MA, Prebet T, Bertoli S, Thomas X, Tavernier E, Braun T, et al. Core-binding factor acute myeloid leukemia in first relapse: a retrospective study from the French AML Intergroup. Blood. 2014;124:1312–9.
Orvain C, Bertoli S, Peterlin P, Desbrosses Y, Dumas PY, Iat A, et al. Molecular relapse after first-line intensive therapy in patients with CBF or NPM1-mutated acute myeloid leukemia - a FILO study. Leukemia. 2024;38:1949–57.
Duployez N, Marceau-Renaut A, Boissel N, Petit A, Bucci M, Geffroy S, et al. Comprehensive mutational profiling of core binding factor acute myeloid leukemia. Blood. 2016;127:2451–9.
Acknowledgements
The authors would like to thank Ass. Prof. Rasmus Froberg Brøndum for assistance with the design of Supplementary Fig. S7 and the Diagnostic Laboratory at the Department of Hematology, Aarhus University Hospital, for access to routine diagnostic analyses. Additionally, the authors would like to thank Karen-Elise Jensen Fond and Innovation Fund Denmark for financial support of the project.
Author information
Authors and Affiliations
Contributions
JFS, DTK, ASR, and ML designed the study. JFS, DTK, KG, ADØ and DLH collected the data. ML and JFS collected biobanked samples. AA and JFS performed variant calling. JFS created and managed the patient database, analyzed the data, made the figures, and wrote the first-drafted manuscript. The final manuscript was approved by all authors.
Corresponding author
Ethics declarations
Competing interests
J.F.S.; A.D.R.; M.L.: No conflicts of interest to declare. D.T.K.: Consulting/advisory board: AbbVie, Astellas Pharma, Immedica pharma AB, Sevier; travel grants: Swedish Orphan Biovitrum; Research funding: unrestricted grant from Incyte Biosciences Nordic AB. A.S.R.: Jazz Pharmaceuticals: Travel grant, Daichii Sankyo: Consultancy fee, Immedica, Consultancy fee, unrestricted research grant, AbbVie: Consultancy fee. Servier: Consultancy fee. D.L.H.: Has served as Advisory Board member for Janssen and Takeda, Travel grants: EUSA Pharma, Alexion and SoBI outside this work. K.G.: Unrestricted research grants from Janssen Pharma and Medac. Not related to the current project.
Ethics approval and consent to participate
The study was approved by the Central Denmark Region Committees on Health Research Ethics (record no. 1-10-72-123-22) and conducted in accordance with Danish law. There was given exemption from informed consent in accordance with the Danish Health Care Act and the Decree on Information and Consent to Participation in Health Research Projects and on Reporting Supervision of Health Research Projects.
Additional information
Publisher’s note Springer Nature remains neutral with regard to jurisdictional claims in published maps and institutional affiliations.
Supplementary information
Rights and permissions
Open Access This article is licensed under a Creative Commons Attribution-NonCommercial-NoDerivatives 4.0 International License, which permits any non-commercial use, sharing, distribution and reproduction in any medium or format, as long as you give appropriate credit to the original author(s) and the source, provide a link to the Creative Commons licence, and indicate if you modified the licensed material. You do not have permission under this licence to share adapted material derived from this article or parts of it. The images or other third party material in this article are included in the article’s Creative Commons licence, unless indicated otherwise in a credit line to the material. If material is not included in the article’s Creative Commons licence and your intended use is not permitted by statutory regulation or exceeds the permitted use, you will need to obtain permission directly from the copyright holder. To view a copy of this licence, visit http://creativecommons.org/licenses/by-nc-nd/4.0/.
About this article
Cite this article
Soerensen, J.F., Kristensen, D.T., Ørskov, A.D. et al. A Danish nationwide population-based cohort study on acute myeloid leukemia with RUNX1::RUNX1T1 – Real-world outcomes and clinicopathological characteristics. Blood Cancer J. 15, 171 (2025). https://doi.org/10.1038/s41408-025-01377-8
Received:
Revised:
Accepted:
Published:
Version of record:
DOI: https://doi.org/10.1038/s41408-025-01377-8
