Symptomatic multiple myeloma (MM) often develops from precursor conditions, namely monoclonal gammopathy of undetermined significance (MGUS) and smoldering MM (SMM) [1, 2]. Current guidelines recommend treatment initiation upon progression to MM [3]. Although diagnostic tools such as peripheral blood electrophoresis allow for less invasive screening, the clinical utility of widespread screening for MGUS or SMM remains contentious, primarily because treatment is deferred until progression to MM [3,4,5]. The question of whether early detection of precursor conditions confers a survival advantage is both clinically important and timely, given emerging data suggesting that clonal evolution and genomic complexity increase during disease progression, potentially affecting treatment response and outcomes [6]. If early detection leads to improved outcomes, this would have significant implications for screening and monitoring strategies, particularly for high-risk individuals.
To address this question, multiple population-based studies have identified prior MGUS diagnosis as a predictor of longer survival following progression to MM, but these findings have not been evaluated outside the U.S. and Sweden [7,8,9]. Thus, we conducted a nationwide population-based study using comprehensive health insurance data from Korea to determine whether patients who had progressed to MM after detection of precursor conditions (MGUS or SMM) experience different survival outcomes compared to those diagnosed de novo.
This population-based retrospective study utilized data from the Health Insurance Review and Assessment Service (HIRA) database, which encompasses approximately 100% of the Korean population, including medical beneficiaries [10]. The HIRA provides comprehensive insurance claims information, including patient demographics, diagnostic codes, prescription records, and medical procedures, making it a robust resource for large-scale epidemiological research.
Using this database, we identified patients newly diagnosed with MGUS (n = 5500) or multiple myeloma (SMM or MM, n = 17,809) from January 1, 2009, to November 30, 2022. Subsequently, we classified patients into three cohorts, as illustrated in Fig. S1: the MGUS to MM cohort (n = 199), consisting of patients who progressed from MGUS to MM; the SMM to MM cohort (n = 447), consisting of patients who progressed from SMM to MM; and the de novo MM cohort (n = 15,067), comprising patients diagnosed directly with MM without preceding MGUS or SMM diagnoses.
MGUS was defined as ≥2 primary diagnoses of ICD-10 code [D47.2] followed by the Korean reimbursement code for cancer [V193]. SMM was defined as cases in which no MM-targeted therapy was initiated, and no MM-defining events occurred—including hypercalcemia, renal insufficiency, anemia, or bone lesions [11] —for at least 6 months following initial MM diagnosis. MM progression was defined by the initiation of frontline MM-targeted therapies after MM diagnosis, including melphalan, bortezomib, thalidomide, or lenalidomide, based on the HIRA database public health insurance criteria (Table S1).
We defined the index date for survival analysis as the first date of MM-targeted therapy after MM diagnosis for all cohorts to avoid lead-time bias, and applied a 6-month landmark analysis, excluding patients who died within 6 months of diagnosis. To address confounding, we applied inverse probability of treatment weighting (IPTW) to adjust for age, sex, comorbidities using the Charlson comorbidity index, and treatment intensity. We compared the cumulative incidence of MM progression using Fine-Gray subdistribution hazard models accounting for death or lymphoma as a competing risk. For survival analysis, we used IPTW-adjusted Kaplan-Meier curves and Cox proportional hazards models with robust variance estimation. Sensitivity analyses with different confounding adjustment methods and restricted follow-up periods were performed to assess the robustness of our findings. E-value was calculated to quantify potential unmeasured confounding. Detailed operational definitions, study protocols, and statistical methods are available in the Supplementary Appendix 1, following STROBE reporting guidelines
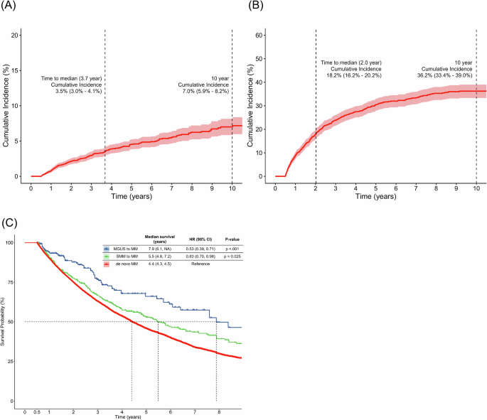
Patients in the MGUS to MM cohort were significantly frailer, with older age and a higher prevalence of comorbidities, compared to the other cohorts. Frontline treatment regimens also differed significantly across groups. The SMM to MM cohort had a higher prevalence of doublet regimens, particularly bortezomib-dexamethasone (26.8%), compared to the MGUS to MM (17.6%) and de novo MM (13.4%) cohorts (p < 0.001, Table 1). The median follow-up durations were 4.0 years (95% CI, 3.4–5.4) for MGUS to MM, 5.0 years (95% CI, 4.6–5.6) for SMM to MM, and 5.3 years (95% CI, 5.2–5.4) for de novo MM. The 10-year cumulative incidence of MM progression was 7.0% (95% CI, 5.9–8.2) for MGUS and 36.2% (95% CI, 33.4–39.0) for SMM, with median times to progression of 3.7 and 2.0 years, respectively. At these timepoints, the progression rates were 3.5% (95% CI, 3.0–4.1) for MGUS and 18.2% (95% CI, 16.2–20.2) for SMM, respectively (Fig. 1A, B).
6-month landmark cumulative incidence from A MGUS cohort (n = 5500) to MM and B SMM cohort (n = 1583) to MM. The median follow-up durations were 4.0 years (95% CI, 3.4–5.4) for MGUS to MM, 5.0 years (95% CI, 4.6–5.6) for SMM to MM, and 5.3 years (95% CI, 5.2–5.4) for de novo MM. The 10-year cumulative incidence of MM progression from diagnosis of MGUS and SMM was 7.0% (95% CI, 5.9–8.2) and 36.2% (95% CI, 33.4–39.0), and the median times to progression were 3.7 and 2.0 years, where the cumulative incidence of MM progression was 3.5% (95% CI, 3.0–4.1) and 18.2% (95% CI, 16.2–20.2), respectively. C Weighted 6-month landmark survival plot of the three cohorts: the MGUS to MM cohort (blue), SMM to MM (green), and de novo MM (red) cohorts from the index date. Median OS was 7.9 years [95% CI, 6.1-not reached] for the MGUS to MM cohort, 5.5 years [95% CI, 4.8–7.2] for the SMM to MM cohort, and 4.4 years [95% CI, 4.3–4.5] for the de novo MM cohort. MM progression was defined as the initiation of MM-targeted therapy following a documented diagnosis of MM. Cumulative incidence analyses were conducted using Fine-Gray competing risk models, treating death and lymphoma as competing events. For OS comparisons, the index date was set as the first prescription date of MM-targeted therapy. Survival analyses were adjusted for age, sex, comorbidities, and intensity of frontline treatment using the inverse probability of treatment weighting (IPTW) method. MGUS monoclonal gammopathy of undetermined significance, SMM smoldering multiple myeloma, MM symptomatic multiple myeloma, OS overall survival, HR Hazard ratio, CI Confidence interval.
After IPTW adjustment for demographics, comorbidities, and treatment patterns (Fig. S2) among the three cohorts, both the MGUS to MM cohort and the SMM to MM cohort exhibited significantly improved overall survival (OS) compared to the de novo MM cohort, with weighted hazard ratios of 0.53 (95% CI, 0.39–0.71; p < 0.001) and 0.83 (95% CI, 0.70–0.98; p = 0.025) respectively (Fig. 1C). To address potential bias arising from the varying follow-up durations across the three cohorts, we performed additional sensitivity analyses by restricting the observation period to 3, 4, 5, and 6 years. These restricted analyses yielded consistent results, thus supporting the robustness of our findings (Fig. S3). Also, E-value analysis (3.18 for HR = 0.53; 1.96 for the upper 95% CI) indicates that only substantial unmeasured confounding with a risk ratio of ≥3.18 could nullify our findings, strengthening the validity of the observed survival benefit.
Our findings highlight the potential clinical benefits of early detection and monitoring of precursor conditions in MM, consistent with prior reports from Western populations demonstrating improved survival in patients with precursor-detected MM, including studies from the U.S. and Swedish cohorts [7,8,9]. Patients diagnosed with MGUS or SMM who later progressed to MM demonstrated significantly improved overall survival compared to those diagnosed de novo with MM, even after adjusting for baseline characteristics and treatment intensity. Importantly, this survival advantage was observed when measuring from the point of symptomatic progression in all cohorts, suggesting benefits beyond earlier detection alone. Despite the inherent limitations of retrospective analysis, sensitivity analyses, including considering unmeasured confounding, demonstrated consistent results. Early-stage disease management may mitigate the risk of severe complications commonly associated with advanced MM, emphasizing the clinical value of timely precursor detection. This finding is particularly compelling because Korean insurance reimbursement only permits treatment after progression to symptomatic MM—meaning all cohorts received therapy at the symptomatic disease stage, yet outcomes differed based on diagnostic pathway.
This study has several limitations that warrant careful interpretation. First, although serological biomarkers such as immunoglobulin isotype, M-protein concentration, and serum free light chain ratio are well-established predictors of MM progression from precursor conditions [12], these parameters were not available in the HIRA database and thus could not be incorporated as covariates. Second, misclassification of precursor states (e.g., MGUS, SMM, or de novo MM) is possible due to reliance on administrative diagnostic codes, particularly when precursor conditions were not formally documented or coded prior to MM diagnosis. MM-related events were identified using claims-based algorithms, which may have failed to capture non-CRAB myeloma-defining events or early active disease. Third, and most importantly, lead-time bias likely influences our results. Even though we applied a 6-month landmark and defined follow-up from MM treatment initiation to reduce immortal time bias, these approaches do not remove lead-time bias and may amplify relative survival differences. Interestingly, our MGUS to MM group had an older median age at MM diagnosis than the de novo group, suggesting that lead-time bias does not fully explain the observed difference. However, because the SMM to MM group was younger, survival comparisons involving this group need particularly cautious interpretation.
Notably, patients progressing from MGUS demonstrated better OS than those from SMM, despite a higher comorbidity burden and greater incidence of MM-related events such as renal failure at index date. This counterintuitive finding may reflect intrinsic differences in disease biology. Prior studies suggest that treatment resistance-associated clonal evolution accelerates as precursor conditions advance toward overt MM [13]. Thus, MGUS-derived MM cases may represent a biologically more indolent subset with slower genomic progression, allowing for more effective therapeutic intervention when treated at the time of symptomatic conversion. These findings underscore the importance of timely identification and biologically informed surveillance strategies in managing precursor conditions.
Our results align with prior Western studies reporting survival benefits in precursor-detected MM but extend this evidence by leveraging a nationwide real-world dataset from a non-Western healthcare system, thereby broadening generalizability. While universal screening for MGUS or SMM remains controversial due to low progression rates and the risk of overtreatment, our findings support the value of structured surveillance among individuals with known precursor conditions. Ongoing prospective trials, such as iStopMM [14], will be critical for evaluating the impact of broader screening strategies.
Given the high prevalence of precursor conditions and the resource burden of long-term follow-up, our findings should not be interpreted as supporting universal screening. Rather, a targeted screening approach focused on high-risk individuals identified through clinical factors or comorbidity-based risk models [15] may offer a more sustainable and clinically effective strategy. This approach could facilitate earlier diagnosis and improve risk stratification, allowing for more timely and individualized treatment decisions.
In conclusion, this population-based analysis underscores the importance of structured surveillance in precursor conditions of MM. By identifying and monitoring high-risk individuals, clinicians may be better positioned to intervene earlier in the disease course, ultimately improving survival outcomes in MM. Future studies incorporating direct measures of disease biology, treatment response patterns, and quality of life are needed to further elucidate the mechanisms underlying these observed survival differences.
Data availability
Some or all data sets generated during and/or analyzed during the current study are not publicly available but are available from the corresponding author on reasonable request.
References
Landgren O, Kyle RA, Pfeiffer RM, Katzmann JA, Caporaso NE, Hayes RB, et al. Monoclonal gammopathy of undetermined significance (MGUS) consistently precedes multiple myeloma: a prospective study. Blood. 2009;113:5412–7.
Weiss BM, Abadie J, Verma P, Howard RS, Kuehl WM. A monoclonal gammopathy precedes multiple myeloma in most patients. Blood. 2009;113:5418–22.
Rajkumar SV, Kumar S, Lonial S, Mateos MV. Smoldering multiple myeloma current treatment algorithms. Blood Cancer J. 2022;12:129.
Dispenzieri A, Stewart AK, Chanan-Khan A, Rajkumar SV, Kyle RA, Fonseca R, et al. Smoldering multiple myeloma requiring treatment: time for a new definition?. Blood. 2013;122:4172–81.
Ghobrial IM, Chabrun F. Is it time to screen for multiple myeloma?. Blood. 2025;145:253–5.
Bianchi G, Kyle RA, Colby CL, Larson DR, Kumar S, Katzmann JA, et al. Impact of optimal follow-up of monoclonal gammopathy of undetermined significance on early diagnosis and prevention of myeloma-related complications. Blood. 2010;116:2019–25.
Go RS, Gundrum JD, Neuner JM. Determining the clinical significance of monoclonal gammopathy of undetermined significance: a SEER-Medicare population analysis. Clin Lymphoma Myeloma Leuk. 2015;15:177–86.e4.
Goyal G, Rajkumar SV, Lacy MQ, Gertz MA, Buadi FK, Dispenzieri A, et al. Impact of prior diagnosis of monoclonal gammopathy on outcomes in newly diagnosed multiple myeloma. Leukemia. 2019;33:1273–7.
Sigurdardottir EE, Turesson I, Lund SH, Lindqvist EK, Mailankody S, Korde N, et al. The role of diagnosis and clinical follow-up of monoclonal gammopathy of undetermined significance on survival in multiple myeloma. JAMA Oncol. 2015;1:168–74.
Kim DS. Introduction: health of the health care system in Korea. Soc Work Public Health. 2010;25:127–41.
Rajkumar SV, Dimopoulos MA, Palumbo A, Blade J, Merlini G, Mateos MV, et al. International Myeloma Working Group updated criteria for the diagnosis of multiple myeloma. Lancet Oncol. 2014;15:e538–48.
Lakshman A, Rajkumar SV, Buadi FK, Binder M, Gertz MA, Lacy MQ, et al. Risk stratification of smoldering multiple myeloma incorporating revised IMWG diagnostic criteria. Blood Cancer J. 2018;8:59.
van Nieuwenhuijzen N, Spaan I, Raymakers R, Peperzak V. From MGUS to multiple myeloma, a paradigm for clonal evolution of premalignant cells. Cancer Res. 2018;78:2449–56.
Rognvaldsson S, Love TJ, Thorsteinsdottir S, Reed ER, Oskarsson J, Petursdottir I, et al. Iceland screens, treats, or prevents multiple myeloma (iStopMM): a population-based screening study for monoclonal gammopathy of undetermined significance and randomized controlled trial of follow-up strategies. Blood Cancer J. 2021;11:94.
Ko H, Choi S, Park SS, Jung S, Lee CH, Han S, et al. Quantitative risk of underlying disease conditions for progression from monoclonal gammopathy to multiple myeloma: a nationwide cohort study. ESMO Open. 2025;10:105327.
Acknowledgements
This research was supported by a grant RS-2023-00216446 from the Ministry of Food and Drug Safety in 2023. This study was conducted using data from the Catholic REsearch Network for Multiple Myeloma (CARE-MM) and is defined as CAREMM-2307.
Author information
Authors and Affiliations
Contributions
SC and SSP designed the study and wrote the manuscript. SSP and SH conceived and designed the study. CHL and SJ collected and analyzed the data. SSP and CKM interpreted the data. CK and KR critically reviewed the manuscript for important intellectual content. SH and CKM supervised the study. All authors contributed to manuscript revision and approved the final version.
Corresponding authors
Ethics declarations
Competing interests
The authors declare no competing interests.
Ethics approval statement and patient consent statement
Given that the data were anonymized and de-identified, the requirement for informed consent was waived. The study was approved by the Institutional Review Board of Seoul St. Mary’s Hospital, Seoul, Korea (IRB No. KC23ZISI0463) and was conducted in accordance with the Declaration of Helsinki and applicable ethical guidelines.
Additional information
Publisher’s note Springer Nature remains neutral with regard to jurisdictional claims in published maps and institutional affiliations.
Supplementary information
Rights and permissions
Open Access This article is licensed under a Creative Commons Attribution-NonCommercial-NoDerivatives 4.0 International License, which permits any non-commercial use, sharing, distribution and reproduction in any medium or format, as long as you give appropriate credit to the original author(s) and the source, provide a link to the Creative Commons licence, and indicate if you modified the licensed material. You do not have permission under this licence to share adapted material derived from this article or parts of it. The images or other third party material in this article are included in the article’s Creative Commons licence, unless indicated otherwise in a credit line to the material. If material is not included in the article’s Creative Commons licence and your intended use is not permitted by statutory regulation or exceeds the permitted use, you will need to obtain permission directly from the copyright holder. To view a copy of this licence, visit http://creativecommons.org/licenses/by-nc-nd/4.0/.
About this article
Cite this article
Choi, S., Park, SS., Lee, C.H. et al. Improved survival in multiple myeloma following prior detection of precursor conditions: a nationwide real-world study. Blood Cancer J. 15, 185 (2025). https://doi.org/10.1038/s41408-025-01395-6
Received:
Revised:
Accepted:
Published:
Version of record:
DOI: https://doi.org/10.1038/s41408-025-01395-6
