Abstract
The role of donor CMV serostatus in the setting of non T-cell depleted haplo-HSCT with post-transplant cyclophosphamide (PT-Cy) has not been specifically addressed so far. Here we analyzed the impact of the donor CMV serological status on the outcome of 983 CMV seropositive (CMV+), acute leukemia patients receiving a first, non T-cell depleted haplo-HSCT registered in the EBMT database. The 1-year NRM was 21.3% (95% CI: 18.4–24.8) and 18.8% (95% CI: 13.8–25.5) in the CMV D+/R+ and D−/R+ pairs, respectively (p = 0.40). Similarly, 1-year OS was 55.1% (95% CI: 50.1–58.0) and 55.7% (95% CI: 48.0–62.8) in the same groups (p = 0.50). The other main outcomes were comparable. No difference in NRM nor OS was observed after stratification for the intensity of conditioning and multivariate anaysis confirmed the lack of significant association with NRM or OS. In conclusion, the choice of a CMV-seronegative donor did not impair early survival of CMV-seropositive patients with acute leukemia after a first, non T-cell depleted haploidentical HSCT and PT-Cy among this series of 983 consecutive patients. Future research may focus on the assessment of the hierarchy of all the donor variables.
Similar content being viewed by others
Introduction
CMV status is a major determinant of transplant outcome [1,2,3] and it represents a key issue in the search for the optimal donor. In a recent megafile analysis from the European Society for Blood and Marrow Transplantation (EBMT) on almost 50,000 transplants [1] it was shown that CMV-seronegative (CMV−) patients receiving CMV-seropositive (CMV+) unrelated donor grafts had decreased overall survival (OS) compared with CMV- donors, but no difference was observed when the donor was a HLA-identical sibling. The same analysis demonstrated that CMV+ patients receiving grafts from CMV+ unrelated donors had improved OS compared with CMV− donors only if they had received myeloablative conditioning (MAC). Thus, both the intensity of conditioning and the type of donor modulate the impact of donor CMV serological status on the patient outcome [4, 5], the donor type possibly through the type of immunosuppression and the risk of associated graft-versus-host disease (GvHD). In addition, the negative effects of CMV infection on patient outcome might be amplified by the complications that may occur after the administration of the currently available antiviral drugs [6, 7].
While CMV serological status has been extensively studied for both HLA-identical siblings and unrelated donors, the significant worldwide increase in the use of haploidentical transplantation [8] has not resulted in an increase of data about the impact of donor CMV status on patient outcome, despite the fact that the availability of a haploidentical family donor is generally greater than a HLA-identical sibling, and multiple haploidentical donors may be suitable for a single patient at the same time. CMV reactivation rates after non T-cell depleted haploidentical transplant range from 38 to 74% [9,10,11,12,13], contributing to the infection-related toxicity associated with this platform. Similarly, CMV disease is responsible for both morbidity and mortality in the same setting. Due to the CMV-associated toxicity and the greater availability of a haploidentical family donor (virtually 100% of the parents and offspring, 50% of siblings) compared with a HLA-identical sibling, a better definition of the role of donor CMV serostatus on patients’ outcome after haploidentical transplantation may help to improve the search for the optimal haplo-donor. A recent analysis on 207 patient-donor pairs [14] failed to demonstrate any significant clinical impact of donor CMV serostatus after non T-cell depleted haploidentical transplantation using high-dose post-transplant cyclophosphamide (PT-Cy); however, it remains unknown if this lack of effect was real or due to the relatively low numbers in the series [14].
We thus conducted a registry-based analysis, on larger numbers, with the aim of estimating the impact of donor CMV serological status on the outcome of patients with acute leukemia who received a non T-cell depleted haploidentical transplantation and PT-Cy. Since a CMV- donor is assumed to be the best choice for a CMV- patient, the present analysis focuses on CMV+ patients only. However, a descriptive analysis on the CMV-negative patients transplanted in the same period is also provided.
Patients and methods
The study was conducted on behalf of the Infectious Disease Working Party and the Acute Leukemia Working Party of the EBMT. The EBMT is a voluntary working group of more than 500 transplant centers, mostly located in Europe, that are required to report all consecutive transplants and follow-up data once a year. All the items in the present analysis were collected through data retrieval from the EBMT registry (Med-A forms) after the approval by both Working Parties (WPs). No additional requests to centers were made, except for the variable “donor age”, whose coverage was 54% at the time of first statistical analysis and reached 89% after the additional request. Informed consent was obtained before the transplantation procedure for all patients.
The inclusion criteria were: diagnosis of acute leukemia, first allogeneic hematopoietic stem cell transplantation (HSCT) performed from 1st January 2010 to 31st December 2015, patient CMV+ serological status, haploidentical donor (defined as the presence of an “HLA-mismatched relative” with “≥2 HLA loci mismatches”), GvHD prophylaxis including PT-Cy (defined as the presence of “cyclophosphamide given after day 0” among the drugs given for GvHD prophylaxis). The collected variables were as follows: donor CMV serological status, age, gender; patient age, gender; disease, date of diagnosis, disease status at HSCT; drugs and their cumulative doses administered during the conditioning regimen, total body irradiation (Yes/No and respective dose), intensity of conditioning according to EBMT criteria, stem cell source, date of infusion, other drugs in addition to PT-Cy administered for GvHD prophylaxis, center activity (measured as the numbers of haplo-HSCT/year that are included in the analysis from each center), neutrophil engraftment and date, acute GvHD, grading and date, chronic GvHD, severity and date, relapse date, death date, last follow-up, status and date, cause of death.
Sample size definition
A previous reported experience [14] showed a 1-year non-relapse mortality (NRM) of 24% and 31% in case of CMV+ and CMV− donors, respectively for CMV+ patients. Assuming that such a difference actually exists, and taking into account the fact that more MAC regimens were expected to be present in this series of only acute leukemia compared to the previous one [14], a 50% increase in the NRM difference, i.e., 11%, would represent a reasonable and clinically meaningful difference to be detected, if present, between the groups. Considering a two-sided alpha = 0.05 and a power = 0.80, our a priori calculation of sample size led to a minimum of n = 700 patients needed to verify this difference, meaning at least n = 525 and n = 175 in the CMV+ and CMV− donor groups respectively, according to an expected ratio of 3:1 [14]. These numbers were obtained from the haploidentical HSCT activity in Europe, therefore the analysis proved to be feasible and the study was approved by both the IDWP and ALWP boards. Some of the haplo-HSCTs reported in 2016 [14] are included in the present analysis.
Statistical analysis
The main characteristics of patients were described reporting absolute and percentage frequencies in case of categorical variables and median and range for the continuous variables. Differences in the distribution between groups (donor CMV+ vs. CMV−) have been verified by t-test or U-Mann-Whitney test in case of continuous variables and using chi-square or Fisher exact test in case of categorical variables.
NRM was estimated using the cumulative incidence method, considering the relapse of the underlying disease as competing event. A cause-specific Cox model was performed in order to estimate the probability of NRM and OS according to the donor CMV status; this model has been adjusted by the main confounders taken into account, i.e., the variables resulted associated with the outcome of interest with a p-value < 0.20 in univariate and p < 0.05 in multivariate. Due to a potential distinct effect of donor CMV serostatus according to the intensity of conditioning [1], the possible interaction between the intensity of conditioning regimen and the donor CMV serostatus was also investigated. A post-hoc analysis was also performed, investigating a potential interaction between the donor CMV serostatus and the relationship between patient and donor, this latter extrapolated from age difference (see further).
Also progression-free survival, relapse-free survival, incidence of acute and chronic GvHD, incidence of relapse and of neutrophil engraftment were estimated together with their respective 95% confidence interval (CI). The Kaplan–Meier methods, Cox model and the cumulative incidence methods were performed accordingly.
All the analyses were performed using the statistical software SAS v. 9.4 (SAS Institute Inc., Cary, NC, USA).
Results
Demographics
A total of 983 CMV+ patients were identified, with a median follow-up of 1.6 years from haplo-HSCT (95% CI: 1.4–1.8). Among these, n = 774 (79%) and n = 209 (21%) had a CMV+ and CMV− donor, respectively (namely D+/R+ and D−/R+ pairs), with an approximate 4:1 ratio. Baseline data are shown in Table 1. Interestingly, a significantly higher patient age, lower donor age, more reduced-intensity conditionings (RIC) and less complete remissions at transplant were observed in the D−/R+ group vs. the D+/R+ one. No other significant differences were present between the two groups. In addition to PT-Cy, the GvHD prophylaxis consisted of a calcineurin inhibitor (Tacrolimus or CsA) in association with Mycophenolate Mofetil in over 90% of patients, without differences between the two groups. Anti-thymocyte globulin was also used in n = 3 patients (0.3% of transplants). To better illustrate the putative relationship between patient and donor based on their respective ages, a scatter plot was built (Fig. 1). The plot identifies three clusters (the donor being a parent, a sibling or offspring) and shows more D−/R+ pairs when the donor is likely to be a child. This might explain the higher patient age and the lower donor age observed in this group, and is in line with the notion that CMV seropositivity increases with age in both SCT patients and their donors [15, 16].
Each point represents a transplant that is located in the graph according to both the patient and the donor age. All transplants clustered into three subgroups, after the definition of a 18-years difference as the best cut–off: 1) the donor being > 18-years older than the patient (likely to be a parent; upper left); 2) the donor being > 18-years younger than the patient (likely to be a child-adolescent; lower right); 3) the donor age being less than 18-years older and less than 18-years younger (likely to be a sibling or even a cousin; middle). More CMV-negative donors are present in the subgroup 2), possibly explaining the higher patient age, the younger donor age and the use of more RIC among the D−/R+ pairs (see Table 1). Coefficients of correlation are shown here: donor old (r = 0.87, p < 0.0001; Coeff = 0.853, SD 0.0346, p < 0.0001), donor intermediate (r = 0.86, p < 0.0001; Coeff = 0.804, SD 0.0255, p < 0.0001), donor young (r = 0.75, p < 0.0001; Coeff = 0.725, SD 0.0359, p < 0.0001) (Color figure online)
Univariate analysis
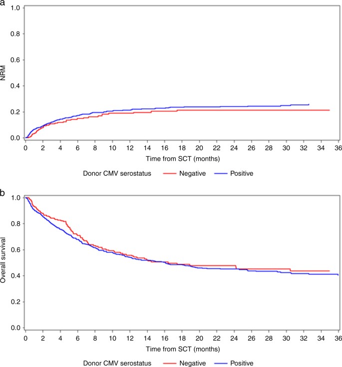
One-year NRM was 21.3% (95% CI: 18.4-24.8) and 18.8% (95% CI: 13.8–25.5) in the D+/R+ and D−/R+ groups, respectively (p = 0.40; Fig. 2a). NRM was not significantly different after stratification for the conditioning intensity, with estimates in the D+/R+ and D−/R+ groups of 19.8% (95% CI: 16.3–24.0) and 15.7% (95% CI: 10.0–24.8), p = 0.40, after MAC and 24.3% (95% CI: 19.1–30.8) and 21.7% (95% CI: 14.2–33.2), p = 0.5, after RIC. No significant interaction was detected between the donor CMV status and the intensity of conditioning (p = 0.80).
One-year OS was similar in both groups: 55.1% (95% CI: 50.1–58.0) and 55.7% (95% CI: 48.0–62.8) in the D+ /R+ and D−/R+ groups, respectively (p = 0.50, Fig. 2b). As for NRM, no significant interaction was detected between the donor CMV status and the intensity of conditioning with respect to OS (p = 0.60). Relapse-free survival and relapse incidence were 46.8% (95% CI: 42.8–50.7) and 47.8% (95% CI: 40.3–54.9), p = 0.40, and 29.9% (95% CI: 26.4–33.8) and 30.8% (95% CI: 24.6–38.7), p = 0.80, at one year after haplo-HSCT; overall acute and chronic GvHD were 28.5% and 26.3% (p = 0.2), and 27.7% and 29.7% (p = 0.7) respectively, with comparable proportions of severity between the groups: acute grade 2–4 was 58% and 47% of all graded acute GvHD events (p = 0.07 by chi-square), acute grade 3-4 was 20% and 20% (p = 1.00) and extensive chronic GvHD was 40% and 33% (p = 0.51) of all graded chronic GvHD events in the D+/R+ and D–/R+ groups, respectively. Neutrophil engraftment at 30 days was higher in the D-/R+ group: 91.1 vs. 85.5%, p = 0.01.
Multivariate analysis
Multivariate analysis for NRM confirmed no statistically significant association with donor CMV serological status but there was a trend towards a higher NRM using a CMV-positive donor (Hazard Ratio, HR: 1.45, 95% CI: 0.97–2.17, p = 0.07). Results did not significantly change when the model was built with either the adjustment for donor age or the insertion of the variable “relationship between patient and donor” in replacement of both patient and donor age (data not shown). The other significant variables associated with NRM were: patient age, performance status and center activity.
Similarly, the donor CMV serological status was not significantly associated with OS, whereas the significant variables were: disease status at transplant, performance status and center activity. Results from the uni- and multivariate analysis are shown in Table 2.
Finally, the interaction test for both NRM and OS between patient-donor relationship and donor CMV status was not significant, meaning that the lack of significant association between donor CMV status and outcome is valid for all the three subgroups shown in Fig. 1.
The observed unexpected difference in neutrophil engraftment was a posteriori investigated with a multivariate model confirming the independent impact of donor CMV serostatus (p = 0.03), warranting further investigation in separate studies.
CMV seronegative patients
In the same period, a total of 237 CMV-negative patients received a non T-cell depleted haplo-HSCT with PT-Cy for acute leukemia and survival analysis shows 1-y OS = 56.3% (95% CI: 48.3–63.4) and 1-y NRM = 17.7% (95% CI: 12.8–24.3) for the whole cohort. When analysed separately according to the donor CMV serological status, no significant differences were observed (p = 0.60 for OS, p = 0.50 for NRM) and, similarly, OS and NRM were not significantly different among CMV-positive and CMV-negative patients (p = 0.30 for OS, p = 0.20 for NRM).
Discussion
We found similar outcomes using a CMV-positive or a CMV-negative donor on this registry-based cohort of 983 consecutive CMV-positive patients affected by acute leukemia and receiving a first non T-cell depleted haplo-HSCT with PT-Cy. Due to the increase of haplo-HSCT activity in recent years, thanks to the introduction of PT-Cy [9, 17], these results are relevant and add a piece of information to the puzzle of the available criteria for the search of the best haploidentical donor. Indeed, whereas the donor CMV serological status has shown to be one of the most important determinants of patient outcome after transplantation from an unrelated donor (URD) [1, 4], this has not been investigated for the most recent platform of non T-cell depleted haplo-HSCT using PT-Cy. Since physicians could face with multiple available family haploidentical donors, we believe that the question of how the donor CMV serostatus may contribute to the final choice of the donor is a relevant as well as practical topic. Here we found similar NRM and OS for the D+/R+ and D−/R+ pairs, indicating that the choice of a CMV-positive or negative donor led to comparable outcomes, with a median follow-up of 1.6 years from haplo-HSCT. In the previous EBMT analysis of donor serostatus influence on outcome, almost 9000 patients undergoing URD HSCT were included [1] and we cannot exclude that a study on haplo-HSCT and PT-Cy using a larger population might have detected an impact of donor serostatus. It is unknown if the same conclusions might be applicable for other diseases (e.g., lymphoma), and a separate analysis or an implementation of the present one by the integration of data from other diseases would be useful to answer this question.
A possible explanation of the results lies in the characteristics of GvHD prophylaxis and of the immune reconstitution after non T-cell depleted haplo-HSCT with PT-Cy [18], which is different from what is generally seen in the URD setting, where a more extensive and prolonged immune suppression is often present, due to the frequent use of in vivo T-cell depletion [4, 19] and/or to a higher incidence of GvHD compared with non T-cell depleted haplo-HSCT and PT-Cy [20, 21], leading to the administration of additional immune-suppressive treatments. Here we did not observe a detrimental impact of a CMV mismatch between patient and donor and this might reflect more favorable immunological conditions after transplant, compared with the unrelated setting. As an additional observation, the low incidence of severe chronic GvHD after non T-cell depleted haplo-HSCT and PT-Cy [22] is likely to account, at least in part, for the observed results. Importantly, the lack of a significant association between the donor CMV serostatus and outcome was confirmed irrespectively of the conditioning regimen, and this is worth noting because of the well-known association between the intensity of conditioning and transplant mortality [23].
The use of PT-Cy has been reported also in the HLA-matched, related or unrelated setting, initially by the same authors from Baltimore [24] and thereafter by other groups [25,26,27,28,29]. To our knowledge, the impact of CMV serostatus has not been elucidated in this type of transplant platforms and deserves to be explored, giving the increasing use of PT-Cy in the HLA-matched setting, too.
We acknowledge some limitations, such as the retrospective nature of the analysis, and the lack of some relevant variables currently used for the choice of donor, such as the AB0-blood group matching [30, 31], or the body weight [32]. The unexpected finding of a higher NRM after a CMV-matched donor in multivariate analysis might be explained by the potential threat represented by the introduction of a second CMV strain from the donor in the absence of T cells, or by the notion of the immune senescence that is associated with CMV seropositivity [33], although these speculations should be further confirmed. As a consequence, caution is needed when interpreting the multivariate results since, although the donor age has been adequately taken into account, other, unknown or non-evaluated variables may actually have affected the outcomes or some confounding factors may have been underestimated. The descriptive and comparative data on CMV-negative patients treated in the same period suggest that their outcome is not significantly different, however, any conclusion may be premature at this stage, due to the relatively low numbers (n = 237). As a final consideration, we cannot exclude that a difference of less than 11% exists between the two CMV groups and it has not been detected here because of the size of the study cohort, therefore the question might benefit from a larger cohort analysis.
Nevertheless, this is the first large study addressing this specific topic and the results suggest that the choice of a CMV-mismatched donor does not have a detrimental effect on the patients outcome after haplo-HSCT. This result was confirmed for both RIC and MAC, and also for the three subgroups shown in Fig. 1, when the donor is likely to a parent (left), a sibling (occasionally a cousin; middle) and a child (right), respectively. A very recent analysis, investigating several variables in the context of AML/MDS patients receiving haplo-HSCT with the aim of building a predictive model, did not find donor CMV serostatus as a predictor of outcome [34], in line with our findings. Likewise, recipient CMV serostatus and CMV matching have been evaluated as a covariates in other series of haplo-HSCT with PT-Cy [10, 20, 35] and the matching did not significantly impact on outcomes, although these studies were not specifically designed for that and lower transplant numbers were analysed.
Importantly, here the advantage of using data from the registry lies in the ability to capture the data from real-life across the EBMT centers, thus showing a picture of what is currently done in clinical practice and what the outcomes are. As stated previously, we believe the results are worthy of note, given the increasing number of haplo-HSCTs and of the number of EBMT centers performing haplo-HSCTs [36]. Similarly to another recent EBMT report [22], a center effect has been observed for both NRM and OS (see Table 2).
In conclusion, after a median follow-up of 1.6 years from transplant, the choice of a CMV-negative donor did not impair the outcome of CMV-positive acute leukemia patients after a first, non T-cell depleted haploidentical HSCT and PT-Cy among this series of almost one thousand, consecutive patients. Future directions may focus on the assessment of the hierarchy of all the donor variables as well as the inclusion of diseases other than leukemia.
References
Ljungman P, Brand R, Hoek J, de la Camara R, Cordonnier C, Heinsele H, et al. Infectious diseases working party of the European group for blood and marrow transplantation. Donor Cytomegalovirus status influences the outcome of allogeneic stem cell transplant: a study by the European group for blood and marrow transplantation. Clin Infect Dis. 2014;59:473–81.
Sellar RS, Vargas FA, Henry JY, Verfuerth S, Charrot S, Beaton B, et al. CMV promotes recipient T-cell immunity following reduced-intensity T-cell-depleted HSCT, significantly modulating chimerism status. Blood. 2015;125:731–9.
Ugarte-Torres A, Hoegh-Petersen M, Liu Y, Zhou F, Williamson TS, Quinlan D, et al. Donor serostatus has an impact on Cytomegalovirus-specific immunity, cytomegaloviral disease incidence, and survival in seropositive hematopoietic cell transplant recipients. Biol Blood Marrow Transplant 2011;17:574–85.
Kröger N, Zabelina T, Krüger W, Renges H, Stute N, Schrum J, et al. Patient Cytomegalovirus seropositivity with or without reactivation is the most important prognostic factor for survival and treatment-related mortality in stem cell transplantation from unrelated donors using pretransplant in vivo T-cell depletion with anti-thymocyte globulin. Br J Haematol. 2001;113:1060–71.
Ljungman P, Hakki M, Boeckh M. Cytomegalovirus in hematopoietic stem cell transplant recipients. Infect Dis Clin North Am. 2010;24:319–37.
Venton G, Crocchiolo R, Fürst S, Granata A, Oudin C, Faucher C, et al. Risk factors of Ganciclovir-related neutropenia after allogeneic stem cell transplantation: a retrospective monocentre study on 547 patients. Clin Microbiol Infect. 2014;20:160–6.
Härter G, Michel D. Antiviral treatment of Cytomegalovirus infection: an update. Expert Opin Pharmacother. 2012;13:623–7.
Apperley J, Niederwieser D, Huang XJ, Nagler A, Fuchs E, Szer J, et al. Haploidentical hematopoietic stem cell transplantation: a global overview comparing Asia, the European union, and the United States. Biol Blood Marrow Transplant. 2016;22:23–6.
Luznik L, O’Donnell PV, Symons HJ, Chen AR, Leffell MS, Zahurak M, et al. HLA-haploidentical bone marrow transplantation for hematologic malignancies using nonmyeloablative conditioning and high-dose, posttransplantation cyclophosphamide. Biol Blood Marrow Transplant. 2008;14:641–50.
Raiola AM, Dominietto A, di Grazia C, Lamparelli T, Gualandi F, Ibatici A, et al. Unmanipulated haploidentical transplants compared with other alternative donors and matched sibling grafts. Biol Blood Marrow Transplant. 2014;20:1573–9.
Di Stasi A, Milton DR, Poon LM, Hamdi A, Rondon G, Chen J, et al. Similar transplantation outcomes for acute myeloid leukemia and myelodysplastic syndrome patients with haploidentical versus 10/10 human leukocyte antigen-matched unrelated and related donors. Biol Blood Marrow Transplant. 2014;20:1975–81.
Cieri N, Greco R, Crucitti L, Morelli M, Giglio F, Levati G, et al. Post-transplantation cyclophosphamide and sirolimus after haploidentical hematopoietic stem cell transplantation using a treosulfan-based myeloablative conditioning and peripheral blood stem cells. Biol Blood Marrow Transplant. 2015;21:1506–14.
Crocchiolo R, Bramanti S, Vai A, Sarina B, Mineri R, Casari E, et al. Infections after T-replete haploidentical transplantation and high-dose cyclophosphamide as graft-versus-host disease prophylaxis. Transpl Infect Dis. 2015;17:242–9.
Crocchiolo R, Castagna L, Fürst S, Devillier R, Sarina B, Bramanti S, et al. The patient’s CMV serological status affects clinical outcome after T-cell replete haplo-HSCT and post-transplant cyclophosphamide. Bone Marrow Transplant. 2016;51:1134–6.
Ljungman P, Brandan R. Factors influencing Cytomegalovirus seropositivity in stem cell transplant patients and donors. Haematologica. 2007;92:1139–42.
Bate SL, Dollard SC, Cannon MJ. Cytomegalovirus seroprevalence in the United States: the national health and nutrition examination surveys, 1988-2004. Clin Infect Dis. 2010;50:1439–47.
Passweg JR, Baldomero H, Bader P, Bonini C, Duarte RF, Dufour C, et al. Use of haploidentical stem cell transplantation continues to increase: the 2015 European society for blood and marrow transplant activity survey report. Bone Marrow Transplant. 2017;52:811–7.
Roberto A, Castagna L, Zanon V, Bramanti S, Crocchiolo R, McLaren JE, et al. Role of naive-derived T memory stem cells in T-cell reconstitution following allogeneic transplantation. Blood. 2015;125:2855–64.
Kalra A, Williamson T, Daly A, Savoie ML, Stewart DA, Khan F, et al. Impact of donor and recipient Cytomegalovirus serostatus on outcomes of antithymocyte globulin-conditioned hematopoietic cell tansplantation. Biol Blood Marrow Transplant. 2016;22:1654–63.
Ciurea SO, Zhang MJ, Bacigalupo AA, Bashey A, Appelbaum FR, Aljitawi OS, et al. Haploidentical transplant with posttransplant cyclophosphamide vs. matched unrelated donor transplant for acute myeloid leukemia. Blood. 2015;126:1033–40.
Blaise D, Fürst S, Crocchiolo R, El-Cheikh J, Granata A, Harbi S, et al. Haploidentical T Cell-Replete transplantation with post-transplantation cyclophosphamide for patients in or above the sixth decade of age compared with allogeneic hematopoietic stem cell transplantation from an Hhman leukocyte antigen-matched related or unrelated donor. Biol Blood Marrow Transplant. 2016;22:119–24.
Ruggeri A, Sun Y, Labopin M, Bacigalupo A, Lorentino F, Arcese W, et al. Post-transplant cyclophosphamide versus anti-thymocyte globulin as graft- versus-host disease prophylaxis in haploidentical transplant. Haematologica. 2017;102:401–10.
Gooley TA, Chien JW, Pergam SA, Hingorani S, Sorror ML, Boeckh M, et al. Reduced mortality after allogeneic hematopoietic-cell transplantation. N Engl J Med. 2010;363:2091–101.
Luznik L, Bolanos-Meade J, Zahurak M, Chen AR, Smith BD, Brodsky R, et al. High-dose cyclophosphamide as single-agent, short-course prophylaxis of graft-versus-host disease. Blood. 2010;115:3224–30.
Kanakry CG, O’Donnell PV, Furlong T, de Lima MJ, Wei W, Medeot M, et al. Multi-institutional study of post-transplantation cyclophosphamide as single-agent graft-versus-host disease prophylaxis after allogeneic bone marrow transplantation using myeloablative busulfan and fludarabine conditioning. J Clin Oncol. 2014;32:3497–505.
Alousi AM, Brammer JE, Saliba RM, Andersson B, Popat U, Hosing C, et al. Phase II trial of graft-versus-host disease prophylaxis with post-transplantation cyclophosphamide after reduced-intensity busulfan/fludarabine conditioning for hematological malignancies. Biol Blood Marrow Transplant. 2015;21:906–12.
Lindner S, Berg T, Riemann J, Ajib S, Jedlickova Z, Gueller S, et al. Mismatched unrelated hematopoietic stem cell transplantation with post-transplant cyclophosphamide for high-risk acute myeloid leukemia. Ann Hematol. 2016;95:1023–5.
Rashidi A, Slade M, DiPersio JF, Westervelt P, Vij R, Romee R. Post-transplant high-dose cyclophosphamide after HLA-matched vs haploidentical hematopoietic cell transplantation for AML. Bone Marrow Transplant. 2016;51:1561–4.
Carnevale-Schianca F, Caravelli D, Gallo S, Coha V, D’Ambrosio L, Vassallo E, et al. Post-transplant cyclophosphamide and tacrolimus-mycophenolate mofetil combination prevents graft-versus-host disease in allogeneic peripheral blood hematopoietic cell transplantation from HLA-matched donors. Biol Blood Marrow Transplant. 2017;23:459–66.
Kimura F, Sato K, Kobayashi S, Ikeda T, Sao H, Okamoto S, et al. Impact of AB0-blood group incompatibility on the outcome of recipients of bone marrow transplants from unrelated donors in the Japan marrow donor program. Haematologica. 2008;93:1686–93.
Canaani J, Savani BN, Labopin M, Huang XJ, Ciceri F, Arcese W, et al. Impact of ABO incompatibility on patient outcome in haploidentical hematopoietic stem cell transplantation for acute myeloid leukemia - a report from the acute leukemia working party of the EBMT. Haematologica. 2017;102:1066–74.
Rimondo A, Bramanti S, Crocchiolo R, Giordano L, Sarina B, Morabito L, et al. Bone marrow donor-related variables associated with harvest outcome in HLA-haploidentical transplantation with postinfusion cyclophosphamide. Vox Sang. 2016;111:93–100.
Tu W, Rao S. Mechanisms underlying T cell immunosenescence: aging and Cytomegalovirus infection. Front Microbiol. 2016;7:2111.
Bachegowda LS, Saliba RM, Ramlal R, Kongtim P, Chen J, Rondon G, et al. Predictive model for survival in patients with AML/MDS receiving haploidentical stem cell transplantation. Blood. 2017;129:3031–3.
McCurdy SR, Kanakry JA, Showel MM, Tsai HL, Bolaños-Meade J, Rosner GL, et al. Risk-stratified outcomes of nonmyeloablative HLA-haploidentical BMT with high-dose posttransplantation cyclophosphamide. Blood. 2015;125:3024–31.
Passweg JR, Baldomero H, Bader P, Bonini C, Cesaro S, Dreger P, et al Hematopoietic stem cell transplantation in Europe 2014: more than 40,000 transplants annually. Bone Marrow Transplant. 2016;51:786–92.
Acknowledgements
We thank Mr Rodney Seddon for the review of the english style of the manuscript. All the participating centers not included in the co-authorship are detailed in the Appendix.
Author information
Authors and Affiliations
Corresponding author
Ethics declarations
Conflict of interest
R.C. was an employee of MolMed S.p.A. at the time of submission. The remaining authors declare that they have no competing interests.
Electronic supplementary material
Rights and permissions
About this article
Cite this article
Cesaro, S., Crocchiolo, R., Tridello, G. et al. Comparable survival using a CMV-matched or a mismatched donor for CMV+ patients undergoing T-replete haplo-HSCT with PT-Cy for acute leukemia: a study of behalf of the infectious diseases and acute leukemia working parties of the EBMT. Bone Marrow Transplant 53, 422–430 (2018). https://doi.org/10.1038/s41409-017-0016-1
Received:
Revised:
Accepted:
Published:
Version of record:
Issue date:
DOI: https://doi.org/10.1038/s41409-017-0016-1
This article is cited by
-
The European Society for Blood and Marrow Transplantation (EBMT) consensus recommendations for donor selection in haploidentical hematopoietic cell transplantation
Bone Marrow Transplantation (2020)
-
Haploidentical stem cell transplantation (HaploSCT) for patients with acute leukemia—an update on behalf of the ALWP of the EBMT
Bone Marrow Transplantation (2019)




