Abstract
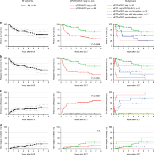
Relapse after allogeneic haematopoietic stem cell transplantation (SCT) is a major cause of death in patients with acute lymphoblastic leukaemia (ALL). Here, we retrospectively analysed the contributions of lineage-sorted donor cell chimerism (sDCC) and quantitative PCR (qPCR) targeting disease-specific genetic rearrangements to detect minimal residual/relapsing disease (MRD) and predict impending relapse in 94 adult ALL patients after SCT. With a median follow-up of surviving patients (n = 61) of 3.3 years, qPCR and/or sDCC measurements turned positive in 38 patients (40%). Of these, 22 patients relapsed and 16 remained in complete remission. At 3 years, qPCR and/or sDCC positive patients showed an increased incidence of relapse (50% vs. 4%, p < 0.0001), decreased relapse-free survival (RFS, 40% vs. 85%, p < 0.0001), and decreased overall survival (OS, 47% vs. 87%, p 0.004). Both, qPCR and sDCC pre-detected 11 of 21 relapses occurring within the first two years after SCT and, overall, complemented for each other method in four of the relapsing and four of the non-relapsing cases. Patients receiving pre-emptive MRD-driven interventions (n = 11) or not (n = 10) showed comparable median times until relapse, RFS, and OS. In our single centre cohort, qPCR and sDCC were similarly effective and complementary helpful to indicate haematological relapse of ALL after SCT.
This is a preview of subscription content, access via your institution
Access options
Subscribe to this journal
Receive 12 print issues and online access
$259.00 per year
only $21.58 per issue
Buy this article
- Purchase on SpringerLink
- Instant access to the full article PDF.
USD 39.95
Prices may be subject to local taxes which are calculated during checkout




Similar content being viewed by others
References
Giebel S, Labopin M, Socie G, Beelen D, Browne P, Volin L, et al. Improving results of allogeneic hematopoietic cell transplantation for adults with acute lymphoblastic leukemia in first complete remission: an analysis from the Acute Leukemia Working Party of the European Society for Blood and Marrow Transplantation. Haematologica. 2017;102:139–49. https://doi.org/10.3324/haematol.2016.145631
Gökbuget N, Dombret H, Ribera JM, Fielding AK, Advani A, Bassan R, et al. International reference analysis of outcomes in adults with B-precursor Ph-negative relapsed/refractory acute lymphoblastic leukemia. Haematologica. 2016;101:1524–33. https://doi.org/10.3324/haematol.2016.144311
Kantarjian HM, DeAngelo DJ, Stelljes M, Martinelli G, Liedtke M, Stock W, et al. Inotuzumab ozogamicin versus standard therapy for acute lymphoblastic leukemia. N. Engl J Med. 2016;375:740–53. https://doi.org/10.1056/NEJMoa1509277
Kantarjian H, Stein A, Gökbuget N, Fielding AK, Schuh AC, Ribera J-M, et al. Blinatumomab versus Chemotherapy for Advanced Acute Lymphoblastic Leukemia. N. Engl J Med. 2017;376:836–47. https://doi.org/10.1056/NEJMoa1609783
Brüggemann M, Raff T, Flohr T, Gökbuget N, Nakao M, Droese J, et al. Clinical significance of minimal residual disease quantification in adult patients with standard-risk acute lymphoblastic leukemia. Blood. 2006;107:1116–23. https://doi.org/10.1182/blood-2005-07-2708
Pulsipher MA, Bader P, Klingebiel T, Cooper LJ. Allogeneic transplantation for pediatric acute lymphoblastic leukemia: the emerging role of peritransplantation minimal residual disease/chimerism monitoring and novel chemotherapeutic, molecular, and immune approaches aimed at preventing relapse. Biol Blood Marrow Transplant. 2009;15:62–71. https://doi.org/10.1016/j.bbmt.2008.11.009
Campana D, Leung W. Clinical significance of minimal residual disease in patients with acute leukaemia undergoing haematopoietic stem cell transplantation. Br J Haematol. 2013;162:147–61. https://doi.org/10.1111/bjh.12358
Gökbuget N, Dombret H, Bonifacio M, Reichle A, Graux C, Faul C, et al. Blinatumomab for minimal residual disease in adults with B-cell precursor acute lymphoblastic leukemia. Blood. 2018;131:1522–31. https://doi.org/10.1182/blood-2017-08-798322
Brüggemann M, Schrauder A, Raff T, Pfeifer H, Dworzak M, Ottmann OG, et al. Standardized MRD quantification in European ALL trials: proceedings of the Second International Symposium on MRD assessment in Kiel, Germany, 18-20 September 2008. Leukemia. 2010;24:521–35. https://doi.org/10.1038/leu.2009.268
Gökbuget N, Kneba M, Raff T, Trautmann H, Bartram CR, Arnold R, et al. Adult patients with acute lymphoblastic leukemia and molecular failure display a poor prognosis and are candidates for stem cell transplantation and targeted therapies. Blood. 2012;120:1868–76. https://doi.org/10.1182/blood-2011-09-377713
Thiede C, Bornhäuser M, Oelschlagel U, Brendel C, Leo R, Daxberger H, et al. Sequential monitoring of chimerism and detection of minimal residual disease after allogeneic blood stem cell transplantation (BSCT) using multiplex PCR amplification of short tandem repeat-markers. Leukemia. 2001;15:293–302.
Bader P, Niethammer D, Willasch A, Kreyenberg H, Klingebiel T. How and when should we monitor chimerism after allogeneic stem cell transplantation? Bone marrow Transplant. 2005;35:107–19. https://doi.org/10.1038/sj.bmt.1704715
Yam PY, Petz LD, Knowlton RG, Wallace RB, Stock AD, de Lange G, et al. Use of DNA restriction fragment length polymorphisms to document marrow engraftment and mixed hematopoietic chimerism following bone marrow transplantation. Transplantation. 1987;43:399–407.
Bader P, Beck J, Frey A, Schlegel PG, Hebarth H, Handgretinger R, et al. Serial and quantitative analysis of mixed hematopoietic chimerism by PCR in patients with acute leukemias allows the prediction of relapse after allogeneic BMT. Bone marrow Transplant. 1998;21:487–95. https://doi.org/10.1038/sj.bmt.1701119
Barrios M, Jimenez-Velasco A, Roman-Gomez J, Madrigal ME, Castillejo JA, Torres A, et al. Chimerism status is a useful predictor of relapse after allogeneic stem cell transplantation for acute leukemia. Haematologica. 2003;88:801–10.
Choi SJ, Lee KH, Lee JH, Kim S, Chung HJ, Lee JS, et al. Prognostic value of hematopoietic chimerism in patients with acute leukemia after allogeneic bone marrow transplantation: a prospective study. Bone marrow Transplant. 2000;26:327–32. https://doi.org/10.1038/sj.bmt.1702504
Terwey TH, Hemmati PG, Nagy M, Pfeifer H, Gökbuget N, Brüggemann M, et al. Comparison of chimerism and minimal residual disease monitoring for relapse prediction after allogeneic stem cell transplantation for adult acute lymphoblastic leukemia. Biol Blood Marrow Transplant. 2014;20:1522–9. https://doi.org/10.1016/j.bbmt.2014.05.026
Scheffold C, Kroeger M, Zuehlsdorf M, Tchinda J, Silling G, Bisping G, et al. Prediction of relapse of acute myeloid leukemia in allogeneic transplant recipients by marrow CD34+ donor cell chimerism analysis. Leukemia. 2004;18:2048–50. https://doi.org/10.1038/sj.leu.2403507
Rosenow F, Berkemeier A, Krug U, Müller-Tidow C, Gerss J, Silling G, et al. CD34(+) lineage specific donor cell chimerism for the diagnosis and treatment of impending relapse of AML or myelodysplastic syndrome after allo-SCT. Bone Marrow Transplant. 2013;48:1070–6. https://doi.org/10.1038/bmt.2013.2
Zeiser R, Spyridonidis A, Wäsch R, Ihorst G, Grüllich C, Bertz H et al. Evaluation of immunomodulatory treatment based on conventional and lineage-specific chimerism analysis in patients with myeloid malignancies after myeloablative allogeneic hematopoietic cell transplantation. Leukemia. 2005;19:814–21. https://doi.org/10.1038/sj.leu.2403719
Bornhäuser M, Oelschlaegel U, Platzbecker U, Bug G, Lutterbeck K, Kiehl MG, et al. Monitoring of donor chimerism in sorted CD34+ peripheral blood cells allows the sensitive detection of imminent relapse after allogeneic stem cell transplantation. Haematologica. 2009;94:1613–7. https://doi.org/10.3324/haematol.2009.007765
Mattsson J, Uzunel M, Tammik L, Aschan J, Ringden O. Leukemia lineage-specific chimerism analysis is a sensitive predictor of relapse in patients with acute myeloid leukemia and myelodysplastic syndrome after allogeneic stem cell transplantation. Leukemia. 2001;15:1976–85.
Preuner S, Lion T. Post-transplant monitoring of chimerism by lineage-specific analysis. Methods Mol Biol. 2014;1109:271–91. https://doi.org/10.1007/978-1-4614-9437-9_14
Preuner S, Peters C, Pötschger U, Daxberger H, Fritsch G, Geyeregger R, et al. Risk assessment of relapse by lineage-specific monitoring of chimerism in children undergoing allogeneic stem cell transplantation for acute lymphoblastic leukemia. Haematologica. 2016;101:741–6. https://doi.org/10.3324/haematol.2015.135137
Tobiasson M, Olsson R, Hellström-Lindberg E, Mattsson J. Early detection of relapse in patients with myelodysplastic syndrome after allo-SCT. Bone Marrow Transplant. 2011;46:719–26. https://doi.org/10.1038/bmt.2010.179
Sairafi D, Remberger M, Uhlin M, Ljungman P, Ringdén O, Mattsson J. Leukemia lineage-specific chimerism analysis and molecular monitoring improve outcome of donor lymphocyte infusions. Biol Blood Marrow Transplant. 2010;16:1728–37. https://doi.org/10.1016/j.bbmt.2010.06.005
Lion T. Detection of impending graft rejection and relapse by lineage-specific chimerism analysis. Methods Mol Med. 2007;134:197–216.
Gökbuget N, Dombret H, Giebel S, Brüggemann M, Doubek M, Foa R, et al. Minimal residual disease level predicts outcome in adults with Ph-negative B-precursor acute lymphoblastic leukemia. Hematology. 2019;24:337–48. https://doi.org/10.1080/16078454.2019.1567654
Bassan R, Brüggemann M, Radcliffe H-S, Hartfield E, Kreuzbauer G, Wetten S. A systematic literature review and meta-analysis of minimal residual disease as a prognostic indicator in adult B-cell acute lymphoblastic leukemia. Haematologica. 2019. https://doi.org/10.3324/haematol.2018.201053
Berry DA, Zhou S, Higley H, et al. Association of minimal residual disease with clinical outcome in pediatric and adult acute lymphoblastic leukemia: a meta-analysis. JAMA Oncol. 2017;3:e170580 https://doi.org/10.1001/jamaoncol.2017.0580
Shen Z, Gu X, Mao W, Yin L, Yang L, Zhang Z, et al. Influence of pre-transplant minimal residual disease on prognosis after Allo-SCT for patients with acute lymphoblastic leukemia: systematic review and meta-analysis. BMC Cancer. 2018;18:755 https://doi.org/10.1186/s12885-018-4670-5
Bader P, Kreyenberg H, Hoelle W, Dueckers G, Handgretinger R, Lang P, et al. Increasing mixed chimerism is an important prognostic factor for unfavorable outcome in children with acute lymphoblastic leukemia after allogeneic stem-cell transplantation: possible role for pre-emptive immunotherapy? J Clin Oncol. 2004;22:1696–705. https://doi.org/10.1200/jco.2004.05.198
Bader P, Kreyenberg H, von Stackelberg A, Eckert C, Salzmann-Manrique E, Meisel R, et al. Monitoring of minimal residual disease after allogeneic stem-cell transplantation in relapsed childhood acute lymphoblastic leukemia allows for the identification of impending relapse: results of the ALL-BFM-SCT 2003 trial. J Clin Oncol. 2015;33:1275–84. https://doi.org/10.1200/jco.2014.58.4631. e-pub ahead of print 2015/01/22
Radich J, Ladne P, Gooley T. Polymerase chain reaction-based detection of minimal residual disease in acute lymphoblastic leukemia predicts relapse after allogeneic BMT. Biol Blood Marrow Transplant. 1995;1:24–31.
Spinelli O, Peruta B, Tosi M, Guerini V, Salvi A, Zanotti MC et al. Clearance of minimal residual disease after allogeneic stem cell transplantation and the prediction of the clinical outcome of adult patients with high-risk acute lymphoblastic leukemia. 2007;92:612–8. https://doi.org/10.3324/haematol.10965
Doney K, Loken M, Bryant E, Smith A, Appelbaum F. Lack of utility of chimerism studies obtained 2-3 months after myeloablative hematopoietic cell transplantation for ALL. Bone Marrow Transplant. 2008;42:271–4. https://doi.org/10.1038/bmt.2008.155.
van der Velden VH, Cazzaniga G, Schrauder A, Hancock J, Bader P, Panzer-Grumayer ER, et al. Analysis of minimal residual disease by Ig/TCR gene rearrangements: guidelines for interpretation of real-time quantitative PCR data. Leukemia. 2007;21:604–11. https://doi.org/10.1038/sj.leu.2404586
Gabert J, Beillard E, van der Velden VH, Bi W, Grimwade D, Pallisgaard N, et al. Standardization and quality control studies of ‘real-time’ quantitative reverse transcriptase polymerase chain reaction of fusion gene transcripts for residual disease detection in leukemia—a Europe Against Cancer program. Leukemia. 2003;17:2318–57. https://doi.org/10.1038/sj.leu.2403135
Beillard E, Pallisgaard N, van der Velden VH, Bi W, Dee R, van der Schoot E, et al. Evaluation of candidate control genes for diagnosis and residual disease detection in leukemic patients using ‘real-time’ quantitative reverse-transcriptase polymerase chain reaction (RQ-PCR)—a Europe against cancer program. Leukemia. 2003;17:2474–86. https://doi.org/10.1038/sj.leu.2403136
Pochon C, Oger E, Michel G, Dalle J-H, Salmon A, Nelken B et al. Follow-up of post-transplant minimal residual disease and chimerism in childhood lymphoblastic leukaemia: 90 d to react. Br J Haematol. 2015;169:249–61. https://doi.org/10.1111/bjh.13272
Horn B, Soni S, Khan S, Petrovic A, Breslin N, Cowan M, et al. Feasibility study of preemptive withdrawal of immunosuppression based on chimerism testing in children undergoing myeloablative allogeneic transplantation for hematologic malignancies. Bone Marrow Transplant. 2009;43:469–76. https://doi.org/10.1038/bmt.2008.339
Massenkeil G, Nagy M, Lawang M, Rosen O, Genvresse I, Geserick G, et al. Reduced intensity conditioning and prophylactic DLI can cure patients with high-risk acute leukaemias if complete donor chimerism can be achieved. Bone Marrow Transplant. 2003;31:339–45. https://doi.org/10.1038/sj.bmt.1703859
Sanchez J, Serrano J, Gomez P, Martinez F, Martin C, Madero L, et al. Clinical value of immunological monitoring of minimal residual disease in acute lymphoblastic leukaemia after allogeneic transplantation. Br J Haematol. 2002;116:686–94.
Rettinger E, Merker M, Salzmann-Manrique E, Kreyenberg H, Krenn T, Dürken M, et al. Pre-emptive immunotherapy for clearance of molecular disease in childhood acute lymphoblastic leukemia after transplantation. Biol Blood Marrow Transplant. 2017;23:87–95. https://doi.org/10.1016/j.bbmt.2016.10.006
Gorczynska E, Turkiewicz D, Toporski J, Kalwak K, Rybka B, Ryczan R, et al. Prompt initiation of immunotherapy in children with an increasing number of autologous cells after allogeneic HCT can induce complete donor-type chimerism: a report of 14 children. Bone Marrow Transplant. 2004;33:211–7. https://doi.org/10.1038/sj.bmt.1704321
Pfeifer H, Wassmann B, Bethge W, Dengler J, Bornhäuser M, Stadler M, et al. Randomized comparison of prophylactic and minimal residual disease-triggered imatinib after allogeneic stem cell transplantation for BCR-ABL1-positive acute lymphoblastic leukemia. Leukemia. 2013;27:1254–62. https://doi.org/10.1038/leu.2012.352
Dhédin N, Huynh A, Maury S, Tabrizi R, Beldjord K, Asnafi V, et al. Role of allogeneic stem cell transplantation in adult patients with Ph-negative acute lymphoblastic leukemia. Blood. 2015;125:2486–96. https://doi.org/10.1182/blood-2014-09-599894
Szczepański T, Willemse MJ, Brinkhof B, van Wering ER, van der Burg M, van Dongen JJM. Comparative analysis of Ig and TCR gene rearrangements at diagnosis and at relapse of childhood precursor-B–ALL provides improved strategies for selection of stable PCR targets for monitoring of minimal residual disease. Blood. 2002;99:2315–23. https://doi.org/10.1182/blood.V99.7.2315
Acknowledgements
The authors thank the nursing staff and the physicians of all participating institutions as well as the technicians of the MRD laboratories for excellent patient care and high quality diagnostic analyses.
Author information
Authors and Affiliations
Contributions
KW, SM, EE, and MS treated patients, designed the research study, collected and analysed the data, and wrote the paper. HP and MB contributed diagnostic data and critically revised the manuscript. LA, PS, SC, JA, JM, CR, CG, CS, WB, and GL treated patients, collected data, and critically revised the manuscript.
Corresponding author
Ethics declarations
Conflict of interest
The authors declare that they have no conflict of interest.
Additional information
Publisher’s note Springer Nature remains neutral with regard to jurisdictional claims in published maps and institutional affiliations.
Supplementary information
Rights and permissions
About this article
Cite this article
Wethmar, K., Matern, S., Eßeling, E. et al. Monitoring minimal residual/relapsing disease after allogeneic haematopoietic stem cell transplantation in adult patients with acute lymphoblastic leukaemia. Bone Marrow Transplant 55, 1410–1420 (2020). https://doi.org/10.1038/s41409-020-0801-0
Received:
Revised:
Accepted:
Published:
Version of record:
Issue date:
DOI: https://doi.org/10.1038/s41409-020-0801-0
This article is cited by
-
Measurable residual disease (MRD) testing for acute leukemia in EBMT transplant centers: a survey on behalf of the ALWP of the EBMT
Bone Marrow Transplantation (2021)


