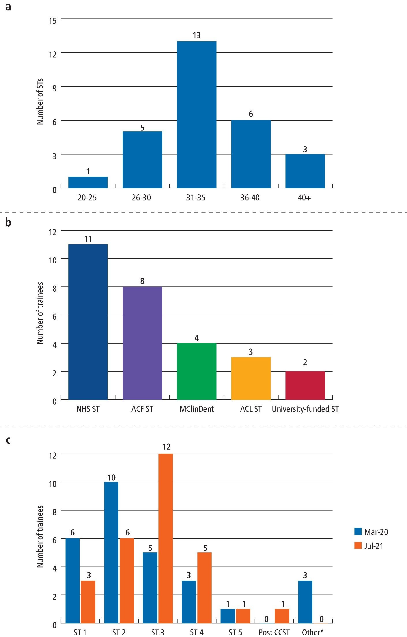
Fig. 1

a) Age range of specialty trainees that responded. b) Distribution of responses according to post type. c) Distribution of responses according to training year (* = other restorative specialty training grades not otherwise listed, which are out-of-programme and post-completion of specialist training)