Abstract
Background
Irinotecan (CPT-11) is an anticancer agent widely used to treat adult solid tumours. Large interindividual variability in the clearance of irinotecan and SN-38, its active and toxic metabolite, results in highly unpredictable toxicity.
Methods
In 217 cancer patients treated with intravenous irinotecan single agent or in combination, germline DNA was used to interrogate the variation in 84 genes by next-generation sequencing. A stepwise analytical framework including a population pharmacokinetic model with SNP- and gene-based testing was used to identify demographic/clinical/genetic factors that influence the clearance of irinotecan and SN-38.
Results
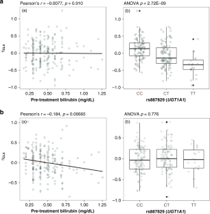
Irinotecan clearance was influenced by rs4149057 in SLCO1B1, body surface area, and co-administration of 5-fluorouracil/leucovorin/bevacizumab. SN-38 clearance was influenced by rs887829 in UGT1A1, pre-treatment total bilirubin, and EGFR rare variant burden. Within each UGT1A1 genotype group, elevated pre-treatment total bilirubin and/or presence of at least one rare variant in EGFR resulted in significantly lower SN-38 clearance. The model reduced the interindividual variability in irinotecan clearance from 38 to 34% and SN-38 clearance from 49 to 32%.
Conclusions
This new model significantly reduced the interindividual variability in the clearance of irinotecan and SN-38. New genetic factors of variability in clearance have been identified.
This is a preview of subscription content, access via your institution
Access options
Subscribe to this journal
Receive 24 print issues and online access
$259.00 per year
only $10.79 per issue
Buy this article
- Purchase on SpringerLink
- Instant access to the full article PDF.
USD 39.95
Prices may be subject to local taxes which are calculated during checkout




Similar content being viewed by others
Data availability
The data are not publicly available due to patient confidentiality. The data that support the findings of the current study are available within the article or upon request. Supplementary information is available at the British Journal of Cancer’s website.
Code availability
The Mlxtran code for population pharmacokinetic modelling and the R code for SNP- and gene-based analyses are available upon request.
References
de Man FM, Goey AKL, van Schaik RHN, Mathijssen RHJ, Bins S. Individualization of irinotecan treatment: a review of pharmacokinetics, pharmacodynamics, and pharmacogenetics. Clin Pharmacokinet. 2018;57:1229–54.
Pfizer. Pfizer, CAMPTOSAR® (irinotecan HCl) prescribing information. 2021. https://www.pfizermedicalinformation.com/en-us/camptosar. Accessed 24 Mar 2021.
Ipsen. Ipsen, ONIVYDE® (irinotecan liposome) prescribing information. 2021. https://www.accessdata.fda.gov/drugsatfda_docs/label/2015/207793lbl.pdf. Accessed 4 Mar 2021.
Saltz LB, Cox JV, Blanke C, Rosen LS, Fehrenbacher L, Moore MJ, et al. Irinotecan plus fluorouracil and leucovorin for metastatic colorectal cancer. Irinotecan Study Group. N Engl J Med. 2000;343:905–14.
Ratain MJ. Irinotecan dosing: does the CPT in CPT-11 stand for “Can’t Predict Toxicity”? J Clin Oncol. 2002;20:7–8.
Lyman GH. Febrile neutropenia: an ounce of prevention or a pound of cure. J Oncol Pract. 2019;15:27–9.
Iyer L, Das S, Janisch L, Wen M, Ramírez J, Karrison T, et al. UGT1A1*28 polymorphism as a determinant of irinotecan disposition and toxicity. Pharmacogenomics J. 2002;2:43–7.
Innocenti F, Kroetz DL, Schuetz E, Dolan ME, Ramírez J, Relling M, et al. Comprehensive pharmacogenetic analysis of irinotecan neutropenia and pharmacokinetics. J Clin Oncol. 2009;27:2604–14.
Ramchandani RP, Wang Y, Booth BP, Ibrahim A, Johnson JR, Rahman A, et al. The role of SN-38 exposure, UGT1A1*28 polymorphism, and baseline bilirubin level in predicting severe irinotecan toxicity. J Clin Pharmacol. 2007;47:78–86.
Xie R, Mathijssen RHJ, Sparreboom A, Verweij J, Karlsson MO. Clinical pharmacokinetics of irinotecan and its metabolites in relation with diarrhea. Clin Pharmacol Ther. 2002;72:265–75.
Li M, Seiser EL, Baldwin RM, Ramirez J, Ratain MJ, Innocenti F, et al. ABC transporter polymorphisms are associated with irinotecan pharmacokinetics and neutropenia. Pharmacogenomics J. 2018;18:35–42.
Han J-Y, Lim H-S, Shin ES, Yoo Y-K, Park YH, Lee J-E, et al. Influence of the organic anion-transporting polypeptide 1B1 (OATP1B1) polymorphisms on irinotecan-pharmacokinetics and clinical outcome of patients with advanced non-small cell lung cancer. Lung Cancer. 2008;59:69–75.
Xie R, Mathijssen RHJ, Sparreboom A, Verweij J, Karlsson MO. Clinical pharmacokinetics of irinotecan and its metabolites: a population analysis. J Clin Oncol. 2002;20:3293–301.
Klein CE, Gupta E, Reid JM, Atherton PJ, Sloan JA, Pitot HC, et al. Population pharmacokinetic model for irinotecan and two of its metabolites, SN-38 and SN-38 glucuronide. Clin Pharmacol Ther. 2002;72:638–47.
de Man FM, van Eerden RAG, van Doorn GM, Oomen-de Hoop E, Koolen SLW, Olieman JF, et al. Effects of protein and calorie restriction on the metabolism and toxicity profile of irinotecan in cancer patients. Clin Pharmacol Ther. 2021;109:1304–13.
Toffoli G, Sharma MR, Marangon E, Posocco B, Gray E, Mai Q, et al. Genotype-guided dosing study of FOLFIRI plus bevacizumab in patients with metastatic colorectal cancer. Clin Cancer Res. 2017;23:918–24.
Glimelius B, Garmo H, Berglund A, Fredriksson LA, Berglund M, Kohnke H, et al. Prediction of irinotecan and 5-fluorouracil toxicity and response in patients with advanced colorectal cancer. Pharmacogenomics J. 2011;11:61–71.
Innocenti F, Undevia SD, Iyer L, Chen PX, Das S, Kocherginsky M, et al. Genetic variants in the UDP-glucuronosyltransferase 1A1 gene predict the risk of severe neutropenia of irinotecan. J Clin Oncol. 2004;22:1382–8.
Innocenti F, Schilsky RL, Ramírez J, Janisch L, Undevia S, House LK, et al. Dose-finding and pharmacokinetic study to optimize the dosing of irinotecan according to the UGT1A1 genotype of patients with cancer. J Clin Oncol. 2014;32:2328–34.
van der Bol JM, Mathijssen RHJ, Creemers G-JM, Planting AST, Loos WJ, Wiemer EAC, et al. A CYP3A4 phenotype-based dosing algorithm for individualized treatment of irinotecan. Clin Cancer Res. 2010;16:736–42.
Mathijssen RHJ, de Jong FA, van Schaik RHN, Lepper ER, Friberg LE, Rietveld T, et al. Prediction of irinotecan pharmacokinetics by use of cytochrome P450 3A4 phenotyping probes. J Natl Cancer Inst. 2004;96:1585–92.
de Jong FA, Kehrer DFS, Mathijssen RHJ, Creemers G-J, de Bruijn P, van Schaik RHN, et al. Prophylaxis of irinotecan-induced diarrhea with neomycin and potential role for UGT1A1*28 genotype screening: a double-blind, randomized, placebo-controlled study. Oncologist. 2006;11:944–54.
Gordon AS, Fulton RS, Qin X, Mardis ER, Nickerson DA, Scherer S. PGRNseq: a targeted capture sequencing panel for pharmacogenetic research and implementation. Pharmacogenet Genomics. 2016;26:161–8.
Beal SL. Ways to fit a PK model with some data below the quantification limit. J Pharmacokinet Pharmacodyn. 2001;28:481–504.
Monolox. Monolix 2019R1 User guide. http://monolix.lixoft.com/single-page/. Accessed 17 Jul 2020.
Monolix. Population parameter using SAEM algorithm. http://monolix.lixoft.com/tasks/population-parameter-estimation-using-saem/. Accessed 14 Jul 2020.
Robert CP, Casella G. Monte Carlo statistical methods. New York, NY: Springer New York; 2004.
Traynard P, Ayral G, Twarogowska M, Chauvin J. Efficient pharmacokinetic modeling workflow with the monolixsuite: a case study of remifentanil. CPT Pharmacometrics Syst Pharmacol. 2020;9:198–210.
Lee S, Emond MJ, Bamshad MJ, Barnes KC, Rieder MJ, Nickerson DA, et al. Optimal unified approach for rare-variant association testing with application to small-sample case-control whole-exome sequencing studies. Am J Hum Genet. 2012;91:224–37.
Dering C, Hemmelmann C, Pugh E, Ziegler A. Statistical analysis of rare sequence variants: an overview of collapsing methods. Genet Epidemiol. 2011;35:S12–7.
Rsmlx package. R Documentation. https://cran.r-project.org/web/packages/Rsmlx/Rsmlx.pdf. Accessed 23 Oct 2021.
Hothorn T, Hornik K, Zeileis A. Unbiased recursive partitioning: a conditional inference framework. J Comput Graph Stat. 2006;15:651–74.
Mathijssen RH, van Alphen RJ, Verweij J, Loos WJ, Nooter K, Stoter G, et al. Clinical pharmacokinetics and metabolism of irinotecan (CPT-11). Clin Cancer Res. 2001;7:2182–94.
Loos WJ, Verweij J, Gelderblom HJ, de Jonge MJ, Brouwer E, Dallaire BK, et al. Role of erythrocytes and serum proteins in the kinetic profile of total 9-amino-20(S)-camptothecin in humans. Anticancer Drugs. 1999;10:705–10.
Oyaga-Iriarte E, Insausti A, Sayar O, Aldaz A. Population pharmacokinetic model of irinotecan and its metabolites in patients with metastatic colorectal cancer. Eur J Clin Pharmacol. 2019;75:529–42.
Gillis NK, Patel JN, Innocenti F. Clinical implementation of germ line cancer pharmacogenetic variants during the next-generation sequencing era. Clin Pharmacol Ther. 2014;95:269–80.
Gammal RS, Court MH, Haidar CE, Iwuchukwu OF, Gaur AH, Alvarellos M, et al. Clinical Pharmacogenetics Implementation Consortium (CPIC) Guideline for UGT1A1 and Atazanavir Prescribing. Clin Pharmacol Ther 2016;99:363–9.
Machiela MJ, Chanock SJ. LDlink: a web-based application for exploring population-specific haplotype structure and linking correlated alleles of possible functional variants. Bioinformatics. 2015;31:3555–7.
Vítek L. Bilirubin as a signaling molecule. Med Res Rev. 2020;40:1335–51.
Okumura M, Iwakiri T, Takagi A, Hirabara Y, Kawano Y, Arimori K. Hepatocyte growth factor suppresses the anticancer effect of irinotecan by decreasing the level of active metabolite in HepG2 cells. Biochem Pharmacol. 2011;82:1720–30.
Yashiro M, Qiu H, Hasegawa T, Zhang X, Matsuzaki T, Hirakawa K. An EGFR inhibitor enhances the efficacy of SN38, an active metabolite of irinotecan, in SN38-refractory gastric carcinoma cells. Br J Cancer. 2011;105:1522–32.
Mathijssen RHJ, Verweij J, de Jonge MJA, Nooter K, Stoter G, Sparreboom A. Impact of body-size measures on irinotecan clearance: alternative dosing recommendations. J Clin Oncol. 2002;20:81–7.
Iusuf D, Ludwig M, Elbatsh A, van Esch A, van de Steeg E, Wagenaar E, et al. OATP1A/1B transporters affect irinotecan and SN-38 pharmacokinetics and carboxylesterase expression in knockout and humanized transgenic mice. Mol Cancer Ther. 2014;13:492–503.
Ramsey LB, Bruun GH, Yang W, Treviño LR, Vattathil S, Scheet P, et al. Rare versus common variants in pharmacogenetics: SLCO1B1 variation and methotrexate disposition. Genome Res. 2012;22:1–8.
Crona DJ, Ramirez J, Qiao W, de Graan A-J, Ratain MJ, van Schaik RHN, et al. Clinical validity of new genetic biomarkers of irinotecan neutropenia: an independent replication study. Pharmacogenomics J. 2016;16:54–9.
Tsuboya A, Kubota Y, Ishida H, Ohkuma R, Ishiguro T, Hirasawa Y, et al. Minimal contribution of the hepatic uptake transporter OATP1B1 to the inter-individual variability in SN-38 pharmacokinetics in cancer patients without severe renal failure. Cancer Chemother Pharmacol. 2021;88:543–53.
Saltz LB, Kanowitz J, Kemeny NE, Schaaf L, Spriggs D, Staton BA, et al. Phase I clinical and pharmacokinetic study of irinotecan, fluorouracil, and leucovorin in patients with advanced solid tumors. J Clin Oncol. 1996;14:2959–67.
Genentech, Inc. Avastin® (bevacizumab) prescribing information. https://www.accessdata.fda.gov/drugsatfda_docs/label/2009/125085s0169lbl.pdf. Accessed 23 Oct 2021.
van der Bol JM, Mathijssen RHJ, Loos WJ, Friberg LE, van Schaik RHN, de Jonge MJA, et al. Cigarette smoking and irinotecan treatment: pharmacokinetic interaction and effects on neutropenia. J Clin Oncol. 2007;25:2719–26.
Mathijssen RHJ. Effects of St. John’s Wort on irinotecan metabolism. Cancer Spectrum Knowl Environ. 2002;94:1247–9.
Acknowledgements
The authors would like to thank Lixoft for the expert advice on Monolix and the Information Technology Services Research Computing group at the University of North Carolina at Chapel Hill for their technical support.
Funding
This work was supported by discretionary funding from FI and the Division of Pharmacology and Experimental Therapeutics of the UNC Eshelman School of Pharmacy (to FI).
Author information
Authors and Affiliations
Contributions
FI, RRB, and SK developed conception and design. FI, DAN, RHJM, GT, EC, NJC, and ASE collected and assembled the data. SK, RRB, AF, and FI developed methodology. SK, RRB, FI, AF, KLM, and ASE performed data analysis and interpretation. SK, FI, and RRB conducted manuscript writing. All authors discussed the results and contributed to the final manuscript. All authors read and approved the final manuscript.
Corresponding author
Ethics declarations
Competing interests
RRB has received funding from the US Department of Defense. The remaining authors state no conflict of interest.
Ethics approval and consent to participate
All patients provided written informed consent to this study, and all trials were approved by the local institutional review boards (IRB). This study was conducted according to the guidelines provided by the Declaration of Helsinki.
Consent to publish
All patients provided written informed consent for their data to be used for publication.
Additional information
Publisher’s note Springer Nature remains neutral with regard to jurisdictional claims in published maps and institutional affiliations.
Supplementary information
Rights and permissions
About this article
Cite this article
Karas, S., Etheridge, A.S., Nickerson, D.A. et al. Integration of DNA sequencing with population pharmacokinetics to improve the prediction of irinotecan exposure in cancer patients. Br J Cancer 126, 640–651 (2022). https://doi.org/10.1038/s41416-021-01589-2
Received:
Revised:
Accepted:
Published:
Version of record:
Issue date:
DOI: https://doi.org/10.1038/s41416-021-01589-2
This article is cited by
-
Association between SLCO1B1 genetic polymorphisms and bleeding risk in patients treated with edoxaban
Scientific Reports (2023)


