Abstract
Background
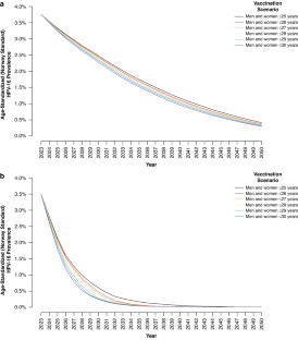
Experts have proposed an ‘EVEN FASTER’ concept targeting age-groups maintaining circulation of human papillomavirus (HPV). We explored effects of the vaccination component of these proposals compared with cervical cancer (CC) screening-based interventions on age-standardized incidence rate (ASR) and CC elimination (<4 cases/100,000) timing in Norway.
Methods
We used a model-based approach to evaluate HPV vaccination and CC screening scenarios compared with a status-quo scenario reflecting previous vaccination and screening. For cohorts ages 25–30 years, we examined 6 vaccination scenarios that incrementally increased vaccination coverage from current cohort-specific rates. Each vaccination scenario was coupled with three screening strategies that varied screening frequency. Additionally, we included 4 scenarios that alternatively increased screening adherence. Population- and cohort-level outcomes included ASR, lifetime risk of CC, and colposcopy referrals.
Results
Several vaccination strategies coupled with de-intensified screening frequencies lowered ASR, but did not accelerate CC elimination. Alternative strategies that increased screening adherence could both accelerate elimination and improve ASR.
Conclusions
The vaccination component of an ‘EVEN FASTER’ campaign is unlikely to accelerate CC elimination in Norway but may reduce population-level ASR. Alternatively, targeting under- and never-screeners may both eliminate CC faster and lead to greater health benefits compared with vaccination-based interventions we considered.
This is a preview of subscription content, access via your institution
Access options
Subscribe to this journal
Receive 24 print issues and online access
$259.00 per year
only $10.79 per issue
Buy this article
- Purchase on SpringerLink
- Instant access to the full article PDF.
USD 39.95
Prices may be subject to local taxes which are calculated during checkout



Similar content being viewed by others
Data availability
The datasets generated during and/or analyzed during the current study are available from the corresponding author on reasonable request.
References
World Health Organization. Accelerating cervical cancer elimination. Report by the Director-General. Nov 30, 2018. [Online] Accessed 25 May 2020. Available at: http://apps.who.int/gb/ebwha/pdf_files/EB144/B144_28-en.pdf.
Bosch FX, Robles C, Díaz M, Arbyn M, Baussano I, Clavel C, et al. HPV-FASTER: broadening the scope for prevention of HPV-related cancer. Nat Rev Clin Oncol. 2016;13:119–32.
Dillner J, Elfström M, Baussano I The EVEN FASTER concept for cervical cancer elimination. www.HPVWorld.com, 182. [Online] Accessed 2 May 2022. Available at: https://www.hpvworld.com/articles/the-even-faster-concept-for-cervical-cancer-elimination/. (2021).
Lehtinen M, Bruni L, Elfström M, Gray P, Logel M, Mariz FC, et al. Scientific approaches toward improving cervical cancer elimination strategies. Int J Cancer. 2024;154:1537–48.
Dillner J, Elfström KM, Baussano I. Prospects for accelerated elimination of cervical cancer. Prev Med. 2021;153:106827.
Portnoy A, Pedersen K, Trogstad L, Hansen BT, Feiring B, Laake I, et al. Impact and cost-effectiveness of strategies to accelerate cervical cancer elimination: a model-based analysis. Prevent Med. 2021;144:106276.
Burger EA, Smith MA, Killen J, Sy S, Simms KT, Canfell K, et al. Projected time to elimination of cervical cancer in the USA: a comparative modelling study. Lancet Public Health. 2020;5:e213–22.
Hall MT, Simms KT, Lew JB, Smith MA, Brotherton JM, Saville M, et al. The projected timeframe until cervical cancer elimination in Australia: a modelling study. Lancet Public Health. 2019;4:e19–27.
Burger EA, de Kok I, Groene E, Killen J, Canfell K, Kulasingam S, et al. Estimating the natural history of cervical carcinogenesis using simulation models: a CISNET comparative analysis. J Natl Cancer Inst. 2020;112:955–63.
Burger EA, Sy S, Nygård M, Kristiansen IS, Kim JJ. Too late to vaccinate? The incremental benefits and cost-effectiveness of a delayed catch-up program using the 4-valent human papillomavirus vaccine in Norway. J Infect Dis. 2015;211:206–15.
Burger EA, Kim JJ, Sy S, Castle PE. Age of acquiring causal Human Papillomavirus (HPV) infections: leveraging simulation models to explore the natural history of HPV-induced cervical cancer. Clin Infect Dis. 2017;65:893–9.
Lozar T, Nagvekar R, Rohrer C, Dube Mandishora RS, Ivanus U, Fitzpatrick MB. Cervical cancer screening postpandemic: self-sampling opportunities to accelerate the elimination of cervical cancer. Int J Women’s Health. 2021;13:841–59.
Pedersen K, Burger EA, Nygård M, Kristiansen IS, Kim JJ. Adapting cervical cancer screening for women vaccinated against human papillomavirus infections: the value of stratifying guidelines. Eur J Cancer. 2018;91:68–75.
Portnoy A, Pedersen K, Nygård M, Trogstad L, Kim JJ, Burger EA. Identifying a single optimal integrated cervical cancer prevention policy in Norway: a cost-effectiveness analysis. Med Decis Mak. 2022;42:795–807.
van Schalkwyk C, Moodley J, Welte A, Johnson LF. Estimated impact of human papillomavirus vaccines on infection burden: the effect of structural assumptions. Vaccine. 2019;37:5460–5.
O’Mahony JF, van Rosmalen J, Zauber AG, van Ballegooijen M. Multicohort models in cost-effectiveness analysis: why aggregating estimates over multiple cohorts can hide useful information. Med Decis Mak. 2013;33:407–14.
Nygård M, Nygård S, Falkenthal T. Faster elimination of HPV and cervical cancer in Norway - the time window is open in 2023 and 2024. Cancer Registry of Norway. White Paper. 2023. [Online] Available at: https://www.kreftregisteret.no/globalassets/publikasjoner-og-rapporter/andre-publikasjoner/white-paper_raskere-eliminering-av-hpv-og-livmorhalskreft.pdf.
Garland SM, Stanley MA, Giuliano AR, Moscicki AB, Kaufmann A, Bhatla N, et al. IPVS statement on “Temporary HPV vaccine shortage: Implications globally to achieve equity. Papillomavirus Res. 2020;9:100195.
Portnoy A, Nygård M, Trogstad L, Kim JJ, Burger EA. Impact of delaying effective and cost-effective policy decisions: an example from cervical cancer prevention in Norway. MDM Policy Pract. 2022;7:23814683211071093.
FUTURE II Study Group. Quadrivalent vaccine against human papillomavirus to prevent high-grade cervical lesions. N. Engl J Med. 2007;356:1915–27.
Paavonen J, Naud P, Salmerón J, Wheeler CM, Chow SN, Apter D, et al. Efficacy of human papillomavirus (HPV)-16/18 AS04-adjuvanted vaccine against cervical infection and precancer caused by oncogenic HPV types (PATRICIA): final analysis of a double-blind, randomised study in young women. Lancet. 2009;374:301–14.
Naud PS, Roteli-Martins CM, De Carvalho NS, Teixeira JC, de Borba PC, Sanchez N, et al. Sustained efficacy, immunogenicity, and safety of the HPV-16/18 AS04-adjuvanted vaccine: final analysis of a long-term follow-up study up to 9.4 years post-vaccination. Hum Vaccin Immunother. 2014;10:2147–62.
Kavanagh K, Pollock KG, Potts A, Love J, Cuschieri K, Cubie H, et al. Introduction and sustained high coverage of the HPV bivalent vaccine leads to a reduction in prevalence of HPV 16/18 and closely related HPV types. Br J Cancer. 2014;110:2804–11.
Cancer Registry of Norway. Cervical Cancer Screening Programme. [Online] Last updated: 22 February 2023. Accessed: 28 June 2023. Available at: https://www.kreftregisteret.no/en/screening/cervix/org/.
Pedersen K, Burger EA, Campbell S, Nygård M, Aas E, Lönnberg S. Advancing the evaluation of cervical cancer screening: development and application of a longitudinal adherence metric. Eur J Public Health. 2017;27:1089–94.
Andreassen T, Hansen BT, Engesaeter B, Hashim D, Støer NC, Tropé A, et al. Psychological effect of cervical cancer screening when changing primary screening method from cytology to high-risk human papilloma virus testing. Int J Cancer. 2019;145:29–39.
Baussano I, Lazzarato F, Ronco G, Lehtinen M, Dillner J, Franceschi S. Different challenges in eliminating HPV16 compared to other types: a modeling study. J Infect Dis. 2017;216:336–44.
Cancer Registry of Norway. Cancer in Norway 2019 - Cancer incidence, mortality, survival and prevalence in Norway. Oslo: Cancer Registry of Norway, 2020. [Online] Available at: https://www.kreftregisteret.no/globalassets/cancer-in-norway/2019/cin_report.pdf.
United Nations Population Division. World Population Prospects: The 2019 Revision. [Online] Accessed 30 April 2020. Available at: https://esa.un.org/unpd/wpp/. (2019).
Brisson M, Kim JJ, Canfell K, Drolet M, Gingras G, Burger EA, et al. Impact of HPV vaccination and cervical screening on cervical cancer elimination: a comparative modelling analysis in 78 low-income and lower-middle-income countries. Lancet. 2020;395:575–90.
Canfell K, Kim JJ, Brisson M, Keane A, Simms KT, Caruana M, et al. Mortality impact of achieving WHO cervical cancer elimination targets: a comparative modelling analysis in 78 low-income and lower-middle-income countries. Lancet. 2020;395:591–603.
Castellsagué X, Muñoz N, Pitisuttithum P, Ferris D, Monsonego J, Ault K, et al. End-of-study safety, immunogenicity, and efficacy of quadrivalent HPV (types 6, 11, 16, 18) recombinant vaccine in adult women 24-45 years of age. Br J Cancer. 2011;105:28–37.
Szarewski A, Poppe WA, Skinner SR, Wheeler CM, Paavonen J, Naud P, et al. Efficacy of the human papillomavirus (HPV)-16/18 AS04-adjuvanted vaccine in women aged 15-25 years with and without serological evidence of previous exposure to HPV-16/18. Int J Cancer. 2012;131:106–16.
Osei EA. Innovations in healthcare delivery: human papilloma virus self sampling diagnostics and participatory innovations for CCS. Cancer Med. 2023;12:15544–51.
Daponte N, Valasoulis G, Michail G, Magaliou I, Daponte AI, Garas A, et al. HPV-based self-sampling in cervical cancer screening: an updated review of the current evidence in the literature. Cancers. 2023;15:1669.
Burger EA, Sy S, Nygård M, Kim JJ. The cost-effectiveness of cervical self-sampling to improve routine cervical cancer screening: the importance of respondent screening history and compliance. Cancer Epidemiol Biomark Prev. 2017;26:95–103.
Knauss T, Hansen BT, Pedersen K, Aasbø G, Kunst N, Burger EA. The cost-effectiveness of opt-in and send-to-all HPV self-sampling among long-term non-attenders to cervical cancer screening in Norway: the Equalscreen randomized controlled trial. Gynecol Oncol. 2023;168:39–47.
Saraiya M, Unger ER, Thompson TD, Lynch CF, Hernandez BY, Lyu CW, et al. US assessment of HPV types in cancers: implications for current and 9-valent HPV vaccines. J Natl Cancer Inst. 2015;107:djv086.
Acknowledgements
The authors thank Bo T. Hansen, Berit Feiring, Ida Laake, Mari Nygård, Lill Trogstad, Megan A. Smith, and Stephen Sy for their collaboration and support on the previous analysis that this work builds on.
Funding
This study was funded by the Norwegian Cancer Society [grant number 198073; PI: EAB]. The views expressed in this Article are those of the authors and do not necessarily represent the views of the Norwegian Cancer Society.
Author information
Authors and Affiliations
Contributions
AP and EAB conceptualized the study, conducted the data analysis, and drafted the initial manuscript. KP and JJK critically reviewed the analysis and manuscript. All authors approved the final version of the manuscript.
Corresponding author
Ethics declarations
Competing interests
The authors declare no competing interests.
Consent for publication
Not applicable.
Additional information
Publisher’s note Springer Nature remains neutral with regard to jurisdictional claims in published maps and institutional affiliations.
Supplementary information
41416_2024_2682_MOESM1_ESM.docx
Supplementary Material for "Vaccination and screening strategies to accelerate cervical cancer elimination in Norway: A model-based analysis"
Rights and permissions
Springer Nature or its licensor (e.g. a society or other partner) holds exclusive rights to this article under a publishing agreement with the author(s) or other rightsholder(s); author self-archiving of the accepted manuscript version of this article is solely governed by the terms of such publishing agreement and applicable law.
About this article
Cite this article
Portnoy, A., Pedersen, K., Kim, J.J. et al. Vaccination and screening strategies to accelerate cervical cancer elimination in Norway: a model-based analysis. Br J Cancer 130, 1951–1959 (2024). https://doi.org/10.1038/s41416-024-02682-y
Received:
Revised:
Accepted:
Published:
Version of record:
Issue date:
DOI: https://doi.org/10.1038/s41416-024-02682-y


