Abstract
Background
Studies examining the association of chronic kidney disease (CKD) with cancer risk have demonstrated conflicting results.
Methods
This was an individual participant data meta-analysis including 54 international cohorts contributing to the CKD Prognosis Consortium. Included cohorts had data on albuminuria [urine albumin-to-creatinine ratio (ACR)], estimated glomerular filtration rate (eGFR), overall and site-specific cancer incidence, and established risk factors for cancer. Included participants were aged 18 years or older, without previous cancer or kidney failure.
Results
Among 1,319,308 individuals, the incidence rate of overall cancer was 17.3 per 1000 person-years. Higher ACR was positively associated with cancer risk [adjusted hazard ratio 1.08 (95% CI 1.06–1.10) per 8-fold increase in ACR]. No association of eGFR with overall cancer risk was seen. For site-specific cancers, lower eGFR was associated with urological cancer and multiple myeloma, whereas higher ACR was associated with many cancer types (kidney, head/neck, colorectal, liver, pancreas, bile duct, stomach, larynx, lung, hemolymphatic, leukaemia, and multiple myeloma). Results were similar in a 1-year landmark analysis.
Discussion
Albuminuria, but not necessarily eGFR, was independently associated with the subsequent risk of cancer. Our results warrant an investigation into mechanisms that explain the link between albuminuria and cancer.
Similar content being viewed by others
Introduction
Among people with chronic kidney disease (CKD), cancer has been shown to be one of the leading causes of death [1, 2]. Across global populations, survival after a diagnosis of cancer has consistently been shown to be lower among people with CKD [2,3,4,5,6,7,8,9,10,11,12,13,14,15,16,17,18,19]. However, it is not clear whether non-dialysis CKD is associated with an increased cancer incidence: a finding that may warrant exploration into tailored screening and diagnostic pathways for cancer among people with CKD.
Data on the two most commonly measured kidney measures, estimated glomerular filtration rate (eGFR; a marker of kidney filtration) and albuminuria (as a marker of glomerular damage), often demonstrate different results for each component. Many studies show associations between eGFR and cancer types where reverse causality might exist, such as kidney and urothelial cancer [2,3,4, 6, 8, 14, 17, 19], but a null association of low eGFR with overall cancer risk [5, 12, 13, 15, 16]. In contrast, most studies investigating albuminuria showed a modest association of albuminuria with cancer risk, independent of eGFR and diabetes [5,6,7, 9, 10, 16, 18]. Particularly, albuminuria has been consistently associated with lung cancer, in addition to kidney-related cancer [5, 6, 9, 10, 16]. Most previous studies included only one of eGFR or albuminuria [2,3,4, 8, 11, 14, 15], and few have evaluated the association with eGFR based on creatinine and cystatin C.
Therefore, we quantified the independent associations of albuminuria and eGFR with the incidence of overall cancer, and among selected site-specific cancers, using data from eligible cohorts in the Chronic Kidney Disease Prognosis Consortium (CKD-PC).
Methods
Study design and data source
The CKD-PC is an international consortium established to provide evidence that can improve the prevention and management of CKD. It currently consists of more than 110 prospective cohorts, including >30 million participants from over 40 countries with data for eGFR, albuminuria, phenotypes, and clinical outcomes. The current study included the 54 cohorts that had data on serum creatinine, albuminuria, incident cancer risk, and established risk factors for cancer (i.e., body mass index [BMI] and smoking). Within these cohorts, the study population was restricted to participants aged 18 years or older without a history of cancer or end-stage kidney disease requiring maintenance kidney replacement therapy. This study was approved for use of de-identified or limited data by the institutional review board at New York University.
Kidney measures
Albuminuria was estimated using the urine albumin-to-creatinine ratio (ACR) or the urine protein creatinine ratio (PCR), available in 50 cohorts. Both spot and 24-hour collections were accepted, and the protein-to-creatinine values were converted to the urine ACR using a previously published conversion equation [20]. We also used semi-quantitative dipstick proteinuria as a secondary albuminuria measure, available in 37 cohorts. In research cohorts, ACR and eGFR were assessed at the same time point. In real-world cohorts, we set the baseline as the first eGFR measurement after one year in the health system and ACR, PCR, and dipstick were the nearest values prior to baseline and within 3 years.
For the estimation of kidney function, we assessed the association between eGFR and cancer using two equations and biomarkers. Creatinine is the most used biomarker of kidney function in clinical practice. Cystatin C is less commonly available, but in combination with creatinine, improves the accuracy of kidney function estimation compared to creatinine alone [21]. Therefore, in the primary analysis, we used eGFR using the Chronic Kidney Disease Epidemiology Collaboration (CKD-EPI) creatinine-based equation (eGFRcr) [22]. As a secondary analysis, we analysed eGFR using the CKD-EPI cystatin C and creatinine equation (eGFRcr-cys) in the 8 cohorts with available cystatin C.
Outcomes
The outcomes of interest were overall and site-specific cancer incidence. Some cohorts performed expert adjudication for cancer, some were linked to the cancer registry, and some identified outcomes based on coding alone using the International Classification of Diseases codes (Appendix 1). Cohorts with fewer than 50 events for cancer outcomes were excluded from the meta-analysis.
Covariates
History of cardiovascular disease (CVD) was defined as previous myocardial infarction, bypass grafting, percutaneous coronary intervention, heart failure, or stroke. Hypertension was defined as systolic blood pressure/diastolic blood pressure ≥140/≥90 mmHg or use of antihypertensive medication. Diabetes was defined as fasting/non-fasting glucose ≥7.0/≥11.1 mmol/L, use of glucose-lowering drugs, or self-reported physician diagnosis of diabetes. Smoking status was categorized as current, former or never smoking. Total cholesterol and body mass index (BMI) were defined as the nearest outpatient values to baseline and within 3 years.
Statistical analysis
Three study populations were used. For the primary analysis, only participants with ACR or converted protein-creatinine values were included (“ACR population”; 50 cohorts; N = 1,319,308). For the secondary analysis, we included participants with dipstick values (“dipstick population”; 37 cohorts; 3,532,279; participants with both ACR or PCR and dipstick measures available were included in both the ACR population and dipstick populations). In the third analysis, we included participants with measures of creatinine, cystatin, and ACR or converted protein-creatinine values (“eGFRcr-cys population”; 8 cohorts; N = 453,628). Baseline characteristics were summarized within cohorts and then overall.
In sensitivity analyses within the Optum Labs Data Warehouse (OLDW), a longitudinal, real-world data asset with de-identified administrative claims and electronic health record (EHR) data, we observed only modest attenuation of associations of ACR and eGFR with cancer risk between unadjusted, age-sex adjusted, and fully-adjusted models. Therefore, in the ACR population (50 participating cohorts), we first quantified the association of albuminuria and eGFRcr with overall cancer risk after adjusting for each other and potential confounders (age, sex, BMI, hypertension, diabetes, total cholesterol, use of aspirin or glucocorticoids/other immunosuppressant, history of CVD, and smoking status [never vs. former vs. current]) using Cox proportional hazards models censored at death or last encounter. In the categorical analyses, individuals were classified by ACR (<10, 10–29, 30–299, and ≥300 mg/g) and eGFRcr (<15, 15–29, 30–44, 45–59, 60–89, 90–104, and ≥105 mL/min/1.73m2) categories. For continuous analyses, we modelled eGFRcr and log-transformed ACR using linear splines with knots at ACR 10, 30, and 300 mg/g and eGFRcr 30, 45, 60, 75, 90, and 105 mL/min/1.73m2. We also quantified the risk of overall cancer by cross-categories of ACR and eGFRcr.
We conducted several sensitivity analyses. First, models were run by stratum for demographic and clinical subgroups: age (<65 years versus ≥65 years), sex (female vs. male), smoking status (never vs. former vs. current), BMI category (<25 vs. 25–29 vs. 30+ kg/m2), diabetes, hypertension, aspirin use, history of CVD and eGFRcr (<60 vs. 60+ mL/min/1.73m2). For this analysis, we modelled kidney measures as continuous (per 8-fold increment in ACR and per 15 mL/min/1.73m2 decrement in eGFRcr with a knot at 60 mL/min/1.73m2). Second, using the dipstick population, we estimated the associations with cancer for dipstick proteinuria levels (negative, trace, and positive [1+, 2+, and 3+]) using the same covariates as described and modelling eGFRcr as in the categorical analyses. Third, we included 8 cohorts with the data on eGFRcr-cys and quantified the association of eGFRcr-cys with cancer risk. Fourth, we repeated analyses starting follow-up 1 year after baseline (i.e., one year of lag time) to reduce the possibility of reverse causation. Fifth, we adjusted for multiple testing for site-specific cancers using the Bonferroni correction. Sixth, we repeated the primary analysis according to the primary population type in the contributing cohort: high CKD, high CVD, research, and EHR cohorts.
Statistics were first obtained within each cohort and then pooled by an inverse-variance weighted random-effects model. All analyses were conducted using Stata MP version 18 (StataCorp). Statistical significance was determined by a 2-sided P < 0.05.
Results
Study population characteristics
There were 50 cohorts, including 1,319,308 individuals, with data available for eGFRcr and ACR or protein-to-creatinine ratio and included in the analyses (Table 1 and Table S1). Among these individuals, the mean age was 57 years, 47% were female, the mean BMI was 30 kg/m2, 44% had diabetes (reflecting cohorts selected for ACR assessment), the median ACR was 11 mg/g, and the mean eGFRcr was 88 mL/min/1.73 m2. There were 37 cohorts with dipstick proteinuria including 3,532,279 individuals, and the mean age was 47 years, 60% were female, the mean BMI was 29 kg/m2, 9% had diabetes, 81.3% had negative dipstick protein, 9.2% had trace, 6.1% 1+, 2.5% 2+, and 0.9% 3+, and the mean eGFRcr was 94 mL/min/1.73 m2 (Table 1 and Table S2). There were 8 cohorts with cystatin C available, including 453,628 individuals, and the mean age was 57 years, 53% were female, the mean BMI was 28 kg/m2, 6% had diabetes, the median ACR was 6 mg/g, and mean eGFRcr-cys was 94 mL/min/1.73 m2 (Table 1 and Table S3).
The incidence rate of overall cancer was 17 events per 1000 person-years (15 and 19 events per 1000 person-years for females and males, respectively) (Table 2). The incidence rates per 1000 person-years of site-specific cancer were lowest at 0.05 for gallbladder cancer and highest at 4.9 and 4.2 for sex-specific cancers, prostate cancer, and breast cancer, respectively.
Overall cancer risk according to albuminuria and eGFR
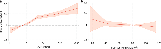
In the categorical analysis of ACR, compared with the reference category of <10 mg/g, the higher categories were each associated with a higher risk of overall cancer (adjusted hazard ratio (HR), 1.10 [95% CI 1.07–1.12], 1.16 [1.12–1.20] and 1.26 [1.22–1.30] in 10–29 mg/g, 30–299 mg/g and ≥300 mg/g, respectively) (Table 3). In contrast, lower eGFRcr was not associated with the risk of overall cancer. The continuous analyses showed a robust dose-response relationship between ACR and cancer risk (Fig. 1). eGFRcr <45 mL/min/1.73 m2 appeared to reflect an increased risk of cancer compared to eGFR at 80 mL/min/1.73 m2, but confidence intervals crossed the null. The patterns of risk associations were generally similar across demographic and clinical subgroups (Fig. S1). Between cohort types, results were largely consistent for ACR but showed more variation for eGFRcr (Fig. S2).
a Hazard ratios for overall cancer and ACR were adjusted for age, sex, body mass index, hypertension, diabetes, total cholesterol, use of aspirin or glucocorticoids, history of cardiovascular disease, current and former smoking, and eGFR. b Hazard ratios for overall cancer and eGFR were adjusted for age, sex, body mass index, hypertension, diabetes, total cholesterol, use of aspirin or glucocorticoids, history of cardiovascular disease, current and former smoking, and ACR.
Higher dipstick proteinuria was associated with overall cancer risk in a dose-dependent manner. Even trace proteinuria demonstrated a significant increase in cancer risk (adjusted HR 1.11 [95% CI 1.07–1.15]) (Table S4). Similar to the results with eGFRcr, there was no significant association between eGFRcr-cys and overall cancer (Fig. S3). Associations for ACR and eGFRcr were consistent when beginning follow-up after 1 year from baseline (Fig. S4).
Site-specific cancer risk according to albuminuria and eGFR
Higher ACR demonstrated significant associations with kidney, head and neck, colorectal, liver, pancreas, bile duct, larynx, lung, leukaemia, melanoma, ureter, urological, and hemolymphatic cancers, and multiple myeloma (Fig. 2a). Statistical significance was retained for all but bile duct, colon, melanoma, and ureter cancer after correction for multiple testing. In the dipstick proteinuria analysis, we observed similar associations (Fig. S5). Lower eGFRcr (per 15 mL/min/1.73m2 decrease) was associated with a higher risk of kidney cancer, urological cancer and multiple myeloma (Fig. 2). The results were generally consistent when beginning follow-up after 1 year from baseline (Fig. S4).
a Hazard ratios per 8-fold increase in ACR adjusted for age, sex, body mass index, hypertension, diabetes, total cholesterol, use of aspirin or glucocorticoids, history of cardiovascular disease, current and former smoking, and eGFR. b Hazard ratio per 15 ml/min/1.73 m2 decrease in eGFR creatinine in eGFR<60 ml/min/1.73 m2 adjusted for age, sex, body mass index, hypertension, diabetes, total cholesterol, use of aspirin or glucocorticoids, history of cardiovascular disease, current and former smoking, and ACR.
Discussion
This international collaborative meta-analysis in >1.3 million individuals without cancer at baseline showed that higher ACR was independently associated with the risk of overall cancer, whereas the association was not evident with lower eGFR (neither eGFRcr nor eGFRcr-cys). We observed an increased risk even within the normal to mildly increased ACR (i.e., <30 mg/g), regardless of eGFR levels. The associations were largely consistent across demographic and clinical subgroups and when dipstick proteinuria was used as a measure of albuminuria. For site-specific cancers, lower eGFRcr showed a significant association with urological cancer and multiple myeloma, whereas higher ACR was related to broader types of cancer (e.g., head/neck, colorectal, liver, pancreas, bile duct, stomach, larynx, lung, hemolymphatic, leukaemia), in addition to kidney-related cancers.
Our study has some unique aspects, including a large sample size enabled through meta-analysis of individual-level data from international cohorts, simultaneous evaluation of different kidney measures, and assessment of the association with overall as well as site-specific cancers with detailed subgroup analyses. The incidence rate of overall cancer was around four times higher than in the general U.S. population (17.3 versus 4.4 per 1000 person-years) [23], likely reflecting selection of higher-risk populations with measurements of albuminuria. Despite these advantages, the association of cancer risk with eGFRcr was generally null, which is in line with several previous studies [5, 16]. Moreover, we found that even eGFRcr-cys, a more accurate estimate of GFR, was not associated with cancer risk. These results align well with a recent Mendelian Randomization study, which showed that genetically predicted eGFR was not associated with cancer risk [24]. Taken together, the aetiological contributions of reduced kidney function to overall cancer risk are likely limited.
In contrast, our study showed a strong association of higher ACR with cancer risk, which is in line with several previous epidemiological studies [5,6,7, 9, 10, 16, 18]. Though the mechanisms of association are uncertain, there are various potential explanations. First, individuals with albuminuria may serve as an indicator of increased susceptibility to cancer development. Beyond use as a marker of kidney damage, albuminuria has been implicated as both a cause and consequence of endothelial dysfunction and inflammation [25], and is seen more commonly among people with cardiometabolic disease, including diabetes, hypertension, and obesity. Further shared mechanisms exist that may exacerbate this relationship. For example, lifestyle factors, including a diet high in ultra-processed foods and reduced physical activity, are important risk factors that contribute to the development of metabolic diseases that can mutually exacerbate CKD progression and cancer risk [26]. Patients with CKD tend to have immunodeficiency [27], which can increase the risk of developing cancer [28]. The use of specific medications in the treatment of glomerular diseases (e.g., cyclophosphamide) can increase the risk of cancer, particularly bladder cancer [29]. Thus, albuminuria may serve as a marker of general ill health, with risk factors for and propensity to malignancy. Second, it is plausible that there are causal pathways between kidney dysfunction, including albuminuria, and cancer incidence. In one example, the kidney dysfunction and damage that predates kidney-related cancer incidence have been shown to be involved in cancer development pathways. Kidney damage and repair mechanisms that occur during acute kidney injury and CKD have been shown to trigger DNA damage and clonal proliferation of mutated cells, which was observed to drive tumorigenesis [30, 31]. Using Mendelian randomization studies, causal relationships have been demonstrated between albuminuria and cardiovascular disease (with a feed-forward mechanism mediated by blood pressure) [32] and mental disorders (through an yet unknown mechanism) [33]. Although a recent Mendelian Randomization study did not find an association between genetically-predicted albuminuria and cancer incidence, the genetic instrument explained small variation in ACR, and thus its adequacy in this context was uncertain [24]. Though further research is required to establish whether albuminuria is on the causal pathway, our robust dose-response results support the value of investigating the mechanisms behind the susceptibility of individuals with albuminuria to cancer development across a broad range of site-specific cancers.
When focusing on site-specific cancers, both kidney measures were consistently associated with the risk of urological cancer, and are in keeping with findings from previous studies [2,3,4,5,6, 8, 9, 14, 19]. In addition, our study showed a strong association of both eGFRcr and ACR with multiple myeloma, which is consistent with previous studies [5, 6]. The association seen between multiple myeloma, where immunoglobulin light chain in urine may worsen kidney function, suggests the possibility of reverse causality. However, when we began follow-up after 1 year from baseline, the association with baseline eGFR and multiple myeloma incidence remained significant.
Of note, lung cancer has consistently shown a robust association with albuminuria in studies, including ours [5, 6, 9, 10, 16]. The mechanisms regarding the relationship between albuminuria and lung cancer are not fully understood, and it is unclear what relevance albuminuria may have alongside other important risk markers for lung cancer, including smoking. For example, the incidence rate of lung cancer was around 3 times higher in the National Lung Screening Trial (a population of current or former heavy smokers ages 55 to 74) than in our ACR population [34]. However, there are multiple shared mechanisms that likely contribute. Inflammation plays a role in the development of cancer [35]. Vascular endothelial growth factor mediates angiogenesis, leads to albuminuria [36] and is overexpressed in patients with lung cancer [37]. Air pollutants and other toxic chemicals can cause both kidney disease and various cancers, including lung cancer [38]. Since our study is not designed to address mechanisms, further investigations are warranted to explore potential mechanisms behind the albuminuria-lung cancer relationship and whether albuminuria has any utility as a risk marker of cancer in selected populations.
Our study has clinical implications. Our findings suggest that CKD measures, particularly albuminuria, may be useful in identifying individuals at risk of cancer. Also, the robust association of albuminuria with lung cancer suggests exploration into whether the presence of albuminuria should indicate additional high-risk features that identify individuals at high risk of varied site-specific cancers. Since albuminuria assessment is recommended in several clinical conditions (e.g., diabetes, hypertension, and reduced eGFR) [39, 40], this measure is readily available in various clinical scenarios. However, additional studies would need to assess the effectiveness and cost-effectiveness of the use of albuminuria as a qualification metric for cancer screening, including the potential for unintended harm. In the meantime, healthcare providers should maintain a high index of suspicion in persons with albuminuria when presenting with symptoms or signs of cancer.
Although our study is the most comprehensive study to investigate the prospective association of CKD with cancer risk, we should acknowledge some important limitations. First, we describe associations between albuminuria, eGFR, and cancer incidence, but there remains substantial potential for measured and unmeasured confounding, as is true in all observational studies. Second, we do not have adequately granular data to present an analysis of the relationship between eGFR and albuminuria by cause of kidney disease. This may be of relevance where albuminuria and cancer are more likely to co-exist, such as in individuals with glomerulonephritis who are receiving immunosuppressive therapy. Third, the methods used to evaluate creatinine, albuminuria, and other covariates varied across cohorts despite our efforts to standardize definitions. However, this variation is unlikely to cause bias favouring kidney disease measures. Similarly, the ascertainment of cancer diagnoses was not necessarily consistent across cohort studies. Fourth, we do not have access to data concerning the genetic predisposition to cancer for individuals included in this study.
In conclusion, our results showed that albuminuria, but not necessarily eGFR (neither eGFRcr nor eGFRcr-cys), was robustly associated with the risk of overall cancer. Also, albuminuria was associated with a broad set of site-specific cancers, including a robust association with lung cancer. Our results warrant consideration of the mechanisms that explain the link between albuminuria and cancer risk across a broad range of site-specific cancers and the possible utility of albuminuria as a biomarker of future cancer risk.
Data availability
Under agreement with the participating cohorts, CKD-PC cannot share individual data with third parties. Inquiries regarding specific analyses should be made to ckdpc@nyulangone.org. Investigators may approach the original cohorts regarding their own policies for data sharing (e.g., https://aric.cscc.unc.edu/aric9/researchers/Obtain_Submit_Data for the Atherosclerosis Risk in Communities Study).
References
Thompson S, James M, Wiebe N, Hemmelgarn B, Manns B, Klarenbach S, et al. Cause of death in patients with reduced kidney function. J Am Soc Nephrol. 2015;26:2504–11.
Weng PH, Hung KY, Huang HL, Chen JH, Sung PK, Huang KC. Cancer-specific mortality in chronic kidney disease: longitudinal follow-up of a large cohort. Clin J Am Soc Nephrol. 2011;6:1121–8.
Wong G, Hayen A, Chapman JR, Webster AC, Wang JJ, Mitchell P, et al. Association of CKD and cancer risk in older people. J Am Soc Nephrol. 2009;20:1341–50.
Iff S, Craig JC, Turner R, Chapman JR, Wang JJ, Mitchell P, et al. Reduced estimated GFR and cancer mortality. Am J Kidney Dis. 2014;63:23–30.
Mok Y, Matsushita K, Sang Y, Ballew SH, Grams M, Shin SY, et al. Association of kidney disease measures with cause-specific mortality: The Korean Heart Study. PLoS ONE. 2016;11:e0153429.
Mok Y, Matsushita K, Ballew SH, Sang Y, Jung KJ, Lee S, et al. Kidney function, proteinuria, and cancer incidence: The Korean Heart Study. Am J Kidney Dis. 2017;70:512–21.
Tu H, Wen CP, Tsai SP, Chow WH, Wen C, Ye Y, et al. Cancer risk associated with chronic diseases and disease markers: prospective cohort study. BMJ. 2018;360:k134.
Xu H, Matsushita K, Su G, Trevisan M, Arnlov J, Barany P, et al. Estimated glomerular filtration rate and the risk of cancer. Clin J Am Soc Nephrol. 2019;14:530–9.
Jorgensen L, Heuch I, Jenssen T, Jacobsen BK. Association of albuminuria and cancer incidence. J Am Soc Nephrol. 2008;19:992–8.
Lin YS, Chiu FC, Lin JW, Hwang JJ, Caffrey JL. Association of albuminuria and cancer mortality. Cancer Epidemiol Biomark Prev. 2010;19:2950–7.
Yuyun MF, Khaw KT, Luben R, Welch A, Bingham S, Day NE, et al. Microalbuminuria independently predicts all-cause and cardiovascular mortality in a British population: The European Prospective Investigation into Cancer in Norfolk (EPIC-Norfolk) population study. Int J Epidemiol. 2004;33:189–98.
Wong G, Zoungas S, Lo S, Chalmers J, Cass A, Neal B, et al. The risk of cancer in people with diabetes and chronic kidney disease. Nephrol Dial Transpl. 2012;27:3337–44.
Christensson A, Savage C, Sjoberg DD, Cronin AM, O’Brien MF, Lowrance W, et al. Association of cancer with moderately impaired renal function at baseline in a large, representative, population-based cohort followed for up to 30 years. Int J Cancer. 2013;133:1452–8.
Lowrance WT, Ordonez J, Udaltsova N, Russo P, Go AS. CKD and the risk of incident cancer. J Am Soc Nephrol. 2014;25:2327–34.
Di Angelantonio E, Chowdhury R, Sarwar N, Aspelund T, Danesh J, Gudnason V. Chronic kidney disease and risk of major cardiovascular disease and non-vascular mortality: prospective population based cohort study. BMJ. 2010;341:c4986.
Mok Y, Ballew SH, Sang Y, Coresh J, Joshu CE, Platz EA, et al. Albuminuria, kidney function, and Cancer Risk in the Community. Am J Epidemiol. 2020;189:942–50.
Park J, Shin DW, Han K, Kim D, Chun S, Jang HR. Associations between Kidney function, Proteinuria, and the Risk of Kidney Cancer: A Nationwide Cohort Study Involving 10 Million Participants. Am J Epidemiol. 2021;190:2042–52.
Lees JS, Ho F, Parra-Soto S, Celis-Morales C, Welsh P, Sullivan MK, et al. Kidney function and cancer risk: An analysis using creatinine and cystatin C in a cohort study. EClinicalMedicine. 2021;38:101030.
Brooks ER, Siriruchatanon M, Prabhu V, Charytan DM, Huang WC, Chen Y, et al. Chronic kidney disease and risk of kidney or urothelial malignancy: systematic review and meta-analysis. Nephrol Dial Transplant. 2024;39:1023–33.
Sumida K, Nadkarni GN, Grams ME, Sang Y, Ballew SH, Coresh J, et al. Conversion of urine protein-creatinine ratio or urine dipstick protein to urine albumin-creatinine ratio for use in chronic kidney disease screening and prognosis : an individual participant-based meta-analysis. Ann Intern Med. 2020;173:426–35.
Inker LA, Schmid CH, Tighiouart H, Eckfeldt JH, Feldman HI, Greene T, et al. Estimating glomerular filtration rate from serum creatinine and cystatin C. N. Engl J Med. 2012;367:20–9.
Inker LA, Eneanya ND, Coresh J, Tighiouart H, Wang D, Sang Y, et al. New Creatinine- and Cystatin C-based equations to estimate GFR without Race. N. Engl J Med. 2021;385:1737–49.
National Cancer Institute. Cancer Statistics 2024 [Available from: https://www.cancer.gov/about-cancer/understanding/statistics.
Dobrijevic E, van Zwieten A, Grant AJ, Loy CT, Craig JC, Teixeira-Pinto A, et al. Casual Relationship Between Kidney Function and Cancer Risk: A Mendelian Randomization Study. Am J Kidney Dis. 2024;84:686–95.e1.
Kanbay M, Copur S, Yilmaz ZY, Tanriover C, Hasbal NB, Ortiz A, et al. A novel risk factor for malignancy: Albuminuria. Eur J Intern Med. 2023;118:22–31.
Neale EP, Rosario VD, Probst Y, Beck E, Tran TB, Lambert K. Lifestyle interventions, kidney disease progression, and quality of life: a systematic review and meta-analysis. Kidney Med. 2023;5:100643.
Giacchino F, Alloatti S, Quarello F, Bosticardo GM, Giraudo G, Piccoli G. The immunological state in chronic renal insufficiency. Int J Artif Organs. 1982;5:237–42.
Kurts C, Panzer U, Anders HJ, Rees AJ. The immune system and kidney disease: basic concepts and clinical implications. Nat Rev Immunol. 2013;13:738–53.
Lees JS, Elyan BMP, Herrmann SM, Lang NN, Jones RJ, Mark PB. The ‘other’ big complication: how chronic kidney disease impacts on cancer risks and outcomes. Nephrol Dial Transpl. 2023;38:1071–9.
Peired AJ, Lazzeri E, Guzzi F, Anders HJ, Romagnani P. From kidney injury to kidney cancer. Kidney Int. 2021;100:55–66.
Peired AJ, Antonelli G, Angelotti ML, Allinovi M, Guzzi F, Sisti A, et al. Acute kidney injury promotes the development of papillary renal cell adenoma and carcinoma from renal progenitor cells. Sci Transl Med. 2020;12:eaaw6003.
Haas ME, Aragam KG, Emdin CA, Bick AG, International Consortium for Blood P Hemani G. et al. Genetic association of Albuminuria with Cardiometabolic Disease and Blood Pressure. Am J Hum Genet. 2018;103:461–73.
Wang Y, Li S. Albuminuria and Mental Illness Risk: Results From National Health and Nutrition Examination Survey 2005-2018 and Mendelian Randomization Analyses. Brain Behav. 2025;15:e70545.
National Lung Screening Trial Research Team, Aberle DR, Adams AM, Berg CD, Black WC, Clapp JD, et al. Reduced lung-cancer mortality with low-dose computed tomographic screening. N. Engl J Med. 2011;365:395–409.
Elinav E, Nowarski R, Thaiss CA, Hu B, Jin C, Flavell RA. Inflammation-induced cancer: crosstalk between tumours, immune cells and microorganisms. Nat Rev Cancer. 2013;13:759–71.
Liu E, Morimoto M, Kitajima S, Koike T, Yu Y, Shiiki H, et al. Increased expression of vascular endothelial growth factor in kidney leads to progressive impairment of glomerular functions. J Am Soc Nephrol. 2007;18:2094–104.
Yao H, Rahman I. Current concepts on the role of inflammation in COPD and lung cancer. Curr Opin Pharm. 2009;9:375–83.
Kuzma L, Malyszko J, Bachorzewska-Gajewska H, Kralisz P, Dobrzycki S. Exposure to air pollution and renal function. Sci Rep. 2021;11:11419.
American Diabetes Association. Cardiovascular Disease and Risk Management. Diabetes Care. 2016;39:S60–71.
James PA, Oparil S, Carter BL, Cushman WC, Dennison-Himmelfarb C, Handler J, et al. 2014 evidence-based guideline for the management of high blood pressure in adults: report from the panel members appointed to the Eighth Joint National Committee (JNC 8). JAMA. 2014;311:507–20.
Acknowledgements
CKD-PC investigators/collaborators (cohort acronyms/abbreviations are listed in Supplementary Appendix 2).
Funding
The CKD Prognosis Consortium (CKD-PC) Data Coordinating Centre is funded in part by a programme grant from the US National Kidney Foundation and the National Institute of Diabetes and Digestive and Kidney Diseases (R01DK100446). A variety of sources have supported enrolment and data collection, including laboratory measurements and follow-up in the collaborating cohorts of the CKD-PC. These funding sources include government agencies such as the National Institutes of Health and Medical Research Councils, as well as foundations and industry sponsors listed in Supplemental Appendix 3. Dr. Lees is personally funded by a Wellcome Trust Early Career Award (301005/Z/23/Z).
Author information
Authors and Affiliations
Consortia
Contributions
AS, YS, JC, and MEG had full access to all the data in the study and take responsibility for the integrity of the data and the accuracy of the data analysis. YM, AS, YS, JC, MEG, KM, SHB, and JSL were responsible for the study concept and design. AS, YS, JC, MEG, KM, SHB with the CKD-PC investigators/collaborators listed below, were involved in the acquisition of data. YM, AS, YS, JC, MEG, KM, SHB, and JSL drafted the manuscript. YM, AS, YS, JC, MEG, KM, SHB, NAdP, JA, SMB, SB, HM, JJC, RC, EC, RTG, SKJ, KJL, HLK, TK, CPK, LL, KP, MR, CRC, CS, UTS, MS, NS, MT, AYMW, CPW, MW, and JSL contributed to the analysis and interpretation of data and to the critical revision of the manuscript for important intellectual content. JC and MEG guarantee the integrity of the work. The corresponding author attests that all listed authors meet authorship criteria and that no others meeting the criteria have been omitted.
Corresponding author
Ethics declarations
Competing interests
Dr. Ärnlöv has received lecturing fees from AstraZeneca and Boehringer Ingelheim and served on advisory boards for AstraZeneca, Boehringer Ingelheim and Astella, all unrelated to the present paper. Dr. Bell has received consultancy fees from Astra Zeneca, GSK and Bayer. Dr. Staplin has received funding in the form of grants from Boehringer Ingelheim, Eli Lilly, and Novo Nordisk. She follows a long-term departmental policy to decline honoraria from the drug and food industry, except for reasonable travel expenses for meetings. All other authors have no disclosures to report.
Consent for publication
Not applicable, all aggregate data.
Ethics approval and consent to participate
This study was approved for use of de-identified or limited data with a waiver of informed consent by the institutional review board at New York University. All methods were performed in accordance with the relevant guidelines and regulations.
Additional information
Publisher’s note Springer Nature remains neutral with regard to jurisdictional claims in published maps and institutional affiliations.
Supplementary information
Rights and permissions
Open Access This article is licensed under a Creative Commons Attribution 4.0 International License, which permits use, sharing, adaptation, distribution and reproduction in any medium or format, as long as you give appropriate credit to the original author(s) and the source, provide a link to the Creative Commons licence, and indicate if changes were made. The images or other third party material in this article are included in the article’s Creative Commons licence, unless indicated otherwise in a credit line to the material. If material is not included in the article’s Creative Commons licence and your intended use is not permitted by statutory regulation or exceeds the permitted use, you will need to obtain permission directly from the copyright holder. To view a copy of this licence, visit http://creativecommons.org/licenses/by/4.0/.
About this article
Cite this article
Mok, Y., Surapaneni, A., Sang, Y. et al. Chronic kidney disease and incident cancer risk: an individual participant data meta-analysis. Br J Cancer 133, 1535–1543 (2025). https://doi.org/10.1038/s41416-025-03140-z
Received:
Revised:
Accepted:
Published:
Version of record:
Issue date:
DOI: https://doi.org/10.1038/s41416-025-03140-z
This article is cited by
-
Association Between Caffeine Intake and Mortality Among Patients with Chronic Kidney Disease: A Population-Based Study
Current Medical Science (2026)




