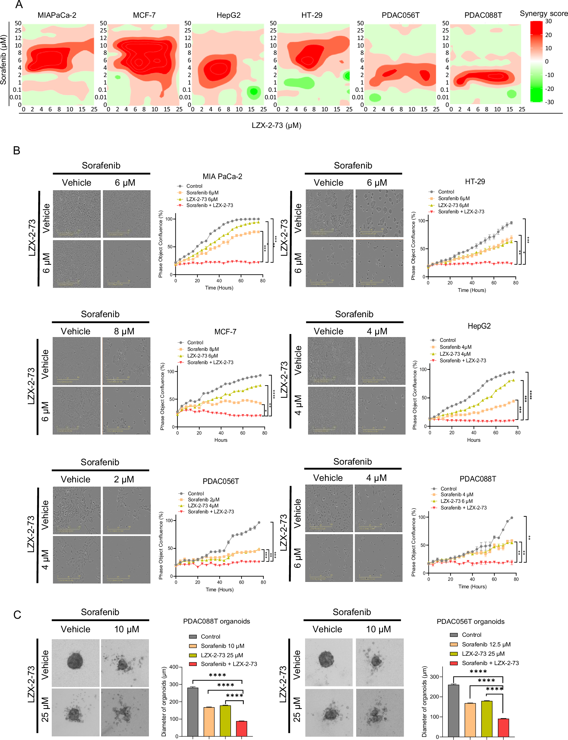
Fig. 1: LZX-2-73 and sorafenib combination showed a synergistic anticancer effect.

A HSA synergy score distribution plots for the combination treatment of LZX-2-73 with sorafenib. B Representative images after 72 h of treatment with sorafenib, LZX-2-73, or their combination to MIAPaCa-2, HT-29, MCF-7, HepG2, PDAC056T, or PDAC088T cells (left) and the quantification of cell confluency in the images (right) by the Incucyte device. Data are shown as mean ± SEM. *p < 0.05, **p < 0.01, ***p < 0.001, ****p < 0.0001 (2-way ANOVA, Dunnett’s test) (n = 3), statistic shown on the last point of measurement, compared to combinatory treatment. C Representative images upon 72 h of treatment with sorafenib, LZX-2-73, or their combination to PDAC056T organoids and PDAC088T organoids (left) and the quantification of organoid diameters in the images (right). Data are shown as mean ± SEM. **p < 0.01, ***p < 0.001, ****p < 0.0001 (1-way ANOVA, Dunnett’s test, compared to combinatory treatment) (n = 3).