Table 3 Traditional Chinese herbal ingredients in the treatment of ferroptosis.
From: Redox mechanism of glycerophospholipids and relevant targeted therapy in ferroptosis
Chinese herb name | Pharmaceutical ingredient | Structural formula | Mechanism |
|---|---|---|---|
Artemisia annua | Artemisinin C15H22O5 |
| Degrade intracellular ferritin to upregulate free iron level; upregulate p53 to inhibit system Xc- function [187] |
Astragalus Membranaceus | Calycosin C16H12O5 |
| Suppress ACSL4 [188]; alleviates ferroptosis by activating the Nrf2/SLC7A11/GPX4 signaling [265]; |
Angelica dahurica, Eucommia ulmoides, Prunella vulgaris | Umbelliferone C9H6O3 |
| Inhibiting ferroptosis through activation of the Nrf-2/HO-1 pathway [189] |
Coptis chinensis | Berberine C20H18NO4+ | Inhibiting ferroptosis by up-regulating NRF2/SLC7A11/GPX4 [266] and targeting ACSL4 [174]; BBR suppressed ferroptosis via promoting GPX4 expression [190] | |
Curcuma longa | Curcumin C21H20O6 |
| Induces ferroptosis via activating autophagy [192] |
Dendrobium chrysotoxum Lindl. | Erianin C18H22O5 | Exerts anticancer effects by inducing Ca2+/CaM-dependent ferroptosis [193]; inducing ferroptosis via NRF2 inactivation [267] and blocking the JAK2/STAT3/SLC7A11 signaling pathway [268] | |
Camellia sinensis | Epigallocatechin-3-gallate, EGCG C22H18O11 | Inhibiting ferroptosis by increasing NRF2 and GPX4 expression [269] | |
Glycyrrhiza glabra | Compound Glycyrrhizin C42H62O16 |
| Inhibiting ferroptosis via the HMGB1/GPX4 Pathway [270], HMGB1-TLR4-GPX4 [271] and Keap1/Nrf2/HO-1 Pathway [272] |
Glabridin C20H20O4 |
| Repressed ferroptosis by increasing SOD and GSH activity, and GPX4, SLC7A11, and SLC3A2 expression [273] | |
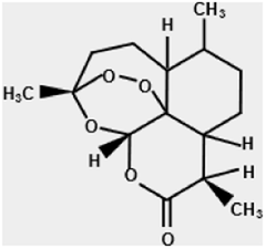
Ginkgo biloba | Ginkgolide B C20H24O10 |
| Alleviates ferroptosis by inhibiting GPX4 ubiquitination [274]; inhibiting ferroptosis by disrupting NCOA4-FTH1 interaction [275] |
Leonurus japonicus Houtt | Leonurine C14H21N3O5 | Alleviating ferroptosis by activating the Nrf2 pathway [191]; reduces ferroptosis by increasing GPX4 and Nrf2 expression [276] | |
Platycladus orientalis, Astragalus Membranaceus | Quercetin C21H20O11 |
| inhibits ferroptosis by inhibiting the expression of ATF3 [277] and Nrf2 [278]; inhibits ferroptosis by downregulating phosphorylation of PI3K, AKT, mTOR [279] |
Magnolia officinalis | Honokiol, HNK C18H18O2 |
| induces ferroptosis by reducing the activity of GPX4 [194] or upregulating HMOX1 [195]; inhibits ferroptosis by activating AMPK/SIRT1/PGC-1α pathway [196] |
Salvia miltiorrhiza | Tanshinone IIA C19H18O3 |
| induces ferroptosis through p53-mediated SLC7A11 down-regulation [197]; inhibits ferroptosis through activating Nrf2 signaling pathway [198] |
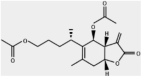
Inula japonica Thunb. | 1,6-o-o-diacetyl-britannilactone, OABL C19H26O6 |
| inhibits ferroptosis by increasing the GSH level [280] |
Schisandra chinensis | Schisandrin A C24H32O6 | Attenuates ferroptosis by AdipoR1/AMPK-ROS/mitochondrial damage [199]; activating ferroptosis by AMPK/mTOR pathway [200] | |
Schisandrin B C23H28O6 | Attenuates ferroptosis via AMPK/PGC1α/Nrf2 signaling pathway [281]; inhibits ferroptosis through SIRT1/p53/SLC7A11 signaling pathway [282]; reduce ferroptosis by inhibiting oxidative stress [283] | ||
Sennae Folium | Sennoside A C42H38O20 |
| restrains TRAF6 level to modulate ferroptosis [284] |
Crocus sativus | Crocetin C20H24O4 |
| Alleviates ferroptosis by facilitating Nrf2 nuclear translocation [285]; moderating ferroptosis via Nrf2/GPX4 pathway [286] |


















