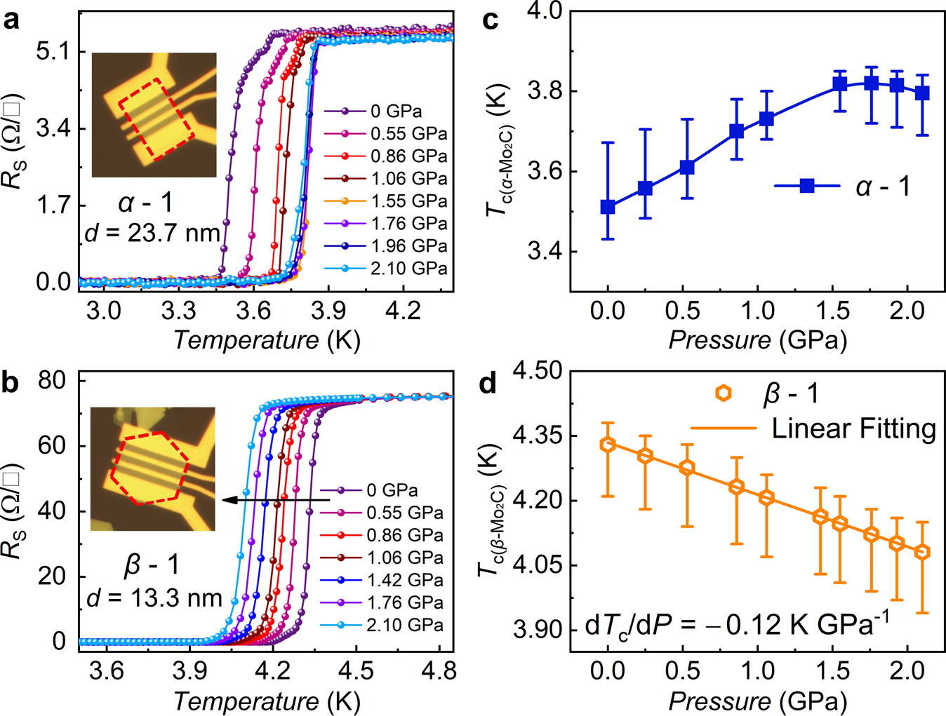
Fig. 2: Pressure effects on the Tc of α-Mo2C and β-Mo2C sheets.

Temperature dependences of sheet resistances for (a) α-Mo2C (α-1) and (b) β-Mo2C (β-1) sheets under various pressures. Insets are optical images of the corresponding Mo2C samples with electrodes. Pressure dependences of Tc for (c) α-Mo2C and (d) β-Mo2C sheets.