Abstract
Recently, 2D Mo2C, a new member of the MXene family, has attracted much attention due to the exotic superconducting properties discovered in 2D α-Mo2C. Here, not only 2D α-Mo2C but also 2D β-Mo2C crystal sheets with distinct disordered carbon distributions were successfully grown. 2D β-Mo2C shows a much stronger superconductivity than 2D α-Mo2C, and their superconductivities have different hydrostatic pressure responses. The superconducting transition temperature Tc of 2D α-Mo2C shows a dome-shaped profile under pressure, implying the existence of two competing effects arising from phononic and electronic properties, while for 2D β-Mo2C, Tc decreases monotonically with increasing pressure, possibly due to phonon stiffening. These results indicate that the electronic properties have a more important influence on the superconductivity in 2D α-Mo2C compared to 2D β-Mo2C. The ordered and disordered carbon distributions in 2D α-Mo2C and β-Mo2C, respectively, may be the underlying origin for their different electronic and superconducting properties.
Similar content being viewed by others
Introduction
In the past few years, MXenes, i.e., two-dimensional transition metal carbides (2D TMCs), have received increasing attention due to their tremendous potential for electromagnetic interference shielding, energy storage, catalysis, and electronic devices1,2,3,4,5. As one of the most widely studied 2D TMCs, ultrathin molybdenum carbide (Mo2C) not only shows a high electronic conductivity but also exhibits exotic superconducting properties at low temperatures6. Orthorhombic α-Mo2C and hexagonal β-Mo2C are the two stable crystalline forms of the Mo2C family, but they show distinct ordered and disordered carbon atom distributions, respectively, in almost identical Mo matrices7,8. Early reports showed that the superconducting transition temperatures (Tc) of α-Mo2C and β-Mo2C in bulk form lie within wide ranges of 4–12.2 K and 2.4–7.2 K, respectively, due to the inconsistent sample qualities and possible impurity phases8.
Recently, Xu et al. successfully synthesized high-quality 2D α-Mo2C crystal sheets with a chemical vapor deposition (CVD) process6. This triggered the discovery of many intriguing properties in this promising 2D TMC system, including 2D superconductivity6, quantum phase transitions7,9, nonlinear optical properties10, and fantastic physics at the interfaces between α-Mo2C and other 2D materials2,11. The Tc of α-Mo2C crystal sheets is as high as 3.5 K and becomes lower in thinner crystal sheets, and the superconductivity is suppressed locally at grain boundaries6,12,13. Interestingly, disorder-enhanced superconductivity in α-Mo2C sheets was observed very recently by scanning tunneling microscopy, which was attributed to lattice defect-enhanced disordering and strain-induced strong coupling14. In addition to the interesting electronic properties, 2D Mo2C also exhibits unique structural properties. Polarized Raman spectroscopy and transmission electron microscopy studies on 2D α-Mo2C crystal sheets revealed unique domain structures with 60° and 120° boundaries15. In particular, it was found that the domain structures can be eliminated and the α-Mo2C sheets can be transformed into β-Mo2C by electron beam irradiation7. Considering the distinct ordered and disordered carbon atom distributions in α-Mo2C and β-Mo2C, respectively, this unique structural feature should have important impacts on the superconductivity owing to the close interaction between the electronic and structural characteristics. However, there are still no reports about the superconductivity in the 2D β-Mo2C crystal sheet and its differences with 2D α-Mo2C.
In addition, the superconductivity can be significantly modulated by a basic thermodynamic variable, the hydrostatic pressure (P). A higher dTc/dP of a superconductor implies that a suitable chemical substitution or epitaxial strain design at ambient pressure may be utilized to achieve an enhanced Tc16,17. In particular, research on the superconducting properties under high pressures may help uncover the superconducting mechanism by revealing the impacts of different competing orders in superconducting materials18. For instance, in simple metal superconductors with s or p orbital electronic conduction, such as Al, In, Sn, and Pb, a ubiquitous reduction in Tc was observed due to stiffening of lattice vibration spectra under pressure, suggesting the importance of phononic properties for the superconductivity19. For some transition metals with d orbital electronic conduction, such as Tl and Re, the pressure-modulated Fermi surface topology is important for the nonmonotonic pressure dependence of Tc, reflecting the critical role and complexity of their electronic properties20,21. For unconventional superconductors, such as high-temperature cuprate superconductors, Tc often shows a dome-like pressure dependence due to the complex and strongly correlated electronic effects22,23. However, there is still no research devoted to the pressure effects on the superconductivities of α-Mo2C and β-Mo2C thus far. Pressure studies may shed light on the understanding of the superconductivities in Mo2C of these two structures with different carbon atom distributions.
In this work, the crystal structures and superconductivities of 2D α-Mo2C and β-Mo2C sheets were systematically studied. By investigating the electronic transport and superconducting properties under hydrostatic pressures, it was discovered that their Tc, upper critical fields (Hc2), pressure responses of the superconductivity, and transport behaviors in normal states are quite different. These different electronic properties may be highly related to the different carbon atom distributions in the α-Mo2C and β-Mo2C sheets.
Materials and methods
Sample preparation
CVD with a Cu/Mo bilayer substrate was used to grow 2D Mo2C crystal sheets6,13. Different from our previous report6, the formations of rectangular-shaped α-Mo2C sheets and hexagonal-shaped β-Mo2C sheets in the same batch were achieved by using a higher flow rate of methane of ~0.6 sccm13. The Mo2C sheet crystals were transferred onto TEM grids for structural characterizations and 10 mm × 10 mm SiO2 (300 nm)/Si substrates for transport measurements6.
Characterizations
The structures were investigated by high angle angular dark field (HAADF)-scanning transmission electron microscopy (STEM) and corresponding selected area electron diffraction (SAED) by TEM with a spherical aberration corrector (Talos F200X). The sample thicknesses were measured by an atomic force microscope (Oxford MFP-3D Infinity). Electron-beam lithography (JEOL JBX-6300FS) and a lift-off process were used to prepare Ti/Au (10/90 nm) electrodes, and e-beam irradiation at 100 kV and 10 nA was performed in the electron-beam lithography equipment. A Quantum Design Physical Property Measurement System (QD PPMS 9 T) with an HPC-33 piston-type pressure cell (Daphne 7373 oil as the pressure transmitting medium) was used to perform the resistance measurements at different magnetic fields under various pressures. The superconducting transition temperature of Sn was used to calibrate the magnitude of the pressure.
Results and discussion
Structural characteristics of 2D α-Mo2C and β-Mo2C crystal sheets
As reported previously6, 2D α-Mo2C crystals grown by CVD at a low flow rate of methane mainly have 6 kinds of regular shapes (hexagons, rectangles, triangles, etc.), indicating a typical characteristic of good crystallization. In contrast, the 2D Mo2C sheets used in our study were grown by CVD with a high flow rate of methane and were mostly rectangular and hexagonal, with lateral sizes of 10–20 μm and thicknesses (d) of 5–30 nm. The thicknesses of the sheets were measured by atomic force microscopy, and representative images are shown in Supplementary Fig. S1. The superconducting properties of Mo2C crystal sheets are highly stable under ambient conditions due to their excellent thermal and chemical stabilities.
High-resolution STEM was utilized to characterize the crystal structures of the Mo2C sheets. Figure 1a, b shows bright-field TEM images of the Mo2C crystal sheets of rectangular and hexagonal shapes, respectively, and Fig. 1c, d shows the corresponding SAED patterns. It can be seen that the rectangular- and hexagonal-shaped Mo2C sheets have different crystal lattice symmetries. The rectangular-shaped sheets of Mo2C are of the α-phase with an orthorhombic structure. As for the hexagonal-shaped sheets, they are of the β-phase with a hexagonal structure. Moreover, the α-Mo2C sheet grows along the [100] direction, while the β-Mo2C sheet grows along the [0001] direction, perpendicular to their surfaces. As highlighted by the yellow circles in the SAED pattern shown in Fig. 1c, superlattice diffraction spots are observed for the α-Mo2C sheets. This feature has been proven to result from the ordered distribution of carbon atoms, which attract each other in the Mo octahedrons, leading to a regular distortion of the hexagonal close-packed Mo lattice7,8,24. In contrast, there is no Mo lattice distortion in the β-Mo2C sheets because the disordered distribution of carbon atoms mutually offsets the interactions7. It is worth mentioning that the α-Mo2C sheets can be transformed into β-Mo2C by the electron beam irradiation-induced order-disorder transition7. In other words, β-Mo2C is a disordered counterpart of the ordered α-Mo2C phase at high temperature25.
BF-TEM images of (a) rectangular-shaped α-Mo2C and (b) hexagonal-shaped β-Mo2C sheets. Corresponding SAED patterns for (c) α-Mo2C and (d) β-Mo2C sheets. Corresponding HAADF-STEM images for (e) α-Mo2C and (f) β-Mo2C sheets. The domain boundary is depicted by the dashed yellow line in (f). g Unit cell illustrations of orthorhombic α-Mo2C and hexagonal β-Mo2C.
Figure 1e, f shows atomic-resolution HAADF-STEM images of α-Mo2C and β-Mo2C sheets, respectively. As seen from the magnified images shown in the insets of Fig. 1e, f, there exist extra Mo lattice points (denoted by the green spheres) located at the centers of Mo hexagons, which is due to the stacking faults in the growth direction26. In addition, it can be seen that the Mo atoms in the α-Mo2C (along the [100] zone axis) and β-Mo2C (along the [0001] zone axis) sheets have very similar atomic configurations. Actually, α-Mo2C and β-Mo2C are closely crystallographically related, namely, aα = cβ, bα = 2bβ, and cα = \(\sqrt 3\)aβ, as illustrated in Fig. 1g. Therefore, considering the almost identical Mo lattices, the main structural difference between α-Mo2C and β-Mo2C sheets is the different distributions of carbon atoms.
Another interesting feature is the presence of diagonal domain boundaries in hexagonal β-Mo2C sheets, as shown in Fig. 1b. An atomic-resolution HAADF-STEM image near the boundary is shown in Fig. 1f, and the domain boundary is highlighted by the yellow dashed line. Interestingly, the lattice remains unchanged on the two sides of the boundary. The SAED patterns in each domain area are also studied (Supplementary Fig. S2), and the same SAED patterns in all areas indicate that the crystal structure is uniform throughout the whole crystal. It should be noted that diagonal domain boundaries have also been observed in hexagonal-shaped orthorhombic α-Mo2C crystal sheets, but the lattice of the adjacent domain areas rotates by 60° in plane, which results in different SAED patterns in the neighboring domains15,24. Moreover, the fringe contrast at the domain boundary in Fig. 1f indicates that there exists a translational strain of the Mo lattice at the domain boundary of β-Mo2C sheets, which is also different from the feature of α-Mo2C sheets15,24.
Hydrostatic pressure responses of the superconductivities in 2D α-Mo2C and β-Mo2C crystal sheets
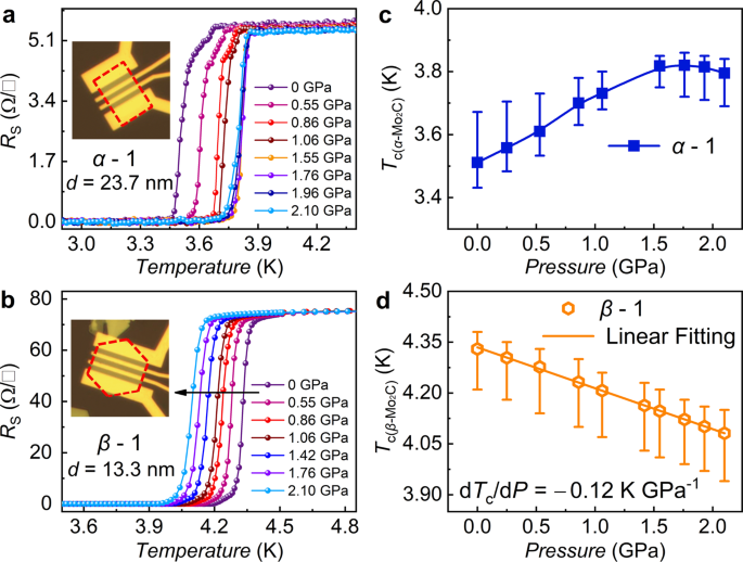
With the distinct structural features, it will be interesting to study the transport property differences between the α-Mo2C and β-Mo2C sheets by tuning a thermodynamic variable—pressure. Figure 2a, b shows the temperature dependences of the sheet resistances (Rs) for a 23.7-nm-thick α-Mo2C sheet (labeled α-1) and a 13.3-nm-thick β-Mo2C sheet (labeled β-1) at various hydrostatic pressures. Rs is defined by Rs = ρ/d = RW/L, where W is the width and L is the length. Obviously different pressure effects on Tc were observed for α-Mo2C and β-Mo2C sheets, as the pressure dependences of Tc in Fig. 2c, d show. Here, the top and bottom lines of the error bars are the onset temperature Tc,onset and zero resistance temperature Tc,zero, respectively, and Tc,onset, Tc, and Tc,zero are defined by the resistance dropping to 90%, 50%, and 0.1% of the normal state resistance, respectively27,28. For α-Mo2C sheets, Tc first increases and then decreases with increasing pressure, presenting a dome-like shape. For β-Mo2C sheets with Tc higher than that of α-Mo2C sheets, a monotonic reduction in Tc under pressure with dTc/dP = –0.12 K GPa–1 was obtained for β-1. Similar measurements were also performed for a 25.1-nm-thick α-Mo2C sample (labeled α-2) and a 7.1-nm-thick β-Mo2C sample (labeled β-2, dTc/dP = –0.10 K GPa–1), and consistent pressure effects were observed (Supplementary Fig. S3). In addition, we noted that the resistivity transitions in some of the samples, such as α-1 (Fig. 2a) and β-2 (Fig. S3b), show pronounced shoulders, which may be due to sample inhomogeneity29 (such as domain boundaries24) and/or electrode contact quality.
Temperature dependences of sheet resistances for (a) α-Mo2C (α-1) and (b) β-Mo2C (β-1) sheets under various pressures. Insets are optical images of the corresponding Mo2C samples with electrodes. Pressure dependences of Tc for (c) α-Mo2C and (d) β-Mo2C sheets.
Here, the hydrostatic pressure effect on the superconductivity of Mo2C can be discussed in the BCS framework30,31. Typically, the hydrostatic pressure dependences of Tc for BCS superconductors can be analyzed in terms of McMillan theory as follows32:
Here, ΘD is the Debye temperature, λ is the electron-phonon coupling parameter, and the Coulomb pseudopotential μ* is equal to 0.1 and is insensitive to pressure21,33,34. Equation (1) has successfully described the pressure-manipulated Tc in many systems, including elemental superconductors19, transition-metal nitrides35, MgB236, LaH1037, etc34. Based on Eq. (1), the following relationship can be obtained by the logarithmic volume derivative33:
where V is the sample volume and B is the bulk modulus parameter. \(\eta = N(E_{\mathrm{F}})\langle I^{2}\rangle\) is the product of the Fermi-level density of states N(EF) with the average squared electronic matrix element \(\langle I^2\rangle\). \(\gamma {\mathrm{ = }} - {\mathrm{d}}\ln \langle \omega \rangle /{\mathrm{d}}\ln V\) is the Grüneisen parameter, \(\langle \omega \rangle\) is the mean phonon frequency, and \(\Delta = 1.04\lambda \left[ {1 + 0.38\mu ^\ast } \right]\left[ {\lambda - \mu ^\ast \left( {1 + 0.62\lambda } \right)} \right]^{ - 2}\) 38. It can be seen that Eq. (2) contains the electron-phonon coupling, the density of states at the Fermi level, and the energy scale of the phonon excitations (Debye frequency). The terms \(\gamma {\mathrm{ = }} - {\mathrm{d}}\ln \langle \omega \rangle /{\mathrm{d}}\ln V\) and \({\mathrm{d}}\ln \eta /{\mathrm{d}}\ln V\) represent the variations in the lattice and electronic characteristics with volume, respectively. It has been noted that the electronic term \({\mathrm{d}}\ln \eta /{\mathrm{d}}\ln V\) typically equals −1 for simple metal superconductors (s, p orbital electrons)39 and −3 to −4 for transition metal superconductors (d orbital electrons)21,33. For Mo2C, N(EF) is mainly contributed by the 4d orbitals of the molybdenum atoms40. According to Eq. (2), the negative electronic term \({\mathrm{d}}\ln \eta /{\mathrm{d}}\ln V\) tends to enhance Tc under pressure21. However, for most BCS superconductors, the effect from the pressure-induced phonon stiffening (i.e., γ > 0) overcomes the effect related to the change in electronic properties, which leads to a ubiquitous decrease in Tc21.
For β-Mo2C sheets, the negative dTc/dP = – 0.12 K GPa–1 means a positive \(- B{\mathrm{d}}\ln T_{\mathrm{c}}{\mathrm{/d}}P\) on the left side of Eq. (2). Using Tc = 4.33 K at ambient pressure, ΘD = 590 K41, and μ* = 0.1, we obtained λ = 0.46 and Δ = 4.46 from Eq. (1). The electron–phonon coupling parameter λ = 0.46 is in agreement with the value λ = 0.5 obtained from first-principles density-functional theory calculations30. Inserting these values, dTc/dP = −0.12 K GPa–1, \({\mathrm{d}}\ln \eta /{\mathrm{d}}\ln V\)= − 3 to − 4, and B ~ 290 GPa41, into Eq. (2), we obtain γ = 2.7 to 3.3. The large and positive γ suggests significant stiffening of the lattice vibration spectrum under pressure, which results in the reduction in Tc in β-Mo2C sheets.
For α-Mo2C sheets, Tc first increases under low pressures and then decreases with further increases in pressure, leading to a distinct dome-like pressure dependence of Tc, which is obviously different from the decrease in Tc in β-Mo2C sheets. Typically, an increase in Tc with pressure for a BCS superconductor occurs when the effect of the variation arising from the electronic characteristics with pressure overcomes the pressure-induced phonon stiffening effect. For example, in some BCS superconductors (e.g., Lu, Nb3Ge, and NbSe2), owing to the pressure-induced complex variation in electronic properties, Tc initially increases under low pressures21,42,43. Similarly, for α-Mo2C sheets, the increase in Tc under low pressures may also be because the complex variation in electronic properties overcomes the phonon stiffening. For the decrease in Tc under high pressures, the phonon stiffening effect may overcome the electronic effect, similar to that in β-Mo2C sheets. In other words, the distinct pressure responses of the superconductivities in α- and β-Mo2C suggest their different electronic and phononic properties under pressure. Compared with the always dominant lattice effect in β-Mo2C sheets, both the lattice and electronic effects play an important role in α-Mo2C sheets, which may be related to their different carbon atom distributions. The more significant influence of the electronic term in α-Mo2C should be related to the ordered carbon atoms, while the strong phonon stiffening effect in β-Mo2C with randomly distributed carbon atoms may be due to the less sensitive pressure response of its electronic characteristic.
Upper critical fields H c2 of 2D α-Mo2C and β-Mo2C crystal sheets
To further understand the different superconducting characteristics of α-Mo2C and β-Mo2C sheets, their upper critical fields Hc2(T) (defined by the resistance dropping to 90% of the normal state resistance28) were studied under various pressures. Based on the temperature-dependent resistances measured in various perpendicular magnetic fields under different pressures (Supplementary Fig. S4), the upper critical fields Hc2(T) of α-Mo2C (sample α-1) and β-Mo2C (sample β-1) sheets are shown in Fig. 3a. For 2D superconducting systems, Hc2(T) can be well fitted by the following relationship44,45:
where Hc2(0) and α are the fitting parameters, and α ~0.34 and α ~0.04 are obtained for α-1 and β-1, respectively. Figure 3b shows the pressure dependences of Hc2(0) for α-1 and β-1 sheets with distinct nonmonotonic and monotonic curvatures, respectively. At ambient pressure, the Hc2(0) for α-Mo2C sheets is 0.34 T, comparable with earlier reports6,13, while the Hc2(0) of 5.55 T for β-Mo2C sheets is ~16 times that for α-Mo2C sheets. The initial slopes \({\mathrm{ d}}H_{\mathrm{c2}}/{\mathrm{d}}T|_{T{\mathrm{ = }}T{\mathrm{c,onset}}}\) for the α-Mo2C and β-Mo2C sheets are −0.06 and −1.11, respectively, and they are almost independent of pressure. Moreover, similar measurements were also performed for the Hc2(T) in α-Mo2C (sample α-3, d = 18.9 nm) and β-Mo2C (sample β-3, d = 15.6 nm) sheets in parallel magnetic fields, and much larger Hc2(0) in parallel magnetic fields than that in perpendicular magnetic fields can be observed, as expected for 2D superconductor systems (Supplementary Fig. S6).
a Hc2 as a function of temperature under various pressures. The solid lines are the fits with Eq. (3). b Hc2(0) as a function of pressure, and the solid lines are guides for the eye.
The α-Mo2C sheet with an ordered carbon atom distribution was considered to be a clean superconductor6, while for β-Mo2C, it should be treated as a dirty superconductor system due to its disordered carbon atom distribution. Typically, for a dirty superconductor, Hc2 is highly related to the mean free path l and the coherence length ξ as follows46:
where \(\Phi _{\mathrm{0}}\) is the magnetic flux quantum and vF is the Fermi velocity. The product vFl is proportional to the electron diffusion coefficient, and a smaller vFl typically indicates stronger disorder47,48. According to Eq. (4), the Hc2 of β-Mo2C should be proportional to its Tc and inversely proportional to vFl. Therefore, the dramatic enhancement of the Hc2 in β-Mo2C can be due to its higher Tc and smaller vFl induced by the disordered carbon atom distribution. From the above discussions, it can be seen that the significant differences between α-Mo2C and β-Mo2C sheets should be related to the electronic structure differences, which are affected by the ordered and disordered carbon distributions. The detailed contributions of the ordered and disordered carbon atom distributions to the electronic structures of Mo2C require further theoretical studies in the future.
Relationships among the thickness, residual resistivity ratio, and superconductivity of samples
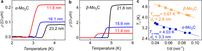
For 2D sheets, the sample thickness generally has a significant influence on the electronic transport properties49,50. It is thus interesting to study the effects of thickness on the superconductivities of α-Mo2C and β-Mo2C sheets. Figure 4a, b shows the superconducting transitions of representative α-Mo2C and β-Mo2C crystal sheets with different sheet thicknesses, respectively. It can be seen that the values of Tc decrease with decreasing thickness for both α-Mo2C and β-Mo2C crystal sheets. Typically, in many superconducting systems, Tc is maximum (Tc-max) in the bulk sample and gradually decreases with decreasing sample thickness, and when the thickness is below a certain level (dc), the sample will no longer be in the superconducting state51,52. Based on the Ginzburg-Landau equations, Simonin proposed a relationship between Tc and the thickness as follows53,54:
Figure 4c shows the evolution of Tc as a function of the inverse of the thickness (1/d), and the experimental results can be fitted very well by Eq. (5) with Tc-max = 4.03 K and dc = 3.3 nm (~ 7 unit cells) for α-Mo2C sheets and Tc-max = 5.67 K and dc = 2.8 nm (~ 6 unit cells) for β-Mo2C sheets. The Tc-max values of α- and β-Mo2C fall in the ranges of their bulk Tc of 4 K-12.2 K and 2.4 K-7.2 K8, respectively, and the Mo2C sheets may no longer be in a superconducting state when the sample thicknesses are below 6~7 unit cells53. Furthermore, the Tc of β-Mo2C sheets is ~1.6 K higher than that of α-Mo2C sheets with similar thicknesses. The higher Tc of β-Mo2C than that of α-Mo2C may be due to the enhanced electron-phonon coupling related to the disordered carbon distribution in β-Mo2C14 as well as the higher Debye temperature of β-Mo2C (~590 K) than that of α-Mo2C (~580 K)41. To further illustrate the role of the carbon distribution in Mo2C, e-beam irradiation was used to produce varying degrees of disorder in the carbon distribution7, and the order-disorder transition from α-Mo2C to β-Mo2C results in increases in Tc and the sheet resistance (Supplementary Figs. S7 and S8), consistent with Fig. 4.
Temperature-dependent resistivities of (a) α-Mo2C and (b) β-Mo2C sheets with different thicknesses. c Thickness dependences of the Tc of α-Mo2C and β-Mo2C sheets. The dashed lines are the fitting results obtained using Eq. (5).
According to the BCS superconducting mechanism, a stronger electron–phonon coupling, related to the intrinsic phononic and electronic properties, will lead to a higher Tc, which can be reflected by the normal state properties. For example, in elemental superconductors, a relatively strong electron-phonon coupling often results in a relatively poor electronic conduction21,46, and disorder-enhanced electron-phonon coupling accompanied by an increase in resistivity was also observed in other superconductors, such as Mo3Ge55. Thus, it will be interesting to study the normal state transport behaviors of α-Mo2C and β-Mo2C sheets. Figure 5a shows the temperature dependence of the normalized resistance Rs/Rs-300K from 1.9 K to 300 K for representative α-Mo2C (α-4, d = 23.2 nm) and β-Mo2C (β-4, d = 21.8 nm) sheets with similar thicknesses. A faster decrease in the normal-state resistance with decreasing temperature was observed in the α-Mo2C sheets, which indicates a stronger metallicity in the α-Mo2C.
a Temperature dependences of normalized resistances Rs/Rs-300K of α-Mo2C (23.2 nm) and β-Mo2C (21.8 nm) sheets from 1.9 K −300 K. b Thickness dependence of the residual resistance ratio (RRR = Rs-300K/Rs-6K). c Thickness dependence of the sheet resistance at 10 K (Rs-10K). d Tc vs residual resistance ratio RRR. The dashed lines in (b-d) are guides for the eye.
To obtain a more comprehensive assessment of the normal state properties of α-Mo2C and β-Mo2C sheets, the thickness dependences of their residual resistance ratio (RRR = Rs-300K/Rs-6K) and sheet resistance at 10 K (Rs-10K) are shown in Fig. 5b, c, respectively. Compared with α-Mo2C sheets, β-Mo2C shows a much smaller RRR and a much higher Rs-10K. In particular, the thickness-dependent trends for RRR and Rs-10K are obviously different between α-Mo2C and β-Mo2C sheets. A thicker α-Mo2C sheet possesses a higher RRR and a smaller Rs-10K, while a thicker β-Mo2C sheet has a lower RRR and a larger Rs-10K. A larger RRR means less electronic scattering, which will lead to a better electrical conductivity, namely, a smaller sheet resistance56. The electronic scattering in 2D sheet or film materials mainly results from two aspects: surface and/or interface scattering and intrinsic lattice scattering. In α-Mo2C sheets, the intrinsic lattice scattering is relatively weak due to the ordered carbon atom distributions, and the surface scattering is dominant. Thus, for α-Mo2C sheets, the importance of the surface scattering declines for thicker samples, which leads to an overall lower electronic scattering, a higher RRR, and a smaller sheet resistance. For β-Mo2C sheets, the disordered carbon atom distributions will result in strong intrinsic lattice scattering. As a result, the overall stronger lattice scattering in a thicker β-Mo2C sheet will lead to a smaller RRR and a larger sheet resistance.
Furthermore, the relationships between the Tc and RRR of α-Mo2C and β-Mo2C sheets plotted in Fig. 5d show different variation trends, and β-Mo2C has a higher Tc with a smaller RRR, in contrast to α-Mo2C. It is worth mentioning that a higher Tc usually accompanies a higher RRR due to the less scattering and higher sample quality49,56, which is the case for α-Mo2C sheets. In contrast, a higher Tc with a lower RRR was observed in the β-Mo2C sheets. Considering the almost identical Mo lattices in α-Mo2C and β-Mo2C, it can be concluded that although the disordered distribution of carbon atoms increases the electronic scattering, it may promote the electron-phonon coupling and is beneficial for higher Tc, similar to Mo3Ge55.
Conclusions
In summary, the α- and β-phases of Mo2C sheet crystals with rectangular and hexagonal shapes, respectively, were successfully grown by the CVD technique. It was found that the intriguing superconductivities in Mo2C sheets of α- and β-phases have different hydrostatic pressure responses. Similar to conventional superconductors, β-Mo2C sheets have a monotonic decrease in Tc under pressure due to the increase in the average vibration frequency of phonons, while the Tc of α-Mo2C sheets shows a dome-shaped profile under pressure, which suggests the more critical role of the electronic properties in α-Mo2C sheets. The β-Mo2C sheets not only possess a higher Tc but also have a much larger Hc2 (an order of magnitude larger than that of the α-Mo2C sheets), which may be related to a stronger electron-phonon coupling strength as well as a smaller vFl. Furthermore, the thickness-dependent Tc, RRR, and normal-state resistances were analyzed for α-Mo2C and β-Mo2C sheets, and the distinct thickness-dependent trends in the normal state can be explained by the stronger lattice scattering in β-Mo2C sheets. The distinct superconducting and normal-state electronic properties in α-Mo2C and β-Mo2C sheets should be related to their ordered and disordered carbon atom distributions, respectively. Our study provides a deep understanding of the superconductivity in α-Mo2C sheets and lays the groundwork for future research into β-Mo2C sheets, and the results may have great implications in the study of MXenes and superconductivity.
References
Anasori, B., Lukatskaya, M. R. & Gogotsi, Y. 2D metal carbides and nitrides (MXenes) for energy storage. Nat. Rev. Mater. 2, 16098 (2017).
Hantanasirisakul, K. & Gogotsi, Y. Electronic and optical properties of 2D transition metal carbides and nitrides (MXenes). Adv. Mater. 30, 1804779 (2018).
Shahzad, F. et al. Electromagnetic interference shielding with 2D transition metal carbides (MXenes). Science 353, 1137–1140 (2016).
Ghidiu, M., Lukatskaya, M. R., Zhao, M.-Q., Gogotsi, Y. & Barsoum, M. W. Conductive two-dimensional titanium carbide ‘clay’ with high volumetric capacitance. Nature 516, 78–82 (2014).
Lukatskaya, M. R. et al. Cation intercalation and high volumetric capacitance of two-dimensional titanium carbide. Science 341, 1502–1505 (2013).
Xu, C. et al. Large-area high-quality 2D ultrathin Mo2C superconducting crystals. Nat. Mater. 14, 1135–1141 (2015).
Liu, Z. et al. Phase transition and in situ construction of lateral heterostructure of 2D superconducting alpha/beta Mo2C with sharp interface by electron beam irradiation. Nanoscale 9, 7501–7507 (2017).
Morton, N. et al. Superconductivity of molybdenum and tungsten carbides. J. Less-Common Met. 25, 97–106 (1971).
Wang, L. et al. Magnetotransport properties in high-quality ultrathin two-dimensional superconducting Mo2C crystals. ACS nano 10, 4504–4510 (2016).
Tuo, M. F. et al. Ultrathin 2D transition metal carbides for ultrafast pulsed fiber lasers. ACS Photonics 5, 1808–1816 (2018).
Xu, C. et al. Strongly coupled high-quality graphene/2D Superconducting Mo2C vertical heterostructures with aligned orientation. ACS Nano 11, 5906–5914 (2017).
Liu, Z. et al. Grain boundaries and tilt-angle-dependent transport properties of a 2D Mo2C superconductor. Nano Lett. 19, 857–865 (2019).
Geng, D. C. et al. Controlled growth of ultrathin Mo2C superconducting crystals on liquid Cu surface. 2D Mater 4, 011012 (2016).
Zhang, Z. et al. Layer-stacking, defects, and robust superconductivity on the Mo-terminated surface of ultrathin Mo2C flakes grown by CVD. Nano Lett. 19, 3327–3335 (2019).
Li, T., Luo, W., Kitadai, H., Wang, X. & Ling, X. Probing the domain architecture in 2D alpha-Mo2C via polarized raman spectroscopy. Adv. Mater. 31, 1807160 (2019).
Locquet, J.-P. et al. Doubling the critical temperature of La1.9Sr0.1CuO4 using epitaxial strain. Nature 394, 453–456 (1998).
Chen, X. H. et al. Superconductivity at 43 K in SmFeAsO1-xFx. Nature 453, 761–762 (2008).
Sun, J. P. et al. Dome-shaped magnetic order competing with high-temperature superconductivity at high pressures in FeSe. Nat. Commun. 7, 12146 (2016).
Olsen, J. L., Andres, K. & Geballe, T. H. The pressure dependence of the superconducting transition temperature. Phys. Lett. A 26, 239–240 (1968).
Chu, C. W., Smith, T. F. & Gardner, W. E. Superconductivity of Rhenium and Some Rhenium-Osmium Alloys at High Pressure. Phys. Rev. Lett. 20, 198–201 (1968).
Schrieffer, J. R. & Brooks, J. S. Handbook of high-temperature superconductivity theory and experiment. 427–462 (Springer-Verlag, 2007).
Sun, J. P. et al. High-Tc superconductivity in FeSe at high pressure: dominant hole carriers and enhanced spin fluctuations. Phys. Rev. Lett. 118, 147004 (2017).
Sun, J. P. et al. Reemergence of high-Tc superconductivity in the (Li1-xFex)OHFe1-ySe under high pressure. Nat. Commun. 9, 380 (2018).
Liu, Z. et al. Unique domain structure of two-dimensional alpha-Mo2C superconducting crystals. Nano Lett. 16, 4243–4250 (2016).
Lönnberg, B. Thermal expansion studies on the subcarbides of group V and VI transition metals. J. Less-Common Met. 120, 135–146 (1986).
Zhao, X. X. et al. Edge segregated polymorphism in 2D molybdenum carbide. Adv. Mater. 31, 1808343 (2019).
Lin, X., Zhu, Z. W., Fauqué, B. & Behnia, K. Fermi surface of the most dilute superconductor. Phys. Rev. X 3, 021002 (2013).
Fan, Y. J. et al. Quantum superconductor-insulator transition in titanium monoxide thin films with a wide range of oxygen contents. Phys. Rev. B 98, 064501 (2018).
Gajar, B. et al. Substrate mediated nitridation of niobium into superconducting Nb2N thin films for phase slip study. Sci. Rep. 9, 8811 (2019).
Lei, J. C., Kutana, A. & Yakobson, B. I. Predicting stable phase monolayer Mo2C (MXene), a superconductor with chemically-tunable critical temperature. J. Mater. Chem. C. 5, 3438–3444 (2017).
Qiao, J.-B. et al. One-step synthesis of van der Waals heterostructures of graphene and two-dimensional superconducting α-Mo2C. Phys. Rev. B 95, 201403 (2017).
McMillan, W. L. Transition temperature of strong-coupled superconductors. Phys. Rev. 167, 331–344 (1968).
Tomita, T., Hamlin, J. J., Schilling, J. S., Hinks, D. G. & Jorgensen, J. D. Dependence of Tc on hydrostatic pressure in superconducting MgB2. Phys. Rev. B 64, 092505 (2001).
Okaz, A. M. & Keesom, P. H. Specific heat and magnetization of the superconducting monoxides: NbO and TiO. Phys. Rev. B 12, 4917–4928 (1975).
Chen, X. J. et al. Pressure-induced phonon frequency shifts in transition-metal nitrides. Phys. Rev. B 70, 014501 (2004).
Chen, X. J., Zhang, H. & Habermeier, H.-U. Effects of pressure on the superconducting properties of magnesium diboride. Phys. Rev. B 65, 144514 (2002).
Liua, H. Y., Naumova, I. I., Hoffmannb, R., Ashcroftc, N. W. & Hemleyd, R. J. Potential high-Tc superconducting lanthanum and yttrium hydrides at high pressure. Proc. Natl Acad. Sci. USA 114, 6990–6995 (2017).
Hopfield, J. J. On the systematics of high Tc in transition metal materials. Physica 55, 41–49 (1971).
Eiling, A. & Schilling, J. S. Pressure and temperature dependence of electrical resistivity of Pb and Sn from 1-300 K and 0-10 GPa use as continuous resistive pressure monitor accurate over wide temperature range; superconductivity under pressure in Pb, Sn and In. J. Phys. F. Met. Phys. 11, 623–639 (1981).
Zha, X.-H. et al. Intrinsic structural, electrical, thermal, and mechanical properties of the promising conductor Mo2C MXene. J. Phys. Chem. C. 120, 15082 (2016).
Liu, Y. Z., Jiang, Y. H., Zhou, R., Liu, X. F. & Feng, J. Elastic and thermodynamic properties of Mo2C polymorphs from first principles calculations. Ceram. Int. 41, 5239–5246 (2015).
Woollam, J. A. & Chu, C. W. High-pressure and low-temperature physics (Springer Science & Business Media, 2012).
Suderow, H., Tissen, V. G., Brison, J. P., Martínez, J. L. & Vieira, S. Pressure induced effects on the fermi surface of superconducting 2H-NbSe2. Phys. Rev. Lett. 95, 117006 (2005).
Qi, Y. et al. Superconductivity in Weyl semimetal candidate MoTe2. Nat. Commun. 7, 11038 (2016).
Pan, X. C. et al. Pressure-driven dome-shaped superconductivity and electronic structural evolution in tungsten ditelluride. Nat. Commun. 6, 7805 (2015).
Tinkham, M. Introduction to superconductivity (McGraw-Hill, 1996).
Spivak, B., Zyuzin, A. & Hruska, M. Quantum superconductor-metal transition. Phys. Rev. B 64, 132502 (2001).
Song, J. C., Reizer, M. Y. & Levitov, L. S. Disorder-assisted electron-phonon scattering and cooling pathways in graphene. Phys. Rev. Lett. 109, 106602 (2012).
Wang, H. et al. High-quality monolayer superconductor NbSe2 grown by chemical vapour deposition. Nat. Commun. 8, 394 (2017).
Navarro-Moratalla, E. et al. Enhanced superconductivity in atomically thin TaS2. Nat. Commun. 7, 11043 (2016).
Özer, M. M., Jia, Y., Zhang, Z., Thompson, J. R. & Weitering, H. H. Tuning the quantum stability and superconductivity of ultrathin metal alloys. Science 316, 1594–1597 (2007).
Crauste, O., Couëdo, F., Bergé, L., Marrache-Kikuchi, C. & Dumoulin, L. Destruction of superconductivity in disordered materials: a dimensional crossover. Phys. Rev. B 90, 060203 (2014).
Simonin, J. Surface term in the superconductive Ginzburg-Landau free energy: Application to thin films. Phys. Rev. B 33, 7830–7832 (1986).
Zhang, C. et al. Quantum griffiths singularities in TiO superconducting thin films with insulating normal states. NPG Asia Mater. 11, 76 (2019).
Gurvitch, M. et al. Effects of disorder on the transition temperature and transport properties of a low-Tc A15 superconductor: Mo3Ge. Phys. Rev. Lett. 41, 1616–1619 (1978).
Chen, X. H. et al. Correlation between the residual resistance ratio and magnetoresistance in MgB2. Phys. Rev. B 65, 024502 (2001).
Acknowledgements
This work was supported by the National Natural Science Foundation of China (51790491, 21521001, 51972296, 51325205, 51290273, and 51802314), the National Key Research and Development Program of China (2016YFA0300103 and 2019YFA0307900), the Strategic Priority Research Program of the Chinese Academy of Sciences (No. XDB30000000), and the Youth Innovation Promotion Association of the Chinese Academy of Sciences (number 2018223), and this work was partially carried out at the University of Science and Technology of China Center for Micro and Nanoscale Research and Fabrication.
Author information
Authors and Affiliations
Contributions
C.X. prepared the samples in the lab led by W.C.R. and H.M.C. X.L., Y.J.F., and C.M. performed the measurements. X.G.L., Y.W.Y., and W.C.R. designed and supervised the experiments. Y.J.F., X.L., W.C.R., Y.W.Y., and X.G.L. wrote the manuscript. All the authors contributed to the refinement of the manuscript. Y.J.F., C.X., and X.L. contributed equally.
Corresponding authors
Ethics declarations
Conflict of interest
The authors declare that they have no conflict of interest.
Additional information
Publisher’s note Springer Nature remains neutral with regard to jurisdictional claims in published maps and institutional affiliations.
Supplementary information
Rights and permissions
Open Access This article is licensed under a Creative Commons Attribution 4.0 International License, which permits use, sharing, adaptation, distribution and reproduction in any medium or format, as long as you give appropriate credit to the original author(s) and the source, provide a link to the Creative Commons license, and indicate if changes were made. The images or other third party material in this article are included in the article’s Creative Commons license, unless indicated otherwise in a credit line to the material. If material is not included in the article’s Creative Commons license and your intended use is not permitted by statutory regulation or exceeds the permitted use, you will need to obtain permission directly from the copyright holder. To view a copy of this license, visit http://creativecommons.org/licenses/by/4.0/.
About this article
Cite this article
Fan, Y., Xu, C., Liu, X. et al. Distinct superconducting properties and hydrostatic pressure effects in 2D α- and β-Mo2C crystal sheets. NPG Asia Mater 12, 60 (2020). https://doi.org/10.1038/s41427-020-00242-3
Received:
Revised:
Accepted:
Published:
Version of record:
DOI: https://doi.org/10.1038/s41427-020-00242-3
This article is cited by
-
Heterostructures coupling ultrathin metal carbides and chalcogenides
Nature Materials (2024)







