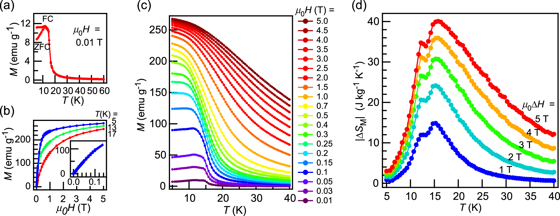
Fig. 2: Magnetization measurements for HoB2.

a Zero-field cooling (ZFC) and field cooling (FC) M–T curves for an applied field of μ0H = 0.01 T. b M–H curve at T = 5, 13, 17 K. Inset: Lower field range (T = 5 K). c M–T curves for a wide range of different applied fields. d Magnetic entropy change calculated from the M–T curves shown in c using Eq. (1). For a field change of 5 T, | ΔSM | peaks at 40.1 J kg−1 K−1 for T ~ 15 K.