Abstract
Magnetic refrigeration exploits the magnetocaloric effect, which is the entropy change upon the application and removal of magnetic fields in materials, providing an alternate path for refrigeration other than conventional gas cycles. While intensive research has uncovered a vast number of magnetic materials that exhibit a large magnetocaloric effect, these properties remain unknown for a substantial number of compounds. To explore new functional materials in this unknown space, machine learning is used as a guide for selecting materials that could exhibit a large magnetocaloric effect. By this approach, HoB2 is singled out and synthesized, and its magnetocaloric properties are evaluated, leading to the experimental discovery of a gigantic magnetic entropy change of 40.1 J kg−1 K−1 (0.35 J cm−3 K−1) for a field change of 5 T in the vicinity of a ferromagnetic second-order phase transition with a Curie temperature of 15 K. This is the highest value reported so far, to the best of our knowledge, near the hydrogen liquefaction temperature; thus, HoB2 is a highly suitable material for hydrogen liquefaction and low-temperature magnetic cooling applications.
Similar content being viewed by others
Introduction
The magnetocaloric effect (MCE) is a promising approach for environmentally friendly cooling, as it does not depend on the use of hazardous or greenhouse gases1,2,3,4 while being, in principle, able to attain a higher thermodynamic cycle efficiency1,5,6, where this cycle makes use of the magnetic entropy change (ΔSM) and the adiabatic temperature change (ΔTad) through the application/removal of a magnetic field in a material. Since large values of ΔSM are usually achieved near the magnetic transition temperature (Tmag), the working temperature range is confined around the Tmag of the material. The MCE was first used to achieve ultralow cryogenic temperatures (below 1 K)7 and has been widely used for liquefying He8, where the main component is the gadolinium gallium garnet Gd3Ga5O12(GGG)9. The remarkable discovery of giant MCEs near room temperature in families of materials such as Gd5Si2Ge210, La(Fe,Si)1311, and MnFeP1–xAsx3 shifted the main focus of research into finding and tuning new materials, such as NiMnIn Heusler alloys12, working around this temperature range due to its potential economic and environmental impact2.
On the other hand, there is an increasing demand for cooling systems around the hydrogen liquefaction temperature (T = 20.3 K), since liquid hydrogen is one of the candidates for green fuel in the substitution of petroleum-based fuels13 and is also widely needed as a rocket propellant and space exploration fuel14,15. It has been shown that MCE-based refrigerator prototypes are highly appropriate for this task5. In this context, the discovery of materials exhibiting a remarkable MCE response near the liquefaction temperature of hydrogen is highly anticipated.
One way of tackling this problem is by taking advantage of data-driven approaches, such as machine learning (ML), as it has been successfully applied to cases ranging from the modeling of new superconductors16,17 and thermoelectric materials18,19 to the prediction of the synthesizability of inorganic materials20. In the case of magnetism and magnetic materials, this approach has been successfully applied to the prediction of the Curie temperature (TC) of ferromagnets21,22 and to the design of new permanent magnets23,24, and new magnetic Heusler-type alloys25. However, for MCE materials, this kind of approach has not been extensively tried, being limited to first-principles calculations, which have been restricted to non-rare-earth systems26.
As a result of extensive research on magnetocaloric materials, accumulated data regarding the MCE properties of diverse types of materials have been made accessible in, e.g., recent reviews2,27. In addition, recent efforts to extract the Tmag of materials from research reports have led to the creation of MagneticMaterials28, an autogenerated database of magnetic materials built by natural language processing that contains a vast number of materials whose magnetic properties are known. Among these materials, there are still many regarding which their MCE properties have not been evaluated. Therefore, by combining the known and unknown data, a data-driven trial can be used as a guide to find materials with a high MCE response.
In this work, we attempt a novel approach by using ML to screen and select compounds that might exhibit a high MCE performance, focusing on ferromagnetic materials with a TC of ~20 K. For this purpose, we collected data from the literature2,28 to train an ML algorithm in an attempt to predict the ΔSM of a given material composition. By this method, we singled out HoB2 (TC = 15 K29) as a possible candidate, leading us to the experimental discovery of a gigantic MCE of | ΔSM | = 40.1 J kg−1 K−1 (0.35 J cm−3 K−1) for a field change of 5 T in this material.
Materials and methods
Data acquisition and machine-learning model building
Figure 1 shows a schematic flow exhibiting the construction of the machine-learned model for MCE materials. We started with the screening of magnetocaloric relevant papers from the MagneticMaterials28 database and gathered the reported MCE properties from a total of 219 different journal titles contained therein, mostly focusing on the reported peak values of | ΔSM | for a given field change (μ0ΔH) of a given material composition, combining these data with the data available in a recent review2 by Franco et. al. To remove any possible duplicates in the final dataset, the materials that contained more than one value of | ΔSM | for a given μ0ΔH had their values averaged, and this average was used as the final value. Last, we selected the data within the range of μ0ΔH ≤ 5 for compatibility with our experimental setup, obtaining 1644 data points that were used for the model construction.
a As a first step, magnetocaloric relevant papers were screened from the MagneticMaterials28 database, followed by the extraction of MCE data from these papers and from a previous review2. b Features based on compositions were extracted by the XenonPy30 python package and used in conjunction with the reported field change values. c Model optimization was achieved using the HyperOpt package by minimizing the MAE score. d The model performance was evaluated by a comparison of the predicted ΔSM values obtained from the constructed model with the reported ones for ~300 unseen materials by the model, where an MAE of 1.8 J kg−1 K−1 was achieved.
To predict the MCE property, namely, |ΔSM | , of a material given its chemical formula, we used three different types of features in the final feature vector (Table 1). The first type is the composite-type features that were extracted using the XenonPy30 python package. These composite features were obtained by combining all 58 element-level properties of the atomic species contained in a chemical composition, such as the atomic mass of the constituent elements, density, etc., which are readily available inside the XenonPy package (their complete list is given in Supplementary Information Section 1). To generate these composite features, seven different featurizers implemented in XenonPy were used: weighted average, weighted sum, weighted variance, geometric mean, harmonic mean, max pooling and min pooling (their mathematical definitions are given in Supplementary Information Section 1), with a total of 406 composite features being obtained. The second type is the amount of each atomic species present in each compound chemical formula, restricted to the elements between 1H and 94Pu, which is also readily implemented in XenonPy using the counting featurizer. The last feature used is the experimental applied field change, which is obtained directly from the experimental reports. After generating the features with XenonPy (composite features + counting featurizer), yielding a total of 500 features, we removed the features of which all values were zero, infinite or divided by zero (not a number, NaNs), ending with 343 composite features, 64 counting features and ΔH, totaling 408 features in the final feature vector. We summarize them in the Table 1 and show all the features used in Supplementary Information Section 1.
After the extracted features were combined with the reported values of | ΔSM | , a gradient boosted tree algorithm implemented in the XGBoost31 package was trained over 80% of the total data. To further improve the prediction power, model selection and hyperparameter tuning were performed by using a Bayesian optimization technique implemented in the HyperOpt32 package by minimizing the mean absolute error (MAE) tenfold cross-validation score. The resulting model achieved an MAE of 1.8 J kg–1 K–1 when tested on the remaining 20% of the data. For more details of the hyperparameters used, model building and performance comparison with other machine-learning algorithms, refer to Supplementary Information Section 2.
After the model construction, we examined 818 unknown ΔSM text-mined compositions with TC ≤ 150 K contained in the MagneticMaterials28 database using the following criteria: the predicted value of | ΔSM | is higher than 15 J kg–1 K–1, alloys only, the chemical composition contains heavier rare earth elements (Gd-Er), and no toxic elements, such as arsenic, are present. As a result, HoB2 (AlB2 type, space group P6/mmm) was selected, as it had the highest predicted | ΔSM | (16.3 J kg–1 K–1) for a field change of 5 T among the binary candidates, followed by its synthesis and the characterization of its MCE properties.
Sample synthesis
Polycrystalline samples of HoB2 were synthesized by an arc-melting process in a water-cooled copper heath arc furnace. Stoichiometric amounts of Ho (99.9% purity) and B (99.5% purity) were arc melted under an Ar atmosphere. To ensure homogeneity, the sample was flipped and melted several times, followed by annealing in an evacuated quartz tube at 1000 °C for 24 hours and water quenching. X-ray diffraction was carried out, and HoB2 was confirmed as the main phase structure (see Supplementary Information Section 3).
Magnetic measurements
Magnetic measurements were carried out by a superconducting quantum interference device (SQUID) magnetometer contained in the MPMS XL (Magnetic Property Measurement System, Quantum Design).
Specific heat measurement
Specific heat measurement was carried out in a PPMS (Physical Property Measurement System, Quantum Design) equipped with a heat capacity option.
Results
Figure 2a shows the isofield magnetization (M–T) curve of the synthesized polycrystalline HoB2 for an applied field of 0.01 T. HoB2 orders ferromagnetically at TC = 15 K without thermal hysteresis, consistent with a previous report29, and the isothermal magnetization (M–H) at T = 5 K, shown in Fig. 2b, reveals a negligible magnetic hysteresis. A vast number of M–T curves for fields ranging from 0–5 T were measured (Fig. 2c) to evaluate | ΔSM | (Fig. 2d) using the Maxwell relation:
For a field change of 5 T, we obtained | ΔSM | = 40.1 J kg–1 K–1 in the vicinity of TC.
a Zero-field cooling (ZFC) and field cooling (FC) M–T curves for an applied field of μ0H = 0.01 T. b M–H curve at T = 5, 13, 17 K. Inset: Lower field range (T = 5 K). c M–T curves for a wide range of different applied fields. d Magnetic entropy change calculated from the M–T curves shown in c using Eq. (1). For a field change of 5 T, | ΔSM | peaks at 40.1 J kg−1 K−1 for T ~ 15 K.
For further evaluation of the MCE performance of HoB2, a specific heat measurement was carried out, as shown in Fig. 3a, revealing the presence of two peaks: one in a lower temperature regime (≈11 K) and a second at TC = 15 K. The first peak, which can also be seen in the | ΔSM | curves (Fig. 2c), is probably due to a spin-reorientation transition similar to that observed in the related compound DyB233, but at this stage, we keep its physical origin an open question to be clarified in a future work. To obtain the entropy curves S(T) at different applied fields (Fig. 3b), the zero-field entropy curve [S(μ0H = 0 T, T)] was first calculated using the data from Fig. 3a through the following equation:
where Tmin = 1.8 K, and the | ΔSM | values obtained from the magnetization measurements were added to the zero-field entropy curve (shown as the black dots in Fig. 3b). For more details about this method, see Supplementary Information Section 4. The adiabatic temperature change, ΔTad, defined as ΔTad[Ti, μ0ΔH = μ0(Hf – H0)] = Tf(Si, μ0Hf ≠ 0) – Ti(Si, μ0H0 = 0 T), was obtained from Fig. 3b by first interpolating the entropy curves with the applied field, followed by taking the adiabatic difference with respect to the zero-field entropy curve (see inset of Fig. 3b). The maximum obtained ΔTad, shown in Fig. 3c, was 12 K for a field change of 5 T.
a Zero-field-specific heat of HoB2. b Entropy as a function of temperature obtained from the zero-field-specific heat measurement. Entropy curves under magnetic fields are obtained by combining the entropy curve at 0 T with the | ΔSM | values of Fig. 2d. The inset shows the definitions of ΔS and ΔTad. c ΔTad calculated from b.
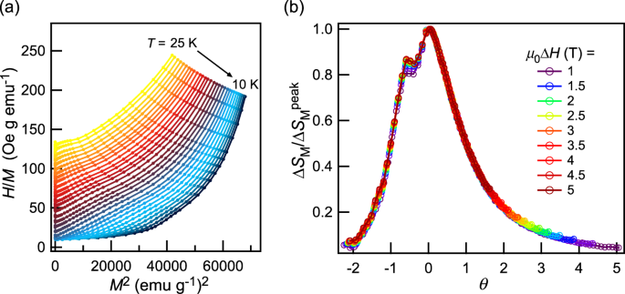
To further understand the ferromagnetic transition at TC = 15 K, Arrott plots were constructed (Fig. 4a), showing that all the plot slopes are positive. According to the Banerjee criterion34, this behavior is characteristic of a second-order phase transition (SOPT). Furthermore, a so-called universal scaling curve (Fig. 4b) proposed by earlier works35,36,37,38, which depicts the normalized entropy change | ΔSM | / | ΔSMpeak | as a function of a normalized temperature θ, was built, where θ is defined as:
where Tr1 and Tr2 are reference temperatures, for which | ΔSM | / | ΔSMpeak | = 0.5. For the SOPT, these curves are expected to collapse into each other, exhibiting a universal behavior, while for first-order transitions (FOPTs), a nonuniversal and dispersive behavior between the curves appears.
a Arrott plots obtained from the M-T curves shown in Fig. 2c. b Normalized entropy curve as a function of the reduced temperature θ. All curves collapse perfectly into each other, indicating a possible SOPT for the ferromagnetic transition at TC = 15 K.
In the obtained normalized entropy curves (Fig. 4b), the former behavior is observed as all the normalized entropy curves collapse into each other. Although a divergence at θ = –1 is observed, it can be associated with the presence of the second magnetic transition at lower temperatures, similarly observed for materials that exhibit more than one magnetic transition39,40. The absence of magnetic and thermal hysteresis coupled with the observation of a universal entropy curve suggests that the transition at TC = 15 K is of second order. All the above analyses are also in accordance with a second-order transition for the low-temperature transition (~11 K), but further experiments are required to conclude the nature and origin of this transition.
Discussion
To compare the performance of HoB2 with that of other candidates for refrigeration applications near the hydrogen liquefaction temperature, such as ErAl25, representative large | ΔSM | (for μ0ΔH = 5 T) materials at ~T = 20 K are displayed in Table 2. We also show the values of | ΔSM | in units of J cm–3 K–1, which is the ideal unit from the application point of view6,27.
Except for single-crystalline ErCo2, which exhibits an FOPT, HoB2 manifests the largest | ΔSM | (in both J kg–1 K–1 and J cm–3 K–1) and ΔTad for a field change of 5 T around the hydrogen liquefaction temperature. Among materials whose | ΔSM | value peaks around their SOPT, it also exhibits the largest volumetric entropy change (|ΔSM | in J cm–3 K–1) in the temperature range from liquid helium (4.2 K) to liquid nitrogen (77 K). For a more comprehensive comparison of materials between liquid helium and liquid nitrogen range, see Supplementary Information Section 5.
It is important to recall that this gigantic magnetocaloric effect is observed in the vicinity of an SOPT at TC = 15 K. SOPT materials have the advantage of being free of magnetic and thermal hysteresis while having broader ΔSM peaks. Thus, they are likely to be more suitable for refrigeration purposes than FOPT materials, which tends to be plagued by these problems1,41. In other words, HoB2 is a high-performance candidate material for low-temperature magnetic refrigeration applications such as hydrogen liquefaction.
Conclusions
In summary, by using a machine-learning aided approach, we have successfully unveiled a ferromagnet that will manifest a high magnetocaloric performance with a transition temperature around the hydrogen liquefaction temperature. By synthesizing and evaluating its MCE properties, we discovered a gigantic magnetocaloric effect of HoB2 in the vicinity of an SOPT at TC = 15 K, where the maximum obtained magnetocaloric entropy change was 40.1 J kg−1 K–1 (0.35 J cm–3 K–1) with an adiabatic temperature change of 12 K for a field change of 5 T, the highest value reported until now, to the best of our knowledge, for materials working near the liquefaction temperature of hydrogen.
References
Franco, V., Blázquez, J. S., Ingale, B. & Conde, A. The magnetocaloric effect and magnetic refrigeration near room temperature: materials and models. Annu. Rev. Mater. Res. 42, 305–342 (2012).
Franco, V. et al. Magnetocaloric effect: from materials research to refrigeration devices. Prog. Mater. Sci. 93, 112–232 (2018).
Tegus, O., Brück, E., Buschow, K. H. J. & De Boer, F. R. Transition-metal-based magnetic refrigerants for room-temperature applications. Nature 415, 150–152 (2002).
Gutfleisch, O. et al. Magnetic materials and devices for the 21st century: stronger, lighter, and more energy efficient. Adv. Mater. 23, 821–842 (2011).
Numazawa, T., Kamiya, K., Utaki, T. & Matsumoto, K. Magnetic refrigerator for hydrogen liquefaction. Cryog. (Guildf.). 62, 185–192 (2014).
Gottschall, T. et al. Making a cool choice: the materials library of magnetic refrigeration. Adv. Energy Mater. 9, 1901322 (2019).
Giauque, W. F. & MacDougall, D. P. Attainmentof temperatures below 1° absolute by demagnetization of Gd2(SO4)3·8H2O. Phys. Rev. J. Arch. 43, 768–768 (1933).
McMichael, R. D., Ritter, J. J. & Shull, R. D. Enhanced magnetocaloric effect in Gd3Ga5-xFexO12. J. Appl. Phys. 73, 6946–6948 (1993).
Levitin, R. Z., Snegireva, V. V., Kopylov, A. V., Lagutin, A. S. & Gerber, A. Magnetic method of magnetocaloric effect determination in high pulsed magnetic fields. J. Magn. Magn. Mater. 170, 223–227 (1997).
Pecharsky, V. K. & Gschneidner, K. A. Giant magnetocaloric effect in Gd5(Si2Ge2). Phys. Rev. Lett. 78, 4494–4497 (1997).
Hu, F. X. et al. Influence of negative lattice expansion and metamagnetic transition on magnetic entropy change in the compound LaFe11.4Si1.6. Appl. Phys. Lett. 78, 3675–3677 (2001).
Singh, S. et al. Large magnetization and reversible magnetocaloric effect at the second-order magnetic transition in Heusler materials. Adv. Mater. 28, 3321–3325 (2016).
Jones, L. W. Liquid hydrogen as a fuel for the future. Science 174, 367–370 (1971).
Shirron, P. J. Applications of the magnetocaloric effect in single-stage, multi-stage and continuous adiabatic demagnetization refrigerators. Cryog. (Guildf.). 62, 130–139 (2014).
Chato, D. Cryogenic technology development for exploration missions. In: 45th AIAA Aerospace Sciences Meeting and Exhibit (American Institute of Aeronautics and Astronautics, 2007). https://doi.org/10.2514/6.2007-953.
Stanev, V. et al. Machine learning modeling of superconducting critical temperature. NPJ Comput. Mater. 4, 29 (2018).
Matsumoto, R. et al. Two pressure-induced superconducting transitions in SnBi2Se4 explored by data-driven materials search: new approach to developing novel functional materials including thermoelectric and superconducting materials. Appl. Phys. Express 11, 093101 (2018).
Sparks, T. D., Gaultois, M. W., Oliynyk, A., Brgoch, J. & Meredig, B. Data mining our way to the next generation of thermoelectrics. Scr. Mater. 111, 10–15 (2016).
Matsumoto, R. et al. Data-driven exploration of new pressure-induced superconductivity in PbBi2Te4. Sci. Technol. Adv. Mater. 19, 909–916 (2018).
Aykol, M. et al. Network analysis of synthesizable materials discovery. Nat. Commun. 10, 2018 (2019).
Dam, H. C. et al. Important descriptors and descriptor groups of curie temperatures of rare-earth transition-metal binary alloys. J. Phys. Soc. Jpn. 87, 113801 (2018).
Nelson, J. & Sanvito, S. Predicting the Curie temperature of ferromagnets using machine learning. Phys. Rev. Mater. 3, 104405 (2019).
Möller, J. J., Körner, W., Krugel, G., Urban, D. F. & Elsässer, C. Compositional optimization of hard-magnetic phases with machine-learning models. Acta Mater. 153, 53–61 (2018).
Körner, W., Krugel, G., Urban, D. F. & Elsässer, C. Screening of rare-earth-lean intermetallic 1-11 and 1-11-X compounds of YNi9In2-type for hard-magnetic applications. Scr. Mater. 154, 295–299 (2018).
Sanvito, S. et al. Accelerated discovery of new magnets in the Heusler alloy family. Sci. Adv. 3, e1602241 (2017).
Bocarsly, J. D. et al. A Simple computational proxy for screening magnetocaloric compounds. Chem. Mater. 29, 1613–1622 (2017).
Gschneidner, A., Pecharsky, V. K. & Tsokol, A. O. Recent developments in magnetocaloric materials. Rep. Prog. Phys. 68, 1479–1539 (2005).
Court, C. J. & Cole, J. M. Auto-generated materials database of Curie and Néel temperatures via semi-supervised relationship extraction. Sci. Data 5, 180111 (2018).
Roger, J. et al. The ternary RE-Si-B systems (RE = Dy, Ho, Er and Y) at 1270 K: solid state phase equilibria and magnetic properties of the solid solution REB2-xSix (RE = Dy and Ho). J. Alloy. Compd. 417, 72–84 (2006).
Yamada, H. et al. Predicting materials properties with little data using shotgun transfer learning. ACS Cent. Sci. (2019) https://doi.org/10.1021/acscentsci.9b00804.
Chen, T. & Guestrin, C. XGBoost. In Proceedings of the 22nd ACM SIGKDD International Conference on Knowledge Discovery and Data Mining - KDD ’16 785–794 (ACM Press, 2016) https://doi.org/10.1145/2939672.2939785.
Bergstra, J., Komer, B., Eliasmith, C., Yamins, D. & Cox, D. D. Hyperopt: a Python library for model selection and hyperparameter optimization. Comput. Sci. Discov. 8, 014008 (2015).
Meng, H. et al. Reversible magnetocaloric effect and refrigeration capacity enhanced by two successive magnetic transitions in DyB2. Sci. China Technol. Sci. 55, 501–504 (2012).
Banerjee, B. K. On a generalised approach to first and second order magnetic transitions. Phys. Lett. 12, 16–17 (1964).
Franco, V., Blázquez, J. S. & Conde, A. Field dependence of the magnetocaloric effect in materials with a second order phase transition: a master curve for the magnetic entropy change. Appl. Phys. Lett. 89, 222512 (2006).
Franco, V., Conde, A., Romero-Enrique, J. M. & Blázquez, J. S. A universal curve for the magnetocaloric effect: an analysis based on scaling relations. J. Phys. Condens. Matter 20, 285207 (2008).
Franco, V. & Conde, A. Scaling laws for the magnetocaloric effect in second order phase transitions: From physics to applications for the characterization of materials. Int. J. Refrig. 33, 465–473 (2010).
Bonilla, C. M. et al. Universal behavior for magnetic entropy change in magnetocaloric materials: An analysis on the nature of phase transitions. Phys. Rev. B 81, 224424 (2010).
Zhang, Y. et al. Study of the magnetic phase transitions and magnetocaloric effect in Dy2Cu2In compound. J. Alloy. Compd. 667, 130–133 (2016).
Yi, Y., Li, L., Su, K., Qi, Y. & Huo, D. Large magnetocaloric effect in a wide temperature range induced by two successive magnetic phase transitions in Ho2Cu2Cd compound. Intermetallics 80, 22–25 (2017).
Smith, A. et al. Materials challenges for high performance magnetocaloric refrigeration devices. Adv. Energy Mater. 2, 1288–1318 (2012).
Li, D. X. et al. Large reversible magnetocaloric effect in ferromagnetic semiconductor EuS. Solid State Commun. 193, 6–10 (2014).
Pecharsky, V. K. & Gschneidner, K. A. Jr. Magnetocaloric effect from indirect measurements: Magnetization and heat capacity. J. Appl. Phys. 86, 565–575 (1999).
Wada, H., Tanabe, Y., Shiga, M., Sugawara, H. & Sato, H. Magnetocaloric effects of Laves phase Er(Co1−xNix)2 compounds. J. Alloy. Compd. 316, 245–249 (2001).
Mo, Z.-J. et al. Low field induced giant magnetocaloric effect in TmGa compound. Appl. Phys. Lett. 103, 52409 (2013).
Hashimoto, T. et al. New application of complex magnetic materials to the magnetic refrigerant in an Ericsson magnetic refrigerator. J. Appl. Phys. 62, 3873–3878 (1987).
Meng, L. et al. Magnetic properties and giant reversible magnetocaloric effect in GdCoC2. RSC Adv. 6, 74765–74768 (2016).
Yamamoto, T. A., Nakagawa, T., Sako, K., Arakawa, T. & Nitani, H. Magnetocaloric effect of rare earth mono-nitrides, TbN and HoN. J. Alloy. Compd. 376, 17–22 (2004).
Ćwik, J., Koshkid’ko, Y., Nenkov, K., Tereshina, E. A. & Rogacki, K. Structural, magnetic and magnetocaloric properties of HoNi2 and ErNi2 compounds ordered at low temperatures. J. Alloy. Compd. 735, 1088–1095 (2018).
Zhang, H. et al. Large reversible magnetocaloric effects in ErFeSi compound under low magnetic field change around liquid hydrogen temperature. Appl. Phys. Lett. 102, 092401 (2013).
Xu, Y., Yamazaki, M. & Villars, P. Inorganic materials database for exploring the nature of material. Jpn. J. Appl. Phys. 50, 11RH02 (2011).
Acknowledgements
We acknowledge fruitful discussions with Mohammed ElMassalami. This work was supported by the JST-Mirai Program Grant No. JPMJMI18A3, JSPS KAKENHI Grant No. 19H02177, and JST CREST Grant No. JPMJCR16Q6. P.B.C. also acknowledges scholarship support from the Ministry of Education, Culture, Sports, Science and Technology (MEXT), Japan.
Author information
Authors and Affiliations
Contributions
Y.T. conceived the project idea. P.B.C. performed the data acquisition, preprocessing, machine-learning model building, and material prediction with the assistance of H.Z. P.B.C. and K.T. performed the sample synthesis with the assistance of H.T. K.T. carried out the magnetization measurements and heat capacity measurements with T.D. Y.K.T. and P.B.C. analyzed the experimental data. P.B.C. and K.T. wrote the manuscript. All authors discussed the manuscript together.
Corresponding authors
Ethics declarations
Conflict of interest
The authors declare that they have no conflict of interest.
Additional information
Publisher’s note Springer Nature remains neutral with regard to jurisdictional claims in published maps and institutional affiliations.
Supplementary information
Rights and permissions
Open Access This article is licensed under a Creative Commons Attribution 4.0 International License, which permits use, sharing, adaptation, distribution and reproduction in any medium or format, as long as you give appropriate credit to the original author(s) and the source, provide a link to the Creative Commons license, and indicate if changes were made. The images or other third party material in this article are included in the article’s Creative Commons license, unless indicated otherwise in a credit line to the material. If material is not included in the article’s Creative Commons license and your intended use is not permitted by statutory regulation or exceeds the permitted use, you will need to obtain permission directly from the copyright holder. To view a copy of this license, visit http://creativecommons.org/licenses/by/4.0/.
About this article
Cite this article
Castro, P.B.d., Terashima, K., Yamamoto, T.D. et al. Machine-learning-guided discovery of the gigantic magnetocaloric effect in HoB2 near the hydrogen liquefaction temperature. NPG Asia Mater 12, 35 (2020). https://doi.org/10.1038/s41427-020-0214-y
Received:
Revised:
Accepted:
Published:
Version of record:
DOI: https://doi.org/10.1038/s41427-020-0214-y
This article is cited by
-
Impact of Gd Substitution on the Structure, Magnetic Ordering, and Magnetocaloric Response of La0.67Ca0.33MnO3
Journal of Low Temperature Physics (2026)
-
Relation between 4f-magnetism and the low-temperature magnetocaloric effect in multiferroic hexagonal manganites
Communications Materials (2025)
-
Highly reversible magnetocaloric effect in Gd5Si0.25Ge3.75 and Gd5Si0.5Ge3.5 under moderate magnetic fields for hydrogen liquefaction
Communications Materials (2025)
-
Anomalous magnetocaloric behaviour and extended temperature range in Er0.7R0.3(Fe0.125Co0.875)2 multicomponent laves phase compounds
Emergent Materials (2025)
-
Giant magnetocaloric effect in a rare-earth-free layered coordination polymer at liquid hydrogen temperatures
Nature Communications (2024)






