Abstract
Chemical substitution in correlated electron systems often produces asymmetric doping effects, where different dopants induce qualitatively distinct changes in electronic or magnetic properties, profoundly influencing phase diagrams and quantum criticality. Here, we investigate the chemical substitution effects of 5% Hg on CeRhIn5 by systematic transport measurements under pressure. In contrast to dilute hole-doped (0.45% Hg) CeRhIn5, which exhibits superconductivity near a Kondo-breakdown type antiferromagnetic (AFM) quantum critical point (QCP), or electron-doped (4.4% Sn) CeRhIn5, which shows superconductivity near a spin-density-wave (SDW) type QCP, the heavily hole-doped (5% Hg) compound shows no superconductivity and evolves through two distinct AFM phases before entering a Fermi-liquid regime, with the AFM QCP likely of SDW type. The contrasting responses to electron and hole substitutions arise from their distinct influences on the local electronic structure. Electron doping induces homogeneous effects, whereas hole doping nucleates localized magnetic droplets that grow with increasing concentration, stabilizing new AFM order and weakening Kondo coupling. These results demonstrate how asymmetric doping reshapes the interplay between magnetism, superconductivity, and quantum criticality, providing mechanistic insights into doping-tuned quantum phase evolution and criticality in heavy-fermion and other correlated electron systems.
Similar content being viewed by others
Introduction
Disorder induced by chemical substitution is generally undesirable because it obscures the intrinsic material properties and complicates the interpretation of the experimental results. Nevertheless, chemical substitution remains a powerful tool for tuning the electronic, magnetic, and structural properties of correlated electron systems. In high-temperature superconductors, for example, unconventional superconductivity often emerges near a magnetic quantum critical point (QCP), where the magnetic transition temperature is suppressed to zero1,2,3,4,5. Chemical substitution is widely employed to access the QCP and probe the underlying mechanisms of exotic ground states2,3,4,5. Importantly, asymmetric doping effects have been observed across diverse correlated electron systems, including cuprates6,7,8, pnictides9,10,11, and heavy fermion compounds12,13,14,15,16, where different types of dopants induce qualitatively distinct changes in electronic or magnetic properties, thereby reshaping phase diagrams and tuning quantum criticality. Despite their ubiquity, further systematic studies are essential to elucidate the microscopic origin of the asymmetric doping effect, especially regarding their interplay with quantum criticality.
CeRhIn5 is a prototypical quantum critical heavy fermion material that belongs to the CeTIn5 (T = Co, Rh, Ir) family. It forms a tetragonal HoCoGa5 structure with the space group P4/mmm and exhibits long-range antiferromagnetic (AFM) order with an incommensurate magnetic structure below TN = 3.8 K at ambient pressure17,18. The contrasting response to electron (Sn) and hole (Hg, Cd, or Zn) substitutions has been reported in studies of chemical substitutions for the In sites of CeRh(In1-xMx)5 (M represents the doping substitutions)12,13,14,15,16. In the case of Sn substitution, the AFM transition monotonically decreases to zero temperature at a critical concentration of 7%12. Under pressure, Sn doping rigidly shifts the temperature–pressure (T–P) phase diagram of CeRhIn5 to lower pressures19,20,21, and the quantum critical signatures remain near the pressure-induced AFM QCP20,21. However, the nature of quantum criticality is tuned from the Kondo-breakdown type in pure CeRhIn5 to the spin-density-wave (SDW) type in Sn-doped CeRhIn521. In contrast to the monotonic suppression of the AFM transition by Sn doping, two distinct AFM ground states emerge with increasing hole concentrations, accompanied by a change in the magnetic structure13,14,15,16. The high-pressure studies on 0.45% Hg-doped CeRhIn5 revealed that, despite the suppression of the superconducting transition temperature, the slight Hg doping neither shifts the quantum critical pressure of pure CeRhIn5 nor affects the characteristics of quantum criticality22.
To further explore the non-trivial hole doping effects on the magnetic phase diagram and quantum criticality, we systematically investigated the transport properties of 5% Hg-doped CeRhIn5 under pressure, which is located on the higher Hg-doping side with a commensurate magnetic structure13,15. Unlike pure, 4.4% Sn-doped, and 0.45% Hg-doped CeRhIn5, which exhibit pressure-induced superconductivity near the AFM QCP, 5% Hg-doped CeRhIn5 undergoes two distinct AFM ground states without pressure-induced superconductivity. The asymmetric responses to the electron and hole chemical substitutions can be attributed to their distinct influences on the electronic structure around the dopants.
Experimental method
Single crystals of CeRh(In1-xHgx)5 were synthesized using a standard In flux method12,13,14,15,16. The high-quality starting materials, Ce (rod, 99.9%), Rh (powder, 99.99%), In (ingot, 99.9995%), and Hg (liquid, 99.999%), were sealed in a quartz tube under vacuum with a molar ratio of Ce: Rh: In: Hg = 1: 1: F(1-x): F(x), where F = 20. Most of the excess In flux was removed by centrifugation at 600 °C, and the residual flux on the crystal surface was further eliminated by polishing with sandpaper before measurements. The Hg concentration was determined by energy dispersive X-ray spectroscopy measurements. The actual concentration is used throughout this paper. The high-pressure transport measurements were performed using the Van der Pauw method23 in a diamond-anvil cell made of Be-Cu alloy, with NaCl powder as the pressure medium to ensure a quasi-hydrostatic pressure environment. The pressure inside the cell was determined using the ruby fluorescence method24. A HelioxVL system that generates a maximum magnetic field of 12 T was used for the transport measurements in the temperature range of 0.3–20 K. A commercial superconducting quantum interference device magnetometer (MPMS, Quantum Design) was used for the susceptibility measurements in the temperature range of 1.8 to 305 K.
Results and discussion
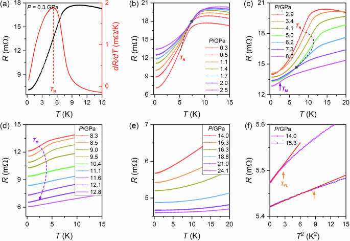
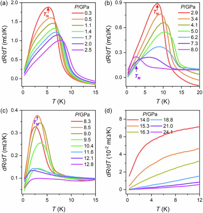
The AFM transition was confirmed by the susceptibility measurements at ambient pressure (Supplementary Fig. S1), which clearly show that TN increases from 3.8 K in CeRhIn5 to 5.1 K upon 5% Hg doping. To track how this AFM transition evolves under pressure, we performed low-temperature resistance measurements up to 24.1 GPa (Fig. 1, see also Supplementary Fig. S2). Figure 1a displays the in-plane resistance and its first derivative in the vicinity of the AFM transition temperature at a representative pressure of 0.3 GPa. The AFM transition can be identified from the inflection point in R(T) or the peak in dR/dT. With increasing pressure, TN initially shifts to higher temperatures, reaching a maximum of 10.4 K at 5.0 GPa, and then decreases to 6.1 K at 7.3 GPa, as indicated by the gray dashed lines in Fig. 1b, c. In this pressure range, the resistance anomaly associated with the AFM transition gradually weakens. As pressure increases to 8.0 GPa, however, a sharper resistive drop appears at 2.5 K. This evolution is more clearly resolved in dR/dT curves (Fig. 2a, b), which broaden progressively up to 7.3 GPa and then sharpen at 8.0 GPa. As we will demonstrate, the anomaly above 8.0 GPa signals a distinct magnetic transition, which is denoted as TM. With further compression, TM exhibits a dome-shaped dependence, reaching a maximum of 3.6 K at 9.5 GPa (Figs. 1d and 2c), and is eventually suppressed at 12.8 GPa, where the system enters a Fermi-liquid (FL) state evidenced by a T2 dependence of resistance (Fig. 1f).
a Temperature dependence of resistance (black solid symbols, left y-axis) and its first derivative with respect to temperature dR/dT (red line, right y-axis) at 0.3 GPa. b–e Temperature dependence of resistance at various pressures. The gray dashed lines in (b, c) indicate the pressure-induced evolution of the AFM transition TN. The violet arrow in (c) represents the appearance of the magnetic transition TM at 8.0 GPa, and its evolution with pressure is indicated by the violet dashed line in (d). f Low-temperature FL behavior above 12 GPa. The red lines are the least-squares fit of R = R0 + AT2. The orange arrows denote the FL temperature TFL.
a 0.3–2.5 GPa, b 2.9–8.0 GPa, c 8.3–12.8 GPa, and d 14.0–24.1 GPa. The red and violet arrows indicate the magnetic transitions TN and TM below and above 8.0 GPa, respectively.
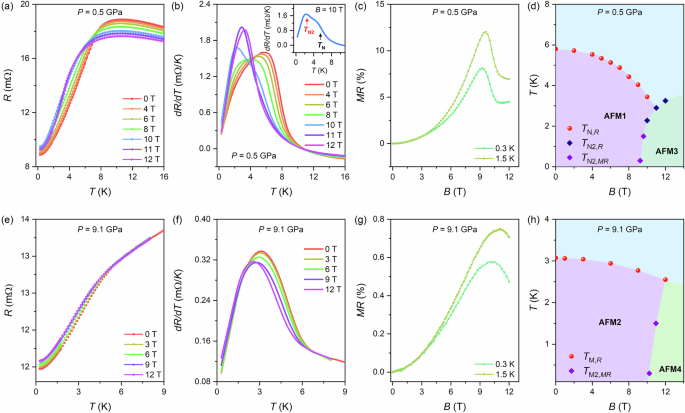
The magnetic field response of the magnetic state exhibits a strong pressure dependence (Fig. 3, see also Supplementary Fig. S3). At P = 0.5 GPa, the AFM transition at TN shifts to lower temperatures with increasing magnetic field (Fig. 3a, b). Interestingly, when the magnetic field reaches 10 T, two distinct resistive anomalies emerge (inset of Fig. 3b): the higher-temperature anomaly corresponds to the original AFM transition at TN, while the lower-temperature anomaly represents a field-induced magnetic transition, denoted as TN2. With further increasing magnetic field, TN2 is enhanced, consistent with the stabilization of a new field-induced phase. This picture is further corroborated by the magnetoresistance (MR) data (Fig. 3c), which display a pronounced peak characteristic of a metamagnetic transition25,26,27,28. The critical field of the metamagnetic feature increases with temperature, in agreement with the phase boundary extracted from the resistance measurements. The obtained temperature–magnetic field (T–B) phase diagram for 5% Hg-doped CeRhIn5 at P = 0.5 GPa (Fig. 3d) is analogous to that of 4.0% Hg-doped CeRhIn513, suggesting the presence of a field-induced tricritical point separating the two AFM phases (AFM1 and AFM3) from the paramagnetic state. By comparison, at P = 9.1 GPa, a qualitatively similar response is observed, namely, the suppression of the transition at TM and the emergence of a field-induced magnetic transition at TM2 indicated by the metamagnetic feature in MR (Fig. 3e–g). However, the response is substantially weaker, with the MR amplitude nearly an order of magnitude smaller and TM suppressed by only 12% under 10 T, in contrast to the 41% reduction of TN under the same condition. As summarized in Fig. 3h, the resulting high-pressure T–B phase diagram shares the same overall topology as the low-pressure case, featuring two AFM regimes (AFM2 and AFM4) under field, but with a much more robust phase boundary associated with TM. Taken together, the two T–B diagrams reveal a common underlying mechanism of field-induced phase reconstruction, while the contrasting field sensitivities underscore the distinct nature of the ordered states in the low- and high-pressure regimes.
Evolution of the magnetic phase with an applied magnetic field for 5% Hg-doped CeRhIn5 at a–d 0.5 GPa and e–h 9.1 GPa. a, e Temperature dependence of the in-plane resistance under magnetic fields applied along the c-axis. b, f First derivative of resistance dR/dT as a function of temperature at various magnetic fields. The inset of b shows the magnified view of dR/dT at 10 T. TN and TN2 denote two anomalies in resistance. c, g Field dependence of the magnetoresistance (MR) at low temperatures. d, h Magnetic field–temperature phase diagram for 5% Hg-doped CeRhIn5. The red and navy symbols indicate the magnetic transitions identified by the anomalies in R(T), while violet symbols correspond to transitions determined from MR(B). AFM1, AFM2, AFM3, and AFM4 represent the four possible different magnetic phases.
Figure 4a displays the T–P phase diagram of 5% Hg-doped CeRhIn5, which is markedly different from those of the pure, 4.4% Sn-doped, and 0.45% Hg-doped CeRhIn518,19,20,21,22,29,30. In the latter systems, the applied pressure suppresses the AFM transition and induces a superconducting dome. By contrast, in 5% Hg-doped CeRhIn5, the AFM transition at TN appears to be suppressed to zero temperature at a lower critical pressure Pc1 ~ 8 GPa, where a distinct magnetic phase emerges at TM ~ 2.5 K. This phase is subsequently suppressed at a higher critical pressure Pc2 ~ 12 GPa, beyond which the system enters a FL state. Thus, unlike the single critical pressure point in pure, 4.4% Sn-doped, and 0.45% Hg-doped CeRhIn5, the 5% Hg-doped system exhibits two critical pressure points, Pc1 and Pc2, which divide the ground state into three regimes: AFM1 below Pc1, AFM2 between Pc1 and Pc2, and a paramagnetic FL state above Pc2. Furthermore, the isothermal cuts of the low-temperature resistance indicated by the color contour plot reveal a clear phase boundary near Pc1.
a Phase diagram of 5% Hg-doped CeRhIn5 under pressure. Color represents the in-plane resistance. The violet and magenta symbols indicate the magnetic transitions TN and TM, respectively, which were determined from resistance inflection points. The red symbols denote the Fermi-liquid (FL) temperature, below which the resistance follows a FL behavior as R = R0 + AT2. b Pressure dependence of the residual resistance (violet diamonds, left y-axis) and the A coefficient (red balls, right y-axis) obtained from the fits of R = R0 + AT2. Pc1 is the lower critical pressure where TN extrapolates to zero temperature, while Pc2 is the higher critical pressure at which TM is suppressed, and the system enters a FL state. The dashed lines are guides to the eyes. AFM1 and AFM2 correspond to two different magnetic phases. FL represents the Fermi-liquid regime. The squares and circles represent the transition temperatures obtained from different runs. c–f Non-Fermi-liquid behavior in the vicinity of two critical pressures. The red solid lines are least-squares fits to the form R = R0 + A*Tn.
To further investigate the potential quantum critical behavior in the vicinity of Pc1 and Pc2, the low-temperature resistance was analyzed using the FL form R = R0 + AT2 (Supplementary Fig. S4). The resulting pressure dependence of the residual resistance R0 and A coefficient is summarized in Fig.4b. The residual resistance begins to decrease sharply as pressure crosses Pc1, and then continues to decrease smoothly through Pc2 without the characteristic divergence typically expected from the enhanced scattering near a QCP. In contrast, the A coefficient exhibits peaks at both Pc1 and Pc2, reflecting the enhancement of effective mass31. Moreover, the generalized power-law fits of the form R = R0 + A*Tn were performed in the vicinity of both critical pressures. To minimize the magnetic contributions, the fits were restricted to the paramagnetic regime above the AFM transitions. As shown in Fig. 4c–f, the resistance deviates from FL behavior (n = 2), with the exponent n < 2, consistent with the non-Fermi-liquid behavior typically associated with the quantum fluctuations. These anomalies provide strong evidence for abundant critical fluctuations at both Pc1 and Pc2. The phase boundaries and quantum critical behavior observed in 5% Hg-doped CeRhIn5 are reminiscent of those reported in CeRh0.58Ir0.42In532, where two distinct types of quantum criticality have been identified, with Pc1 corresponding to a Kondo-breakdown QCP and Pc2 associated with a SDW QCP. The non-Fermi-liquid behavior and enhancement of effective mass near Pc2 in 5% Hg-doped CeRhIn5 are consistent with the expectations for an SDW QCP. However, additional measurements, especially those that are sensitive to low-temperature spin excitations and Fermi-surface evolution, would be crucial to clarify the quantum criticality near the two critical pressure points.
Doping effects on phase boundaries and quantum criticality have been extensively studied in the isostructural compound CeCoIn5, which is located in the vicinity of a QCP at ambient pressure and exhibits the highest superconducting transition temperature among rare-earth-based heavy fermion materials33,34. When Sn is substituted for In, the superconductivity and the AFM fluctuations originating from the underlying QCP are gradually suppressed with increasing Sn concentration, without inducing additional phase transitions35,36. In contrast, Cd substitution for In in CeCo(In1-xCdx)5 initially suppresses the superconductivity at doping concentrations below x = 0.75% and induces a long-range AFM order above x = 1.2%, leading to the microscopic coexistence of AFM order and superconductivity in the intermediate doping range14. Although the application of pressure reverses the evolution of the ground state with Cd substitution and generates a phase diagram that closely resembles that of CeRhIn5 under pressure14, the conventional signatures of quantum criticality are absent in pressurized CeCo(In1-xCdx)537. The disparate consequences of electron and hole substitutions are attributed to the qualitative differences in the local electronic environments around the dopants37,38,39,40,41. Sn substitution modifies the electronic state homogeneously, whereas Cd substitution creates a heterogeneous electronic state, in which local magnetic droplets are nucleated surrounding the dopants, while the majority of electronic states remain unchanged. As the Cd concentration increases, the local magnetic droplets overlap and eventually form a long-range AFM order beyond x = 0.75% in CeCo(In1-xCdx)5 (Fig. 5a). When the pressure is applied, the size of the magnetic droplets decreases, and thus the corresponding AFM transition is suppressed. However, the magnetic droplets persist even at the extrapolated QCP, inducing a heterogeneous electronic state in pressurized 1% Cd-doped CeCoIn5, which prevents the appearance of signatures for quantum critical behavior37.
Evolution of ground states in a 1% Cd-doped CeCoIn₅, b 0.45% Hg-doped CeRhIn₅, and c 5% Hg-doped CeRhIn₅. Left panels show the ground states at ambient pressure, while right panels depict those near the extrapolated AFM QCP where the AFM order is completely suppressed with increasing pressure (gray arrows). Green-shaded regions represent the spatial extent of magnetic droplets nucleated around nonmagnetic dopants (red circles). AFM, SC, and FL denote antiferromagnetic, superconducting, and Fermi-liquid states, respectively. Hole doping nucleates localized magnetic droplets, which grow with increasing doping concentration and stabilize new AFM order. Under pressure, the magnetic droplets decrease in size but persist at the extrapolated AFM QCP. In 1% Cd-doped CeCoIn₅, the overlap between Cd-induced magnetic droplets yields an AFM + SC state at ambient pressure, which transforms into a SC state as pressure suppresses the AFM order. In 0.45% Hg-doped CeRhIn₅, the correlation length between Hg-induced magnetic droplets is insufficient to stabilize additional order, so the AFM order maintains the same character as in pure CeRhIn5 and is gradually suppressed by pressure, giving rise to pressure-induced SC. In 5% Hg-doped CeRhIn₅, a new AFM state is formed due to the enhanced magnetic droplet correlations, which is distinct from that in the pure compound and evolves differently under pressure. With the suppression of AFM order, the system enters a FL state without superconductivity.
The similarities between Hg- and Cd-doping effects in CeTIn5 suggest that the response of CeRhIn5 to Hg substitution can be understood in terms of local doping effects13,14,15. At low Hg concentrations (Fig. 5b), the correlation length between magnetic droplets is insufficient to form an additional long-range magnetic order, so the long-range AFM order primarily originates from the unaffected regions and maintains the same character as in pure CeRhIn5. With increasing pressure, the magnetic droplets are expected to decrease in size but persist even when the long-range AFM order is completely suppressed. The number of magnetic droplets, however, is likely too small to significantly influence the phase boundaries or quantum criticality in the high-pressure regime. Therefore, the phase diagram and quantum critical behavior of 0.45% Hg-doped CeRhIn5 are comparable to those of pure CeRhIn522. As the Hg concentration increases to 5% (Fig. 5c), the average spacing between Hg dopants is reduced to approximately three in-plane lattice constants, implying that a substantial fraction of the crystal volume is magnetically perturbed. The magnetic correlation length is thus well developed, potentially comparable to the incommensurate AFM order in pure CeRhIn5. Consequently, the heavy Hg doping stabilizes an AFM order that is distinct from that of the pure compound and evolves differently under pressure. Analogous to the case of 1% Cd-doped CeCoIn537, the magnetic droplet size in 5% Hg-doped CeRhIn5 is expected to decrease with increasing pressure, eventually becoming smaller than the average impurity spacing above the critical pressure Pc2, where long-range magnetic order is suppressed. In this presumed quantum critical regime, the residual magnetic droplets locally freeze the magnetic quantum fluctuation, thereby suppressing the canonical QCP signatures that arise from the divergence of magnetic fluctuations. Nevertheless, the magnetic fluctuations remain largely intact in regions sufficiently distant from impurity sites37. In 1% Cd-doped CeCoIn5, the spectral weight of these unfrozen fluctuations is sufficient to support the formation of unconventional superconductivity37. In contrast, in 5% Hg-doped CeRhIn5, the higher impurity density significantly reduces these fluctuation-unfrozen regions, and the residual quantum fluctuations may therefore be too weak to stabilize a superconducting state.
In addition to quantum fluctuations, the doping itself can strongly influence the stability of unconventional superconductivity. For 0.45% Hg-doped CeRhIn5, the AFM transition occurs at TN ~ 3.4 K, and the maximum of superconducting transition emerges below Tc ~ 2.0 K near the AFM QCP at Pc ~ 2.3 GPa22. In contrast, when the Hg concentration is increased to 5%, TN is enhanced to 5.1 K, yet superconductivity is completely suppressed down to the lowest measured temperature of 0.3 K. The disappearance of superconductivity at the high doping level raises the important question about the role of Hg substitution. The random distribution of dopants increases the impurity scattering, which can be further enhanced by quantum critical fluctuations42. Such impurity scattering leads to pair breaking and thereby suppresses the superconductivity. According to Abrikosov–Gorkov (AG) theory for a d-wave superconductor with unitary scattering from nonmagnetic impurities, the initial suppression rate of Tc should be dTc/d(1/τ) = –π/4, where 1/τ = (ne2Δρ)/m* = Δρ/μ0λ2 is the impurity scattering rate, μ0 is the magnetic permeability of free space, and λ is the superconducting penetration depth43. Experimentally, however, the maximum suppression rate in 0.45% Hg-doped CeRhIn5 is only dTc/d(1/τ) = –0.07, which is significantly smaller than the AG prediction. Similar remarkable robustness of superconductivity against nonmagnetic impurities has been reported in CeCoIn544 and Sn-doped CeRhIn520,21, indicating that randomness alone cannot account for the disappearance of superconductivity. Beyond impurity scattering, the magnetic moments introduced by hole doping weaken the Kondo screening13,16, which further contributes to the suppression of superconductivity in 5% Hg-doped CeRhIn5.
Conclusion
We have constructed a comprehensive T–P phase diagram for 5% Hg-doped CeRhIn5 to investigate the hole-doping effects on magnetism, superconductivity, and quantum criticality. Under pressure, the system exhibits two distinct AFM ground states without superconductivity. Analysis of low-temperature resistance identifies two critical pressures separating three ground states, with the higher AFM QCP likely of SDW type, in contrast to the Kondo-breakdown type in the pure system. By comparison, 0.45% Hg-doping does not alter the phase boundaries or quantum criticality, which remains Kondo-breakdown type, whereas 4.4% Sn-doping shifts the phase diagram to lower pressures and induces SDW-type quantum criticality. These contrasting behaviors highlight the asymmetric responses to electron and hole doping: electron substitution modifies the system homogeneously, while hole doping nucleates localized magnetic droplets, which grow with concentration and stabilize new AFM order. In the heavily hole-doped compound, impurity-induced magnetic droplets persist and locally freeze the magnetic quantum fluctuations near the presumed QCP, thereby suppressing the canonical quantum critical signatures and giving rise to a spatially heterogeneous electronic state. These findings highlight the importance of disentangling local versus homogeneous doping effects for understanding quantum phase evolution and criticality across strongly correlated systems.
Data availability
The data that support the findings of this study are available from the corresponding authors upon reasonable request.
References
Tôru, M. & Kazuo, U. Antiferromagnetic spin fluctuation and superconductivity. Rep. Prog. Phys. 66, 1299 (2003).
Shibauchi, T., Carrington, A. & Matsuda, Y. A quantum critical point lying beneath the superconducting dome in iron pnictides. Annu. Rev. Condens. Matter Phys. 5, 113 (2014).
Paglione, J. & Greene, R. L. High-temperature superconductivity in iron-based materials. Nat. Phys. 6, 645 (2010).
Taillefer, L. Scattering and pairing in cuprate superconductors. Annu. Rev. Condens. Matter Phys. 1, 51 (2010).
Stewart, G. R. Non-Fermi-liquid behavior in d- and f-electron metals. Rev. Mod. Phys. 73, 797 (2001).
Segawa, K. et al. Zero-doping state and electron–hole asymmetry in an ambipolar cuprate. Nat. Phys. 6, 579 (2010).
Armitage, N. P., Fournier, P. & Greene, R. L. Progress and perspectives on electron-doped cuprates. Rev. Mod. Phys. 82, 2421 (2010).
Ogura, D. & Kuroki, K. Asymmetry of superconductivity in hole- and electron-doped cuprates: explanation within two-particle self-consistent analysis for the three-band model. Phys. Rev. B 92, 144511 (2015).
Kim, J. S. et al. Electron-hole asymmetry in Co- and Mn-doped SrFe2As2. Phys. Rev. B 82, 024510 (2010).
Martinelli, A., Bernardini, F. & Massidda, S. The phase diagrams of iron-based superconductors: theory and experiments. C. R. Phys. 17, 5 (2016).
Neupane, M. et al. Electron-hole asymmetry in the superconductivity of doped BaFe2As2 seen via the rigid chemical-potential shift in photoemission. Phys. Rev. B 83, 094522 (2011).
Bauer, E. D. et al. Antiferromagnetic quantum critical point in CeRhIn5-xSnx. Phys. B Condens. Matter 378-380, 142 (2006).
Bauer, E. D. et al. Occurrence of magnetism in CeMIn5-xHgx (M = Rh, Ir). Phys. B Condens. Matter 403, 1135 (2008).
Pham, L. D., Park, T., Maquilon, S., Thompson, J. D. & Fisk, Z. Reversible tuning of the heavy-fermion ground state in CeCoIn5. Phys. Rev. Lett. 97, 056404 (2006).
Booth, C. H. et al. Local structure and site occupancy of Cd and Hg substitutions in CeTIn5 (T = Co, Rh, and Ir). Phys. Rev. B 79, 144519 (2009).
Park, T. B. et al. Evolution of antiferromagnetism in Zn-doped heavy-fermion compound CeRh(In1-xZnx)5. Phy. Rev. Mater. 4, 084801 (2020).
Bao, W. et al. Incommensurate magnetic structure of CeRhIn5. Phys. Rev. B 62, R14621 (2000).
Hegger, H. et al. Pressure-induced superconductivity in quasi-2D CeRhIn5. Phys. Rev. Lett. 84, 4986 (2000).
Mendonça Ferreira, L. et al. Tuning the pressure-induced superconducting phase in doped CeRhIn5. Phys. Rev. Lett. 101, 017005 (2008).
Seo, S. et al. Controlling superconductivity by tunable quantum critical points. Nat. Commun. 6, 6433 (2015).
Wang, H. et al. Evidence for charge delocalization crossover in the quantum critical superconductor CeRhIn5. Nat. Commun. 14, 7341 (2023).
Seo, S., Ju, S., Bauer, E., Thompson, J. & Park, T. Pressure effects on the Hg-doped heavy-fermion superconductor CeRhIn5. Prog. Supercond. 14, 17 (2012).
van der Pauw, L. J. A method of measuring the resistivity and Hall coefficient on lamellae of arbitrary shape. Philips Tech. Rev. 20, 220 (1958).
Mao, H., Xu, J.-A. & Bell, P. Calibration of the ruby pressure gauge to 800 kbar under quasi-hydrostatic conditions. J. Geophys. Res. Solid Earth 91, 4673 (1986).
Das, D., Gnida, D., Wiśniewski, P. & Kaczorowski, D. Magnetic field-driven quantum criticality in antiferromagnetic CePtIn4. Proc. Natl. Acad. Sci. USA. 116, 20333 (2019).
Zhao, H. et al. Temperature-field phase diagram of geometrically frustrated CePdAl. Phys. Rev. B 94, 235131 (2016).
Niklowitz, P. G., Knebel, G., Flouquet, J., Bud’ko, S. L. & Canfield, P. C. Field-induced non-Fermi-liquid resistivity of stoichiometric YbAgGe single crystals. Phys. Rev. B 73, 125101 (2006).
Wang, H. et al. Field-induced multiple quantum phase transitions in the antiferromagnetic Kondo-lattice compound CeRhAl4Si2. Phys. Rev. B 105, 165110 (2022).
Park, T. et al. Hidden magnetism and quantum criticality in the heavy fermion superconductor CeRhIn5. Nature 440, 65 (2006).
Knebel, G., Aoki, D., Braithwaite, D., Salce, B. & Flouquet, J. Coexistence of antiferromagnetism and superconductivity in CeRhIn5 under high pressure and magnetic field. Phys. Rev. B 74, 020501 (2006).
Grigera, S. A. et al. Magnetic field-tuned quantum criticality in the metallic ruthenate Sr3Ru2O7. Science 294, 329 (2001).
Luo, Y. et al. Unconventional and conventional quantum criticalities in CeRh0.58Ir0.42In5. npj Quantum Mater. 3, 6 (2018).
Sidorov, V. A. et al. Superconductivity and quantum criticality in CeCoIn5. Phys. Rev. Lett. 89, 157004 (2002).
Maksimovic, N. et al. Evidence for a delocalization quantum phase transition without symmetry breaking in CeCoIn5. Science 375, 76 (2022).
Bauer, E. D. et al. Thermodynamic and transport investigation of CeCoIn5-xSnx. Phys. Rev. B 73, 245109 (2006).
Bauer, E. D. et al. Rapid suppression of superconductivity in CeCoIn5-xSnx. Phys. B Condens. Matter 359-361, 35 (2005).
Seo, S. et al. Disorder in quantum critical superconductors. Nat. Phys. 10, 120 (2014).
Urbano, R. R. et al. Interacting antiferromagnetic droplets in quantum critical CeCoIn5. Phys. Rev. Lett. 99, 146402 (2007).
Sakai, H. et al. Microscopic investigation of electronic inhomogeneity induced by substitutions in a quantum critical metal CeCoIn5. Phys. Rev. B 92, 121105 (2015).
Chen, K. et al. Evolution of ground-state wave function in CeCoIn5 upon Cd or Sn doping. Phys. Rev. B 97, 045134 (2018).
Jung, S.-G. et al. A quenched disorder in the quantum-critical superconductor CeCoIn5. Adv. Sci. 11, 2304837 (2024).
Miyake, K. & Narikiyo, O. Enhanced impurity scattering due to quantum critical fluctuations: Perturbational approach. J. Phys. Soc. Jpn. 71, 867 (2002).
Abrikosov, A. A. & Gor’kov, L. P. Contribution to the theory of superconducting alloys with paramagnetic impurities. Sov. Phys. JETP 39, 1243 (1961).
Gofryk, K. et al. Electronic tuning and uniform superconductivity in CeCoIn5. Phys. Rev. Lett. 109, 186402 (2012).
Acknowledgements
This study was supported by the National Research Foundation (NRF) of Korea through a grant funded by the Korean Ministry of Science and ICT (Grant Nos. RS-2021-NR059409, RS-2023-00220471), the Research Funding Program of State Power Investment Corporation Research Institute (Grant No.1300CB250015), and the Beijing-Tianjin-Hebei Collaborative Innovation Program in Science and Technology, administered by the Beijing Municipal Science and Technology Commission and the Administrative Commission of Zhongguancun Science Park (Grant No. Z251100005225009).
Author information
Authors and Affiliations
Contributions
All authors discussed the results and commented on the manuscript. T.P. conceived the study. H.W., T.B.P., and H.L. performed the measurements. H.W., T.B.P., S.C., and S-G.J. analyzed the data. T.B.P. synthesized pure and Hg-doped CeRhIn5 single crystals. H.W., S.C., and T.P. wrote the manuscript with input from all authors.
Corresponding authors
Ethics declarations
Competing interests
The authors declare no competing interests.
Ethics approval and consent to participate
This study did not involve human participants or live vertebrate animals. Therefore, ethics approval and informed consent were not required. All experimental procedures were carried out in accordance with relevant institutional guidelines and regulations.
Additional information
Publisher’s note Springer Nature remains neutral with regard to jurisdictional claims in published maps and institutional affiliations.
Supplementary information
Rights and permissions
Open Access This article is licensed under a Creative Commons Attribution 4.0 International License, which permits use, sharing, adaptation, distribution and reproduction in any medium or format, as long as you give appropriate credit to the original author(s) and the source, provide a link to the Creative Commons licence, and indicate if changes were made. The images or other third party material in this article are included in the article’s Creative Commons licence, unless indicated otherwise in a credit line to the material. If material is not included in the article’s Creative Commons licence and your intended use is not permitted by statutory regulation or exceeds the permitted use, you will need to obtain permission directly from the copyright holder. To view a copy of this licence, visit http://creativecommons.org/licenses/by/4.0/.
About this article
Cite this article
Wang, H., Park, T.B., Choi, S. et al. Asymmetric doping effects on the quantum critical compound CeRhIn5. NPG Asia Mater 18, 10 (2026). https://doi.org/10.1038/s41427-026-00639-6
Received:
Revised:
Accepted:
Published:
Version of record:
DOI: https://doi.org/10.1038/s41427-026-00639-6







