Correction to: The Journal of Antibiotics (1992) 45, 1553–1556. https://doi.org/10.7164/antibiotics.45.1553
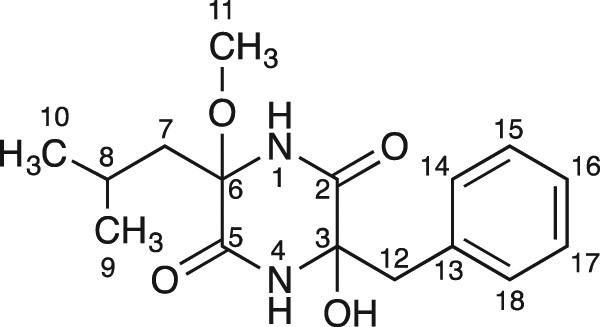
The authors of the above article misjudged the structure determination of MCF (metacytofilin). Our recent analyses using X-ray crystallography and NMR techniques revealed the correct structure as shown in Figs. 1, 2, and 3. The structure of MCF was identified with diatretol [1].
Structure of metacytofilin (MCF)
Deuterium isotope effects on 13C chemical shifts of MCF observed in CD3OD and CD3OH solutions
Molecular structure of MCF using SHELXT
Single-crystal X-ray data were collected on a Rigaku R-AXIS RAPID diffractometer using filtered Cu–Ka radiation. The crystal data are: empirical formula: C16H22N2O4, FW 306.36, crystal color: colorless, habit: platelet, crystal dimensions: 0.300 × 0.200 × 0.030 mm, crystal system: monoclinic, lattice type: primitive, lattice parameters: a = 6.06079 (14) Å, b = 17.1982 (4) Å, c = 9.1651 (2) Å, β = 108.523 (8)°, V = 905.83 (6) Å3, space group: P21, Z value: 2, D calc: 1.123 g/cm3, F 000: 328.00, µ (CuKa): 6.671 cm−1. The structure was solved by direct methods [2] and expanded using Fourier techniques. The non-hydrogen atoms were refined anisotropically. Hydrogen atoms were refined using the riding model. The final cycle of full-matrix least-squares refinement [3] on F2 was based on 3233 observed reflections and 199 variable parameters and converged (largest parameter shift was 0.00 times its esd) with unweighted and weighted agreement factors of:
References
Arnone A, et al. Secondary mould metabolites, LII. structure elucidation of diatretol – a new diketopiperazine metabolite from the fungus Clitocybe diatreta. Liebigs Ann. 1996;1996:1875–77.
Sheldrick GM. SHELXT version 2014/5. Acta Cryst. 2014;A70:C1437.
Least squares function minimized: (SHELXL version 2014/7) Sw(Fo2-Fc2)2 where w = least squares weights.
Author information
Authors and Affiliations
Corresponding author
Ethics declarations
Conflict of interest
The authors declare that they have no conflict of interest.
Rights and permissions
About this article
Cite this article
Iijima, M., Masuda, T., Nakamura, H. et al. Correction to: Metacytofilin, a novel immunomodulator produced by Metarhizium sp. TA2759. J Antibiot 71, 908–909 (2018). https://doi.org/10.1038/s41429-018-0045-z
Published:
Version of record:
Issue date:
DOI: https://doi.org/10.1038/s41429-018-0045-z
This article is cited by
-
Diatretol, an α, α′-dioxo-diketopiperazine, is a potent in vitro and in vivo antimalarial
The Journal of Antibiotics (2021)


