Abstract
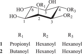
Biosurfactants have been widely used in various industrial fields including medicine, food, cosmetics, detergent, pulp and paper, and oil and fat degradation. The culture broth of Aureobasidium pullulans A11211-4-57 using glucose as carbon source exhibited potent surfactant activity. The culture broth was separated by column chromatographies using ODS, silica gel, and Sephadex LH-20 resins, consecutively, to provide two biosurfactants. Based on mass and NMR measurements, their structures were determined as myo-inositol lipids and named pullusurfactans F and G. These compounds showed a high degree of activity, with 27.25 mN/m and 24.07 mN/m, respectively, at 1.0 mg l−1, which is useful for washing and cleaning agents.
This is a preview of subscription content, access via your institution
Access options
Subscribe to this journal
Receive 12 print issues and online access
$259.00 per year
only $21.58 per issue
Buy this article
- Purchase on SpringerLink
- Instant access to the full article PDF.
USD 39.95
Prices may be subject to local taxes which are calculated during checkout



References
Desai JD, Banat IM. Microbial production of surfactants and their commercial potential. Microbiol Mol Biol Rev. 1997;61:47–64.
Kitamoto D, Isoda H, Nakahara T. Functions and potential applications of glycolipid biosurfactants-from energy-saving materials to gene delivery carriers. J Biosci Bioeng. 2002;94:187–201.
Ron EZ, Rosenberg E. Natural roles of biosurfactants. Environ Microbiol. 2001;3:229–36.
Singh A, Van Hamme JDV, Ward OP. Surfactants in micro-biology and biotechnology: part 2. application aspects. Biotechnol Adv. 2007;25:99–121.
Van Hamme JDV, Singh A, Ward OP. Physiological aspects: part 1 in a series of papers devoted to surfactants in microbiology and biotechnology. Biotechnol Adv. 2006;24:604–20.
Rodrigues L, Banat IM, Teixeira J, Oliveira R. Biosurfactants: potential applications in medicine. J Antimicrob Chemother. 2006;57:609–18.
Deshpande MS, Rale VB, Lynch JM. Aureobasidium pullulans in applied microbiology: a status report. Enzym Micro Technol. 1992;14:514–27.
Abdalla MA, McGaw LJ. Bioprospecting of South African plants as a unique resource for bioactive endophytic microbes. Front Pharm. 2018;9:456.
Shigemori H, Tenma M, Shimazaki K, Kobayashi JI. Three new metabolites from the marine yeast Aureobasidium pullulans. J Nat Prod. 1998;61:696–98.
Jafarian-Haris T, Tavakkoli A, Najafzadeh MJ, Danesh A. Characterization and optimization of L-malic acid production by some clinical isolates of Aureobasidium pullulans. Res Mol Med. 2020;8:209–14.
Choi HG, Kim JW, Choi H, Kang KS, Shim SH. New hydroxydecanoic acid derivatives produced by an dndophytic yeast Aureobasidium pullulans AJF1 from Flowers of Aconitum carmichaeli. Molecules. 2019;24:4051.
Luepongpattana S, Thaniyavarn J, Morikawa M. Production of massoia lactone by Aureobasidium pullulans YTP6-14 isolated from the Gulf of Thailand and its fragrant biosurfactant properties. J Appl Microbiol. 2017;123:1488–97.
Muramatsu D, Iwai A, Aoki S, Uchiyama H, Kawata K, Nakayama Y, et al. β-Glucan derived from Aureobasidium pullulans is effective for the prevention of influenza in mice. PLoS ONE. 2012;7:e41399.
Certik M, Breierova E, Jursikova P. Effect of cadmium on lipid composition of Aureobasidium pullulans grown with added extracellular polysaccharides. Int Biodeterior Biodegrad. 2005;55:195–202.
Turk M, Mejanelle L, Sentjure M, Sentjurc M, Grimalt JO, Plemenitas A. Salt-induced changes in lipid composition and membrane fluidity of halophilic yeast-like melanized fungi. Extremophiles 2004;8:53–61.
Ma ZC, Chi Z, Geng Q, Zhang F, Chi ZM. Disruption of the pullulan synthetase gene in siderophore-producing Aureobasidium pullulans enhances siderophore production and simplifies siderophore extraction. Process Biochem. 2012;47:1807–12.
Kim JS, Lee IK, Yun BS. Pullusurfactans A-E, new biosurfactants produced by Aureobasidium pullulans A11211-4-57 from a fleabane, Erigeron annus (L.) pers. J Antibiot. 2018;71:920–26.
Kim JS, Lee IK, Kim DW, Yun BS. Aureosurfactin and 3-deoxyaureosurfactin, novel biosurfactants produced by Aureobasidium pullulans L3-GPY. J Antibiot. 2016;69:759–61.
Kim JS, Lee IK, Yun BS. A novel biosurfactant produced by Aureobasidium pullulans L3-GPY from a tiger lily wild flower, Lilium lancifolium Thunb. PLoS One. 2015;10:e0122917.
Kim JS 2014; Patent no. KR1446219.
Cabanas-Garcia E, Areche C, Gómez-Aguirre YA, Borquez J, Munoz R, Cruz-Sosa F et al. Biomass production and secondary metabolite identification in callus cultures of Coryphantha macromeris (Engelm.) Britton & Rose (Cactaceae), a traditional medicinal plant. S Afr J Bot. 2021;137:1–9.
Woo EE, Ha LS, Kim JY, Lee IK, Yun BS. Rhizophins A and B, new sesquiterpenes from the culture broth of Coprinus rhizophorus. J Antibiot. 2020;73:175–8.
Woo EE, Kim JY, Kim JS, Kwon SW, Lee IK, Yun BS. Mannonerolidol, a new nerolidol mannoside from culture broth of Schizophyllum commune. J Antibiot. 2019;72:178–80.
Minh NV, Woo EE, Kim JY, Kim DW, Hwang BS, Lee YJ, et al. Antifungal substances from Streptomyces sp. A3265 antagonistic to plant pathogenic fungi. Mycobiology. 2015;43:333–8.
Acknowledgements
The authors thank Ms. Ji-Young Oh, Center for University-wide Research Facilities (CURF) at Jeonbuk National University, for performing NMR measurements.
Author information
Authors and Affiliations
Corresponding authors
Ethics declarations
Conflict of interest
The authors declare no competing interests.
Additional information
Publisher’s note Springer Nature remains neutral with regard to jurisdictional claims in published maps and institutional affiliations.
Supplementary information
Rights and permissions
About this article
Cite this article
Kim, JS., Ki, DW., Lee, IK. et al. Two Novel Biosurfactants Produced by Aureobasidium pullulans A11211-4-57 from a Fleabane, Erigeron annus (L.) pers. J Antibiot 75, 589–592 (2022). https://doi.org/10.1038/s41429-022-00556-0
Received:
Revised:
Accepted:
Published:
Version of record:
Issue date:
DOI: https://doi.org/10.1038/s41429-022-00556-0
This article is cited by
-
Use of Aureobasidium in a sustainable economy
Applied Microbiology and Biotechnology (2024)
-
Pullusurfactins A‒C, new biosurfactants produced by Aureobasidium pullulans A11231-1-58 from Chrysanthemum boreale Makino
The Journal of Antibiotics (2023)