Abstract
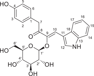
Halobacin (1), a new glycosylated acyloin derivative, was isolated from the fermentation broth of a coral-associated bacterium Halobacillus sp. DUNA-S15. The structure of 1 was determined based on NMR and MS analyses and the absolute configuration of the sugar moiety was determined by diastereomeric HPLC separation using chiral derivatization. Compound 1 was inactive in antimicrobial and cytotoxicity assays but suppressed the root growth of germinated seeds of lettuce and barnyard millet to ca 30% at 1 µg ml−1 and ca 70% at 10 µg ml−1 compared to the nontreated seeds.
This is a preview of subscription content, access via your institution
Access options
Subscribe to this journal
Receive 12 print issues and online access
$259.00 per year
only $21.58 per issue
Buy this article
- Purchase on SpringerLink
- Instant access to the full article PDF.
USD 39.95
Prices may be subject to local taxes which are calculated during checkout



References
Gulder TA. Chasing the treasures of the sea—bacterial marine natural products. Curr Opin Microbiol. 2009;12:252–260.
Hossain MB, van der Helm D, Antel J, Sheldrick GM, Sanduja SK, Weinheimer AJ. Crystal and molecular structure of didemnin B, an antiviral and cytotoxic depsipeptide. Proc Natl Acad Sci USA. 1988;85:4118–4122.
Tsukimoto M, Nagaoka M, Shishido Y, Fujimoto J, Nishisaka F, Matsumoto S, Harunari E, Imada C, Matsuzaki T. Bacterial production of the tunicate-derived antitumor cyclic depsipeptide didemnin B. J Nat Prod. 2011;74:2329–2331.
Rizzo C, Lo Giudice A. Marine invertebrates: underexplored sources of bacteria producing biologically active molecules. Diversity. 2018;10:52.
Sang VT, Dat TTH, Vinh LB, Cuong LCV, Oanh PTT, Ha H, Kim YH, Anh HLT, Yang SY. Coral and coral-associated microorganisms: a prolific source of potential bioactive natural products. Mar Drugs. 2019;17:468.
Raimundo I, Silva SG, Costa R, Keller-Costa T. Bioactive secondary metabolites from octocoral-associated microbes—new chances for blue growth. Mar Drugs. 2018;16:485.
Karim MRU, Harunari E, Oku N, Akasaka K, Igarashi Y. Bulbimidazoles A–C, antimicrobial and cytotoxic alkanoyl imidazoles from a marine gammaproteobacterium Microbulbifer species. J Nat Prod. 2020;83:1295–1299.
Lu S, Zhang Z, Sharma AR, Nakajima-Shimada J, Harunari E, Oku N, Trianto A, Igarashi Y. Bulbiferamide, an antitrypanosomal hexapeptide cyclized via an N-acylindole linkage from a marine obligate Microbulbifer. J Nat Prod. 2023;86:1081–1086.
Karim MRU, Fukaya K, In Y, Sharma AR, Harunari E, Oku N, Urabe D, Trianto A, Igarashi Y. Marinoquinolones and marinobactoic acid: antimicrobial and cytotoxic ortho-dialkylbenzene-class metabolites produced by a marine obligate gammaproteobacterium of the genus Marinobacterium. J Nat Prod. 2022;85:1763–1770.
Vos PD, Garrity GM, Jones D, Krieg NR, Ludwig W, Rainey FA, Schleifer K-H, Whitman WB Bergey’s manual of systematic bacteriology. 2nd ed. 3. Dordrecht: Springer; 2009. 164–8.
Chiu JMY, Li S, Li A, Po B, Zhang R, Shin PKS, Qiu JW. Bacteria associated with skeletal tissue growth anomalies in the coral Platygyra carnosus. FEMS Microbiol Ecol. 2012;79:380–91.
Dictionary of Natural Products. https://dnp.chemnetbase.com/chemical/ChemicalSearch.xhtml?dswid=1560. Accessed 19 Feb 2025.
Osawa A, Ishii Y, Sasamura N, Morita M, Kocher S, Muller V, Sandmann G, Shindo K. Hydroxy-3,4-dehydro-apo-8-lycopene and methylhydroxy-3,4-dehydro-apo-8′-lycopenoate, novel C30 carotenoids produced by a mutant of marine bacterium Halobacillus halophilus. J Antibiot. 2010;63:291–5.
Yang L, Tan RX, Wang Q, Huang W, Yin Y. Antifungal cyclopeptides from Halobacillus litoralis YS3106 of marine origin. Tetrahedron Lett. 2002;43:6545–6548.
Teasdale ME, Liu J, Wallace J, Akhlaghi F, Rowley DC. Secondary metabolites produced by the marine bacterium Halobacillus salinus that inhibit quorum sensing-controlled phenotypes in gram-negative bacteria. Appl Environ Microbiol. 2009;75:567–72.
Nalini S, Inbakandan D, Venkatnarayanan S, Mohammed Riyaz SU, Dheenan PS, Vinithkumar NV, Sriyutha Murthy P, Parthasarathi R, Kirubagaran R. PYRROLO isolated from marine sponge associated bacterium Halobacillus kuroshimensis SNSAB01 –antifouling study based on molecular docking, diatom adhesion and mussel byssal thread inhibition. Colloids Surf B Biointerfaces. 2019;173:9–17.
Pretsch E, Bühlmann P, Affolter C Structure determination of organic compounds—Tables of spectra data. Springer, Berlin, 2000. 236
Roslund MU, Klika KD, Lehtilä RL, Tähtinen P, Sillanpää R, Leino R. Conformation of the galactose ring adopted in solution and in crystalline form as determined by experimental and DFT 1H NMR and single-crystal X-ray analysis. J Org Chem. 2004;69:18–25.
Tanaka T, Nakashima T, Ueda T, Tomii K, Kouno I. Facile discrimination of aldose enantiomers by reversed-phase HPLC. Chem Pharm Bull. 2007;55:899–901.
Lampis G, Deidda D, Maullu C, Madeddu MA, Pompei R, Monache FD. Sattabacins and sattazolins: new biologically active compounds with antiviral properties extracted from a Bacillus sp. J Antibiot. 1995;48:967–972.
Park JS, Kagaya N, Hashimoto J, Izumikawa M, Yabe S, Shin-ya K, Nishiyama M, Kuzuyama T. Identification and biosynthesis of new acyloins from the thermophilic bacterium Thermosporothrix hazakensis SK20-1T. ChemBioChem. 2014;15:527–532.
Park HB, Kim YJ, Lee JK, Lee KR, Kwon HC. Spirobacillenes A and B, unusual spiro-cyclopentenones from Lysinibacillus fusiformis KMC003. Org Lett. 2012;14:5002–5005.
Author information
Authors and Affiliations
Corresponding author
Ethics declarations
Conflict of interest
The authors declare no competing interests.
Additional information
Publisher’s note Springer Nature remains neutral with regard to jurisdictional claims in published maps and institutional affiliations.
Supplementary information
Rights and permissions
About this article
Cite this article
Raji, M.M.A., Triningsih, D.W., Trianto, A. et al. Halobacin, a herbicidal acyloin derivative from a marine bacterium of the genus Halobacillus. J Antibiot 78, 569–572 (2025). https://doi.org/10.1038/s41429-025-00842-7
Received:
Revised:
Accepted:
Published:
Version of record:
Issue date:
DOI: https://doi.org/10.1038/s41429-025-00842-7
This article is cited by
-
Litchficin, a germination inhibitory acyloin from a halophilic Gram-positive bacterium of the genus Litchfieldia
The Journal of Antibiotics (2025)