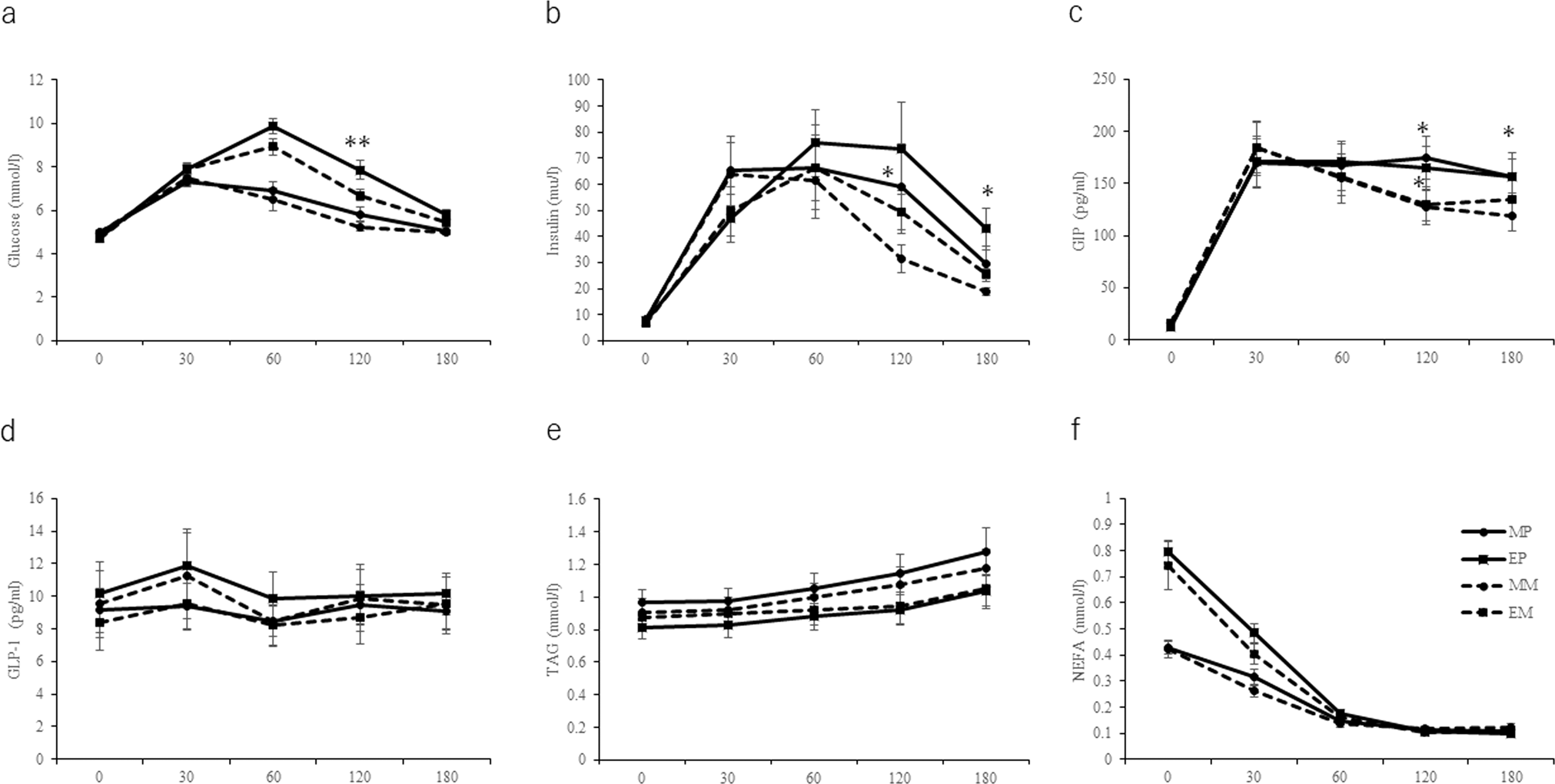
Fig. 2: Fasting and postprandial blood biomarker concentrations.

Fasting and postprandial plasma concentrations of glucose (a), insulin (b), GIP (c), GLP-1 (d), TAG (e), and NEFA (f) in the morning and evening trials. (Morning placebo (MP), evening placebo (EP), morning MLE (MM), and evening MLE (EM)). The values are presented as means while standard errors are represented by bidirectional bars. The mean values are significantly different from those of MLE trials at same mealtime: *P < 0.05, **P < 0.01 with Bonferroni correction. Abbreviations: MLE mulberry leaf extract, MM morning mulberry leaf extract, MP morning placebo, EM evening mulberry leaf extract, EP evening placebo, GIP gastric inhibitory polypeptide, GLP-1 glucagon-like peptide 1, NEFA non-esterified fatty acid, TAG triacylglycerol.