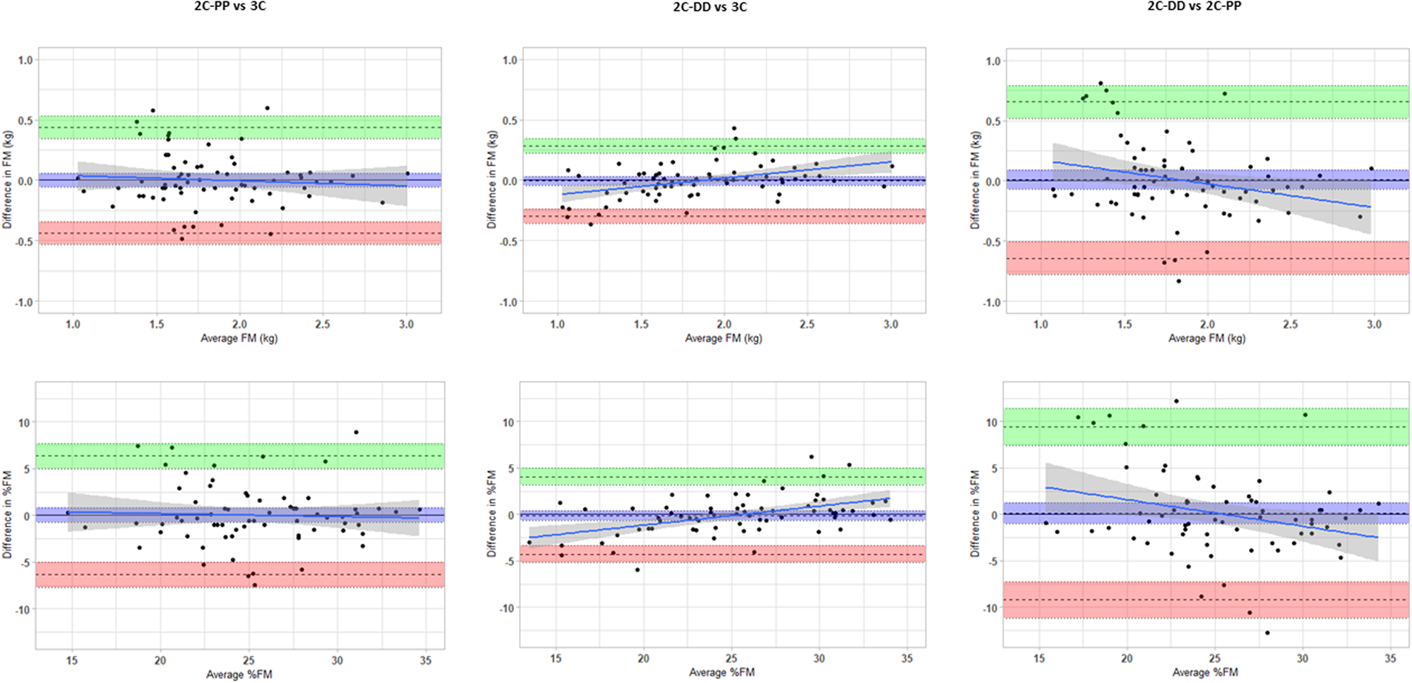
Fig. 1: Bland–Altman analyses comparing the two-compartment model with PEA POD to the three-compartment model (2C-PP vs 3C), the two-compartment model with deuterium dilution to the three-compartment model (2C-DD vs 3C), and the two-compartment model with deuterium dilution to the two-compartment model with PEA POD (2C-DD vs 2C-PP).

The panels in the top row display Bland–Altman analyses of fat mass (FM) for 2C-PP vs 3C (top left), 2C-DD vs 3C (top middle) and 2C-DD vs 2C-PP (top right). The panels in the bottom row display Bland–Altman analyses of percent fat mass (%FM) for 2C-PP vs 3C (bottom left), 2C-DD vs 3C (bottom middle) and 2C-DD vs 2C-PP (bottom right). In each panel, the Y axes show the difference between the methods, and the X axes show the mean of the methods pertaining to the respective body composition variable. The solid black line represents the mean differences between the methods, and the dashed lines are the limits of agreement (±2 SD from the mean difference). The blue colour diagonal line represents the proportional bias; coloured shaded areas around solid and dashed lines show 95% confidence intervals.