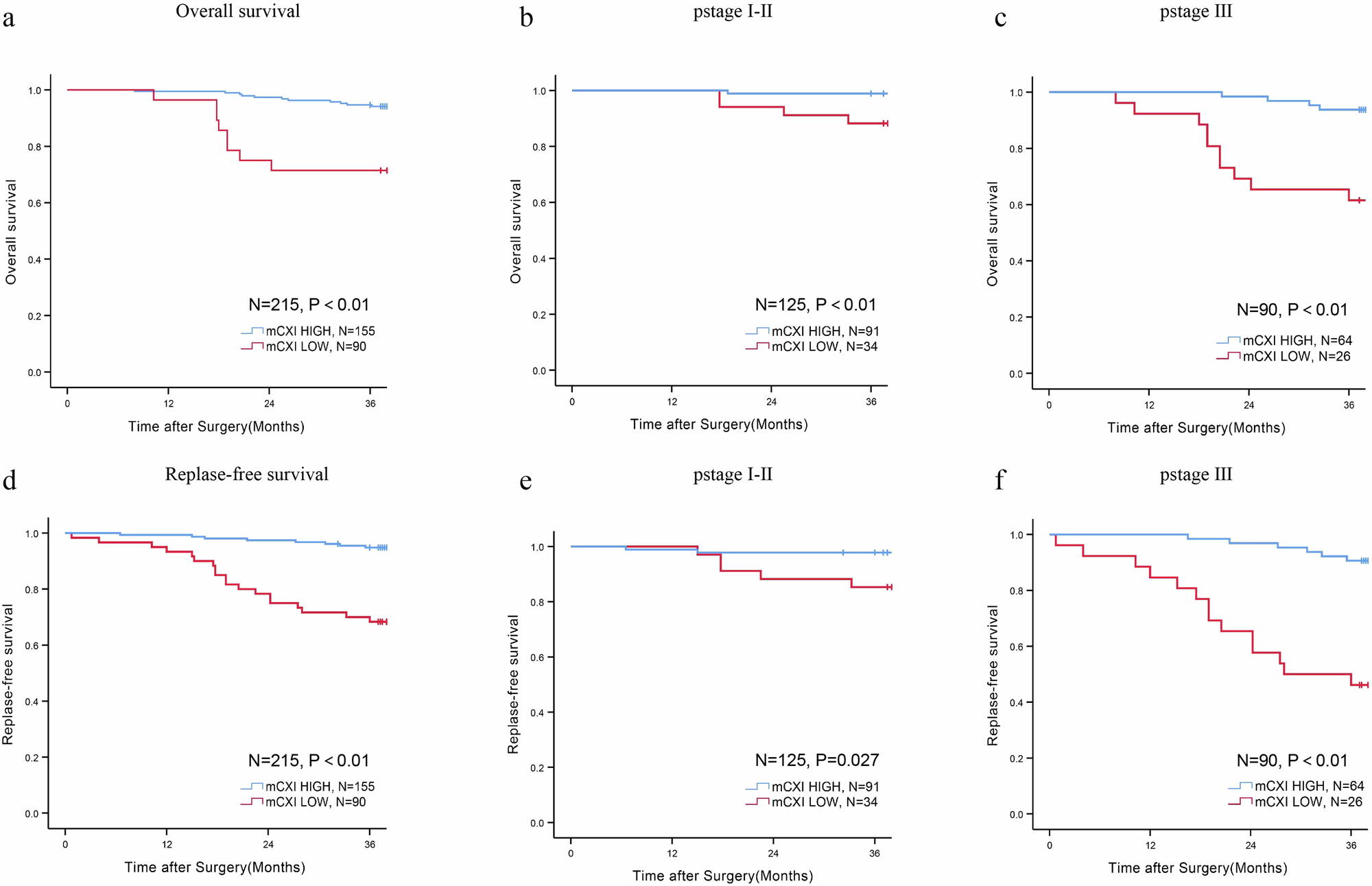
Fig. 1: Prognosis of different mCXI subgroups.

Kaplan–Meier curves for overall survival and replase-free survival in HIGH mCXI or LOW mCXI groups (a, d), pStageI-II patients (b, e), and pStageIII patients (c, f).

Kaplan–Meier curves for overall survival and replase-free survival in HIGH mCXI or LOW mCXI groups (a, d), pStageI-II patients (b, e), and pStageIII patients (c, f).