Abstract
Background
It was reported that the cachexia index (CXI: \(\frac{{\rm{ALB}}* {\rm{SMI}}}{{\rm{NLR}}}\)) was an essential index for predicting the prognosis of tumor patients. However, since for SMI needs to be measured by CT imaging methods and its calculation was inconvenient. Thus, we developed a modified cachexia index (mCXI: \(\frac{{\rm{ALB}}}{{\rm{NLR}}* {\rm{UCR}}}\)). The purpose of this study was to evaluate the association between mCXI and prognosis in patients with colorectal cancer.
Methods
An analysis of 215 patients with newly diagnosed colorectal cancer was carried out retrospectively. An optimal cut-off value of mCXI was established by the receiver operating characteristic (ROC) curves for predicting prognosis. Prognostic implications of mCXI were investigated using Kaplan–Meier curves and Cox regression analysis. A comparative assessment of the predictive capacity between mCXI and the CXI was performed using time-dependent receiver operating characteristic analysis.
Results
Patients were classified into two groups based on the cut-off value of mCXI: the LOW mCXI group (n = 60) and the HIGH mCXI group (n = 155). The 3-year Overall survival (OS) (76.6% vs 96.7%, p < 0.01) and 3-year Recurrence-free survival (RFS) (68.3% vs 94.1%, p < 0.01) were significantly worse in the LOW mCXI group in contrast to that in the HIGH mCXI group. In Cox multivariate regression analysis, mCXI was an independent prognostic factor for OS (HR = 8.951, 95%CI: 3.105–25.807, <0.01). Moreover, compared with CXI (AUC = 0.723), mCXI (AUC = 0.801) has better predictive efficacy, indicating that mCXI is more suitable for prognostic assessment.
Conclusions
The mCXI significantly correlated with survival outcomes for colorectal cancer patients after radical surgery.
Similar content being viewed by others
Introduction
Colorectal cancer ranks the third most prevalent cancer worldwide and is the second leading cause of cancer-related mortality [1]. The incidence of cancer cachexia affected approximately 50% of individuals diagnosed with colorectal cancer [2], with 20% of cancer-related deaths attributed to cachexia [3]. Moreover, cancer cachexia acts as a prognostic marker for patients with colorectal cancer [1].
Cancer cachexia is a multifactorial syndrome characterized primarily by a persistent deficit of skeletal muscle [2]. Patients with cancer cachexia often experience progressive decline in physical functioning [3], reduced tolerance towards anticancer therapy [4], systemic inflammatory response [5] and negative protein-energy balance [6]. Despite its clinical significance, diagnostic criteria for cancer cachexia was still not in uniform and was mainly related to factors such as weight changes, CRP level and muscle level [7]. In recent years, cachexia index(CXI) has been developed, which was derived from the calculation of skeletal muscle index (SMI) multiplied by serum albumin divided by the neutrophil-lymphocyte ratio(NLR) [8]. At present, the calculation of SMI requires measuring of skeletal muscle area at the third lumbar vertebra level on an abdominal CT scan, while the NLR represents the quotient of serum neutrophil count to serum lymphocyte count. These clinical indicators not only showed independent associations with outcomes in colorectal cancer patients [9,10,11], CXI is actually the product of the combination of skeletal muscle, nutritional status and body systemic inflammatory status, and could help reflect the comprehensive status involving the above status to some extent. The CXI has been proven as a useful tool in the evaluation of cachexia and is significantly related to survival in patients with cancer such as hepatocellular carcinoma [12], gastric cancer [13], colorectal cancer [14], and diffuse large B-cell lymphoma [8].
Although SMI assessment was primarily based on the results of CT scans, the measurement procedure is time-consuming and laborious, even though patients with colorectal cancer routinely undergo preoperative abdominal CT scans. To overcome these limitations of CT scans in body composition assessment, we tried to identify serum metabolic indexes as potential alternatives. In particular, we focused on the Urea–Creatinine Ratio (UCR), which had a significant negative correlation with SMI as reported [15]. Blood creatinine, primarily stored in muscle tissue, declines in paralleled with muscle catabolism [16]. Blood creatinine can serve as an indicator of the body’s skeletal muscle content, yet its accuracy is interfered by renal function, thereby restricting its utility as a reliable biomarker for assessing skeletal muscle metabolism [17]. Urea-corrected creatinine, briefly as UCR, is obtained by calculating the serum urea to creatinine ratio, offering a method to estimate skeletal muscle mass. The study conducted by Haines and Gao et al. [15, 17] indicated that UCR shows lower sensitivity to factors unrelated to muscle atrophy, making it more suitable for reflecting skeletal muscle level Additionally, Tufan et al. [18] noted that UCR can be used to assess malnutrition. This may be related to the fact that elevated serum urea reflects, in part, a shift in the body’s metabolism towards the hydrolysis of muscle proteins. In a study of intensive care unit patients by Haynes et al., CT scans of 107 patients showed an elevated UCR consistent with a progressive decrease in muscle mass [15]. Therefore, we derived a novel evaluation index, mCXI, which was calculated as a ratio of serum albumin to NLR and UCR. Similar to CXI, the mCXI comprehensively assess malignancy in multiple aspects, and its simplicity facilitates routine repetition of clinical evaluation. However, the prognostic value of mCXI in colorectal cancer patients is unclear. Therefore, this study aimed to investigate the correlation between mCXI and survival outcomes among patients after radical surgery for colorectal cancer, as well as to compare its accuracy in predicting prognosis with that of CXI.
Materials and methods
Patients
Data from patients newly diagnosed with colorectal cancer who underwent radical surgical treatment between January 2017 and January 2019 at either Nanjing Drum Tower Hospital or General Hospital of Eastern Theater Command were analyzed retrospectively. Inclusion criteria: (1) Pathologically confirmed diagnosis of colorectal cancer; (2) Radical surgery conducted at the hospital; (3) Preoperative CT scans of the abdomen carried out at our hospital. Exclusion criteria:(1) Patients who the postoperative pathological stage was four stages; (2) Patients received neoadjuvant therapy before surgery;(3) Patients with incomplete medical records. Finally, the study included 215 patients. The Clinical Research Ethics Committee of Nanjing Drum Tower Hospital or General Hospital of Eastern Theater Command approved this observational study.
Upon admission to the hospital, patients undergo a standard and rigorous clinical process. The process includes routine examination, preoperative communication with the patient, signing the consent form for surgery and the consent form for clinical sample collection (consent to use the patient’s case data for relevant analyses and research). In this process, no additional tests and costs will be added to the patient, we protect the patient’s privacy, rights and interests, and the patient voluntarily chooses to agree or refuse.
Calculation of CXI and mCXI
The CXI was determined using the following procedure: \(\frac{{\rm{ALB}}* {\rm{SMI}}}{{\rm{NLR}}}\) [13]. The mCXI was calculated by adopting the following formula: \(\frac{{\rm{ALB}}}{{\rm{NLR}}* {\rm{UCR}}}\). The neutrophil count to lymphocyte count ratio was used to calculate the NLR. The UCR was calculated as the ratio of urea nitrogen to creatinine, all derived from blood samples collected within the seven days before surgery (Table 1).
Follow up
Patients who underwent surgery for colorectal cancer and were discharged from the hospital were subjected to regular follow-up via telephone at three-month intervals. Follow-up endpoints were the occurrence of death, recurrence, and patient status at the 3-year cutoff time point. Regular hospital appointments and follow-up were necessary. The outcome was mortality from any cause of illness and the medically confirmed recurrence.
Statistical analysis
Statistical analyses were performed using IBM SPSS Statistics for Windows, Version 26.0(Armonk, NY: IBM Corp). When appropriate, Pearson’s or Spearman’s correlation coefficients were utilized, to examine the correlations between parameters. Group differences were compared using the χ2 test or ANOVA. The Kaplan–Meier curve investigated the 3-year OS (Overall survival) and 3-year RFS (Recurrence-free survival). Univariate Cox proportional hazard models were also utilized to explore the OS. Then, variables with P values < 0.05 during and univariate analysis undergo further analysis in multivariate analysis. The efficacy of prognosis prediction was evaluated using a time-dependent receiver operating characteristic (ROC) curve. Cut-offs were calculated with the Youden index. Statistical significance was set at P < 0.05. We first built a Cox proportional hazards model and examined the survival curves, Schoenfeld residuals, and log–log plots to detect any violations in proportionality assumption, and the degrees of freedom needed for the restricted cubic spline function used for the baseline hazard rate and for the potential time-dependent effects. The final model was chosen using the AIC [19]. In the analysis of the Kaplan–Meier curves and Cox regression models, we used the right-censoring treatment of patient withdrawals that is common in survival analyses.
Results
Clinical characteristics
The baseline characteristics of the two groups stratified by mCXI are presented in Table 1. Overall, 215 patients diagnosed with colorectal cancer were involved in this research, comprising 124 (57.7%) males and 91 (42.3%) females. The participants’ mean age was 58.4 years (±12.8 years). Utilizing time-dependent ROC curves, patients with mCXI <161.4 were categorized into the low mCXI group, while those with mCXI ≥161.4 were classified into the high mCXI group. Compared with patients who exhibit high mCXI, patients in the low mCXI group had lower levels of BMI (low mCXI vs high mCXI: 22.1 ± 3.5 kg/m2 vs 23.2 ± 3.1 kg/m2, p = 0.02), SMI (low mCXI vs high mCXI: 40.6 ± 4.7 cm2/m2 vs 44.1 ± 3.7 cm2/m2, p < 0.01), hemoglobin (low mCXI vs high mCXI: 117.0 ± 24.3 g/L vs 124.9 ± 24.4 g/L, p < 0.01), lymphocytes (low mCXI vs high mCXI: 1.2 ± 0.6 × 109/L vs 1.7 ± 0.6 × 109/L, p < 0.01), more elevated neutrophils (low mCXI vs high mCXI: 4.6 ± 2.5 × 109/L vs 3.4 ± 1.3 × 109/L, p < 0.01), Albumin(g/L) (low mCXI vs high mCXI: 39.8 ± 5.4 vs 41.9 ± 3.7, p < 0.01), Creatinine(low mCXI vs high mCXI: 59.9 ± 18.9 umol/L vs 67.7 ± 17.1 umol/L, p < 0.01), Blood urea nitrogen(low mCXI vs high mCXI: 5.7 ± 2.2 mmol/L vs 5.0 ± 1.2 mmol/L, p < 0.01) (Table 1). There was no significant difference in age, gender, white blood cell count, platelets, CRP, CEA, CA199, tumor location, postoperative pathological stage, presence of underlying diseases, and postoperative complications between the two groups.
mCXI and survival
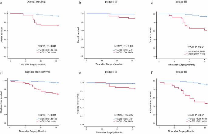
With a median follow-up period of 45 months (range 8–85 months), the 3-year OS (76.6% vs 96.7%, p < 0.01) and 3-year RFS (68.3% vs 94.1%, p < 0.01) in the mCXI low group were considerably lower than those in the mCXI high group (Fig. 1). We further subgroup analyzed the effect of mCXI on OS and RFS in patients with different stages. Notably, patients with CRC stages 1–2 and 3 in the low mCXI group had significantly poorer OS and RFS than those in the high mCXI group (Fig. 1).
Kaplan–Meier curves for overall survival and replase-free survival in HIGH mCXI or LOW mCXI groups (a, d), pStageI-II patients (b, e), and pStageIII patients (c, f).
Cox regression analysis
To examine the impact of various clinical factors on patients’ OS and RFS, we performed univariate Cox regression analysis. We discovered that BMI ≥ 24 (HR = 0.199, 95% CI: 0.046–0.860, P = 0.031) and hemoglobin ≥90 (HR = 0.354, 95% CI: 0.127–0.982, P = 0.046) were more beneficial for 3-year OS, whereas CRC stage III (HR = 4.100, 95% CI: 1.477–11.385, P = 0.007) and mCXI Low (HR = 8.179, 95% CI: 2.945–22.719 P < 0.01) exerted more risk on 3-year OS (Table 2). High BMI (HR = 0.365, 95% CI: 0.139–0.959, P = 0.041), high CEA level (HR = 2.279, 95% CI: 1.031–5.039, P = 0.042), CRC III of tumor severity (HR = 3.845, 95% CI: 1.690–8.747, P < 0.01), and low mCXI (HR = 6.399, 95% CI: 2.893–14.154, P < 0.01) were significantly associated with 3-year RFS (Table 3). After adjusting statistically significant variables in the multivariate analysis, preoperative hemoglobin (HR = 0.300, 95% CI: 0.104–0.869, P = 0.027), patient’s CRC stage (HR = 4.402, 95% CI: 1.544–12.557, P = 0.006) and mCXI (HR = 8.951, 95% CI: 3.105–25.807, P = < 0.01) were highly correlated with OS (Table 2). Preoperative CEA level (HR = 2.382, 95% CI: 1.071–5.300, P = 0.033), patient tumor stage (HR = 4.001, 95% CI: 1.721–9.302, P < 0.01), and mCXI (HR = 6.767, 95% CI: 3.017–15.176, P < 0.01) were significantly correlated with the 3-RFS were correlated considerably (Table 3).
Prediction accuracy comparison between mCXI and CXI
Using time-dependent ROCs to predict 3-year OS in patients as a whole. The areas under the curves (AUC) for SMI, 1/UCR, CXI and mCXI were 0.710 (95% CI 0.566–0.855, P < 0.01), 0.694 (95% CI 0.579–0.809, P < 0.01), 0.723 (95% CI 0.614–0.831, P < 0.01) and 0.801 (95% CI 0.717–0.885, P < 0.01) respectively (Fig. 2). Furthermore, when predicting the 3-year RFS, the AUC was 0.718 (95% CI 0.605–0.831, P < 0.01), 0.681 (95% CI 0.571–0.792, P < 0.01), 0.725 (95% CI 0.631–0.820, P < 0.01), 0.780 (95% CI 0.689–0.871, P < 0.01) (Fig. 2). After Delong test, we found that the AUC difference between mCXI and CXI was statistically significant in predicting three-year OS (P = 0.01) and three-year RFS (P = 0.048). Therefore, in this study, mCXI was the best predictor of survival and recurrence in CRC patients.
The time-dependent curves of SMI, 1/UCR, CXI and mCXI for predicting 3-year overall survival (a) and 3-year replase-free survival (b).
Discussion
Cancer cachexia is a multifactorial syndrome characterized by weight loss, accompanied by the depletion of skeletal muscle and adipose tissue. Significantly, the depletion of skeletal muscle mass is a crucial distinguishing feature of this syndrome [3, 20]. Moreover, malnutrition and systemic inflammation due to tumor progression are vital features associated with cancer cachexia [21]. It is noteworthy that cancer cachexia contributes indirectly to the mortality of 20% of cancer patients, with its incidence reported to be approximately 50% in colorectal cancer patients [22]. Colorectal cancer patient’s prognosis and quality of life are substantially affected by cancer cachexia [23].
The CXI, regarded as a potential biomarker of cancer cachexia [8], was derived from the formula SMI*ALB/NLR [13]. SMI is primarily determined by measuring the skeletal muscle area in the L3 slice level of the abdominal CT [24], serum albumin and NLR dependent on the preoperative blood draw. The assessment of skeletal muscle in the third lumbar spine cross-section on preoperative abdominal CT scan was widely recognized as a reflection of the skeletal muscle mass in the body. Moreover, research has demonstrated the usefulness of SMI as a prognostic factor for patients with colorectal cancer [25,26,27]. Moreover, decreased albumin levels may indicate elevated inflammation in patients with tumors [28]. Consequently, using albumin levels to predict the prognosis of tumor patients is also well-documented in scientific literature [29, 30]. The NLR, an inflammatory indicator reflecting systemic inflammation in the body, has proven highly valuable in predicting prognosis of patients with colorectal cancer [31, 32]. Therefore, CXI effectively assesses the degree of cancer cachexia in terms of skeletal muscle status, nutritional status, and systemic inflammation level, thereby enabling the prediction of patient prognosis. As the CXI necessitates preoperative abdominal CT and blood test reports, it remains applicable to all preoperative colorectal cancer patients. However, the sophisticated operation in muscle mass measurement at the L3 section of abdominal CT and the tremend workload exerted on radiologists largely restricted its use in the clinic. In addition, postoperative CT scan in routine follow-up period was often unnecessary, leading to the inabitity to reassess SMI after surgery. To address this issue, we employed the serum biomarker index UCR, which demonstrated a significant negative correlation with SMI, as a replacement for SMI in the malignancy index.
UCR was selected as a substitute for SMI in assessing malignant disease for two main reasons. Firstly, UCR offers a computationally simpler option for acquiring SMI [33]. Secondly, UCR functions as an indicator of catabolism, not only providing a more comprehensive representation of whole-body skeletal muscle content compared to SMI [30] but also capturing the ongoing muscle breakdown in the body [15]. Moreover, the prognostic efficacy of mCXI was observed to be excellent to that of CXI (Fig. 2). Therefore, the mCXI has superior advantages, such as more easier, more accurate and timely prognostic potential than CXI.
This study has several limitations. Firstly, Our study used a retrospective design to collect data from past records, and patients selected for inclusion in the analysis may have been affected by factors not controlled for in the study, and thus may have suffered from selection bias. Secondly, Our study relied on data from two specific hospitals, involved a homogenous ethnic region, and had a limited sample size, which may not be representative of the wider population and lack diversity. Thirdly, In addition, our study included only stage III patients and excluded stage IV, which resulted in a partial selection bias. Therefore, further prospective studies are warranted to validate the predictive importance of the mCXI.
Conclusion
In summary, the mCXI showed a significant association with the postoperative prognosis of patients with colorectal cancer. Moreover, in the context of predicting the prognosis following radical surgery for colorectal cancer, the mCXI demonstrated outstanding predictive ability to that of the CXI, signifying its effectiveness as a valuable prognostic indicatiors in the clinic.
Data availability
The patient data utilized in this study is available in the Excel spreadsheet.
References
Fearon KC, Glass DJ, Guttridge DC. Cancer cachexia: mediators, signaling, and metabolic pathways. Cell Metab. 2012;16:153–66.
Nishikawa H, Goto M, Fukunishi S, Asai A, Nishiguchi S, Higuchi K. Cancer Cachexia: Its Mechanism and Clinical Significance. Int J Mol Sci. 2021;22:8491.
Baracos VE, Martin L, Korc M, Guttridge DC, Fearon KCH. Cancer-associated cachexia. Nat Rev Dis Prim. 2018;4:17105.
Biswas AK, Acharyya S. Understanding cachexia in the context of metastatic progression. Nat Rev Cancer. 2020;20:274–84.
Loumaye A, Thissen JP. Biomarkers of cancer cachexia. Clin Biochem. 2017;50:1281–8.
Tanaka K, Nakamura S, Narimatsu H. Nutritional Approach to Cancer Cachexia: A Proposal for Dietitians. Nutrients. 2022;14:345.
Fearon K, Strasser F, Anker SD, Bosaeus I, Bruera E, Fainsinger RL, et al. Definition and classification of cancer cachexia: an international consensus. Lancet Oncol. 2011;12:489–95.
Go SI, Park MJ, Park S, Kang MH, Kim HG, Kang JH, et al. Cachexia index as a potential biomarker for cancer cachexia and a prognostic indicator in diffuse large B-cell lymphoma. J Cachexia Sarcopenia Muscle. 2021;12:2211–9.
Guthrie GJ, Charles KA, Roxburgh CS, Horgan PG, McMillan DC, Clarke SJ. The systemic inflammation-based neutrophil-lymphocyte ratio: experience in patients with cancer. Crit Rev Oncol Hematol. 2013;88:218–30.
Lai CC, You JF, Yeh CY, Chen JS, Tang R, Wang JY, et al. Low preoperative serum albumin in colon cancer: a risk factor for poor outcome. Int J Colorectal Dis. 2011;26:473–81.
Yamamoto M, Saito H, Uejima C, Tanio A, Tada Y, Matsunaga T, et al. Combination of Serum Albumin and Cholinesterase Levels as Prognostic Indicator in Patients ith Colorectal Cancer. Anticancer Res. 2019;39:1085–90.
Akaoka M, Haruki K, Taniai T, Yanagaki M, Igarashi Y, Furukawa K, et al. Clinical significance of cachexia index in patients with hepatocellular carcinoma after hepatic resection. Surg Oncol. 2022;45:101881.
Gong C, Wan Q, Zhao R, Zuo X, Chen Y, Li T. Cachexia Index as a Prognostic Indicator in Patients with Gastric Cancer: A Retrospective Study. Cancers. 2022;14:4400.
Wan Q, Yuan Q, Zhao R, Shen X, Chen Y, Li T, et al. Prognostic value of cachexia index in patients with colorectal cancer: A retrospective study. Front Oncol. 2022;12:984459.
Haines RW, Zolfaghari P, Wan Y, Pearse RM, Puthucheary Z, Prowle JR. Elevated urea-to-creatinine ratio provides a biochemical signature of muscle catabolism and persistent critical illness after major trauma. Intensive Care Med. 2019;45:1718–31.
McClelland TJ, Davies T, Puthucheary Z. Novel nutritional strategies to prevent muscle wasting. Curr Opin Crit Care. 2023;29:108–13.
Gao H, Wang J, Zou X, Zhang K, Zhou J, Chen M. High blood urea nitrogen to creatinine ratio is associated with increased risk of sarcopenia in patients with chronic obstructive pulmonary disease. Exp Gerontol. 2022;169:111960.
Tufan F, Yildiz A, Dogan I, Yildiz D, Sevinir S. Urea to creatinine ratio: a forgotten marker of poor nutritional state in patients undergoing hemodialysis treatment. Aging Male. 2015;18:49–53.
Hubbard AE, Kherad-Pajouh S, van der Laan MJ. Statistical Inference for Data Adaptive Target Parameters. Int J Biostat. 2016;12:3–19.
Schmidt SF, Rohm M, Herzig S, Berriel Diaz M. Cancer Cachexia: More Than Skeletal Muscle Wasting. Trends Cancer. 2018;4:849–60.
Ni J, Zhang L. Cancer Cachexia: Definition, Staging, and Emerging Treatments. Cancer Manag Res. 2020;12:5597–605.
Argiles JM, Busquets S, Stemmler B, Lopez-Soriano FJ. Cancer cachexia: understanding the molecular basis. Nat Rev Cancer. 2014;14:754–62.
Kasprzak A. The Role of Tumor Microenvironment Cells in Colorectal Cancer (CRC) Cachexia. Int J Mol Sci. 2021;22:1565.
Reisinger KW, van Vugt JL, Tegels JJ, Snijders C, Hulsewe KW, Hoofwijk AG, et al. Functional compromise reflected by sarcopenia, frailty, and nutritional depletion predicts adverse postoperative outcome after colorectal cancer surgery. Ann Surg. 2015;261:345–52.
Xiao J, Caan BJ, Cespedes Feliciano EM, Meyerhardt JA, Peng PD, Baracos VE, et al. Association of Low Muscle Mass and Low Muscle Radiodensity With Morbidity and Mortality for Colon Cancer Surgery. JAMA Surg. 2020;155:942–9.
Olmez T, Karakose E, Bozkurt H, Pence HH, Gulmez S, Aray E, et al. Sarcopenia is associated with increased severe postoperative complications after colon cancer surgery. Arch Med Sci. 2021;17:361–7.
Hopkins JJ, Reif RL, Bigam DL, Baracos VE, Eurich DT, Sawyer MB. The Impact of Muscle and Adipose Tissue on Long-term Survival in Patients With Stage I to III Colorectal Cancer. Dis Colon Rectum. 2019;62:549–60.
Kuhn T, Sookthai D, Graf ME, Schubel R, Freisling H, Johnson T, et al. Albumin, bilirubin, uric acid and cancer risk: results from a prospective population-based study. Br J Cancer. 2017;117:1572–9.
Gupta D, Lis CG. Pretreatment serum albumin as a predictor of cancer survival: a systematic review of the epidemiological literature. Nutr J. 2010;9:69.
Lien YC, Hsieh CC, Wu YC, Hsu HS, Hsu WH, Wang LS, et al. Preoperative serum albumin level is a prognostic indicator for adenocarcinoma of the gastric cardia. J Gastrointest Surg. 2004;8:1041–8.
Lin N, Li J, Yao X, Zhang X, Liu G, Zhang Z, et al. Prognostic value of neutrophil-to-lymphocyte ratio in colorectal cancer liver metastasis: A meta-analysis of results from multivariate analysis. Int J Surg. 2022;107:106959.
Templeton AJ, McNamara MG, Seruga B, Vera-Badillo FE, Aneja P, Ocana A, et al. Prognostic role of neutrophil-to-lymphocyte ratio in solid tumors: a systematic review and meta-analysis. J Natl Cancer Inst. 2014;106:dju124.
Kim JS, Martin MJ. REDOX REDUX? Glutamine, Catabolism, and the Urea-to-Creatinine Ratio as a Novel Nutritional Metric. Crit Care Med. 2022;50:1156–9.
Acknowledgements
The authors thank all the investigators who participated in the study.
Funding
This work was supported by the National Natural Science Foundation of China (82172149), the funding for Clinical Trials from the Affiliated Drum Tower Hospital, Medical School of Nanjing University (2022-LCYJ-PY-17, 2023-LCYJ-MS-02) and CIMF - CSPEN Project (Z-2017–24–2211).
Author information
Authors and Affiliations
Contributions
Study conception and design: CD. Collection of date: QY, KW and SZ. Analyzing of data: QY, LL, and KW. Drafting of the manuscript: QY. Revising of manuscript: BG, CD, and WG.
Corresponding authors
Ethics declarations
Competing interests
The authors declare no competing interests.
Ethics approval and consent to participate
The process adhered to the ethical standards outlined in the Declaration of Helsinki. Approval for this study was granted by the ethics committees of Nanjing Drum Tower Hospital and General Hospital of Eastern Theater Command, and was conducted only after obtaining informed consent.
Additional information
Publisher’s note Springer Nature remains neutral with regard to jurisdictional claims in published maps and institutional affiliations.
Rights and permissions
Open Access This article is licensed under a Creative Commons Attribution 4.0 International License, which permits use, sharing, adaptation, distribution and reproduction in any medium or format, as long as you give appropriate credit to the original author(s) and the source, provide a link to the Creative Commons licence, and indicate if changes were made. The images or other third party material in this article are included in the article’s Creative Commons licence, unless indicated otherwise in a credit line to the material. If material is not included in the article’s Creative Commons licence and your intended use is not permitted by statutory regulation or exceeds the permitted use, you will need to obtain permission directly from the copyright holder. To view a copy of this licence, visit http://creativecommons.org/licenses/by/4.0/.
About this article
Cite this article
Yuan, Q., Liu, L., Wang, K. et al. Developing and validating a Modified Cachexia Index to predict the outcomes for colorectal cancer after radical surgery. Eur J Clin Nutr 78, 880–886 (2024). https://doi.org/10.1038/s41430-024-01469-x
Received:
Revised:
Accepted:
Published:
Version of record:
Issue date:
DOI: https://doi.org/10.1038/s41430-024-01469-x




