Abstract
Background
Birth by cesarean section (C-section) is associated with a delayed colonization of bifidobacteria and Bacteroidota species with potential negative health consequences. Previously, an infant formula with a synbiotic mixture of short-chain galacto-oligosaccharides and long-chain fructo-oligosaccharides (scGOS/lcFOS [9:1]) and Bifidobacterium breve M-16V was found to restore the timely colonization of bifidobacteria in C-section born infants. In this study, we investigated the effect of this synbiotic mixture on gut microbiota development in C-section and vaginally–born infants participating in a growth equivalence trial (NCT03520764).
Methods
Healthy, fully formula-fed Chinese infants were randomized to receive a partially hydrolyzed whey-based protein formula with the synbiotic mixture (n = 112), or an intact protein formula with scGOS/lcFOS (prebiotic, n = 112). Breastfed infants served as reference group (n = 60). Gut microbiota profiling by 16S rRNA gene sequencing of stools collected at baseline, 17 weeks (end of intervention) and 12 months of age was complemented with analysis of stool pH, short-chain fatty acids, lactic acids, and secretory IgA concentrations.
Results
Both the prebiotic and the synbiotic formula supported a dominant and diverse infant-type bifidobacterial community, but with increased abundance of Bifidobacterium breve in the synbiotic group. In C-section born infants (54.8% of randomized) the synbiotic but not the prebiotic, enhanced the bifidobacterial species diversity and showed restoration of Parabacteroides at 17 weeks, and Bacteroides spp. at 12 months closer to that of the vaginally–born infants.
Conclusion
The synbiotic was confirmed to support the restoration of important gut colonizers in infants born by C-section with effects observed even beyond the intervention period.
Similar content being viewed by others
Introduction
Gut microbiome acquisition and development is significantly influenced by early life factors such as birth mode, antibiotics and breastfeeding [1]. Specifically, C-section birth leads to profound changes in gut microbiota development and is associated with an increased early-life risk of infections [2], adverse gastrointestinal symptoms [3], and later-life risk of developing non-communicable diseases including allergy [2], asthma [4] and obesity [5].
C-section delivery is characterized by a delayed colonization with Bifidobacterium species in the first months of life [6] and a reduced abundance of members of the phylum Bacteroidota (formerly Bacteroidetes) up to 1 year of age [7]. Often C-section delivery includes exposure of the newborn to maternally administered antibiotics which may contribute to the observed effects [8]. However, recent studies indicate that the compromised colonization of these taxa is mainly attributed to a disrupted vertical transfer from mother to infant [6]. Moreover, a postnatal catch-up of these taxa via the infants’ environment (horizontal transmission) is hampered due to their oxygen sensitivity and inability to form spores [9].
Species of Bacteroidota and Bifidobacterium have evolved genetic and enzymatic toolsets to utilize host-derived glycans, particularly human milk oligosaccharides (HMOs) [10]. This HMO degradation forms the foundation for the mutualistic symbiosis between humans and these keystone taxa [11]. After vaginal birth, these taxa rapidly expand in the gut of breastfed infants and contribute in maintaining an anaerobic gut environment [9]. The fermentation of HMOs by bifidobacteria lead to metabolites, such as acetate and lactate. These compounds effectively control the abundance of facultative anaerobic Pseudomonadota (formerly Proteobacteria), a phylum that includes several potential pathogens [12].
A recent clinical study by Chua et al. [13] demonstrated that a synbiotic mixture that combines the prebiotic short-chain galacto-oligosaccharides and long-chain fructo-oligosaccharides (scGOS/lcFOS, 9:1 ratio) with the probiotic Bifdobacterium breve M-16V can restore bifidobacteria colonization plus the gut physiology of C-section born close to that of vaginally-delivered infants [13]. In this study, we investigated effects of this specific synbiotic mixture added to a partially hydrolyzed whey-based protein formula (pHF) on gut microbiota development in a population of healthy Chinese infants participating in a previously published clinical trial [14]. This parent study confirmed that the synbiotic pHF was safe, well-tolerated and supported adequate growth [14]. Here we report 16S rRNA gene sequencing analyses performed on the fecal samples collected in this study. Additionally, the stool pH, short-chain fatty acids (SCFAs), lactic acids and secretory IgA (sIgA) concentrations were analyzed. More than half of the subjects in this study were born through C-section, which is in accordance with the high rates reported in China [15]. This prompted us to specifically investigate the effect of the intervention in relation to birth mode.
Subjects and methods
Stool samples
The stool samples analyzed were collected from healthy Chinese infants that participated in a double-blind, randomized controlled, two-arm parallel group, growth equivalence trial (ClinicalTrials.gov identifier NCT03520764). The study was conducted in compliance with the principles of the Declaration of Helsinki and all procedures were approved by Ethical Review Boards of participating hospitals. Before screening, written informed consent was obtained from parent(s)/legal guardians (parents) ≥18 y of age for each infant. Study design and subject inclusion was described in more detail before [14]. In short, this multicenter trial enrolled healthy, term-born, fully formula-fed infants (≤44 days of age) who received either the synbiotic pHF (Test, n = 112) or a commercially available intact protein formula (IF) containing the prebiotics only (Control, n = 112) until 17 weeks of age. Infants breastfed until at least 17 weeks of age formed the breastfed reference group (Breastfed, n = 60). The trial was powered to test equivalence in daily weight gain from baseline to 17 weeks of age as detailed previously [14]. The stool sample analysis described in this study was part of the exploratory outcomes of the trial.
Stools were collected at clinical visit 1 (baseline, before start of study product), visit 5 (17 weeks of age, end of intervention) and visit 8 (12 months of age, follow-up visit). Collection was done by the parents at home within 3 days prior to or on the day of the clinical visit using the stool collection kits provided at earlier visits. The samples were scooped from the diaper into 30-ml stool containers (Greiner 443102, Merck, Darmstadt, Germany) and immediately frozen at −12 °C or colder. Transport to the clinic was done using a cooler bag with frozen icepacks and stored in −80 °C freezers at the sites. Complete sample sets were shipped on dry ice to the laboratory of Applied Protein Technology Co. (Shanghai City, China) and stored at −80 °C until further sample processing and analysis. Once all samples were available, they were thawed once and aliquoted for the different types of analyses as described previously [16].
Stool physiology and secretory IgA
The following stool physiology parameters were measured: pH, short-chain fatty acid (SCFA) concentrations (i.e., acetate, propionate, butyrate, isobutyrate, valerate, and isovalerate), D- and L-lactate concentrations, and secretory immunoglobulin A (sIgA). The analyses and quantification was performed by the laboratory of Applied Protein Technology Co. (Shanghai City, China) according to the methodologies as previously described in more detail for SCFAs [17], pH, lactic acids and SIgA [16], respectively.
DNA extraction and 16S rRNA gene sequencing
DNA extraction from stool samples was performed with the QIAamp® Fast DNA Stool Mini Kit (Qiagen) according to the manufacturer’s protocol with additional bead-beating and an RNase incubation step as described previously [18]. DNA quality was checked using the NanoDrop™ spectrophotometer (Thermo Fisher Scientific, Waltham, Massachusetts, USA), whereas DNA concentrations were measured using the Qubit dsDNA BR Assay Kit (Thermo Fisher Scientific). DNA aliquots were stored at −80 °C and transported on dry ice in one batch to the BGI group (Shenzhen, China) for 16S rRNA gene sequencing analysis. Hypervariable V3–V4 regions of the 16S rRNA gene were sequenced on the MiSeq™ platform (Illumina, San Diego, California, USA) as described previously [19].
Bioinformatics
The resulting sequencing reads were analyzed following the workflow detailed in the Supplementary Methods. In summary, the read pairs were demultiplexed and trimmed before being merged. High quality merged reads were dereplicated and counted, after which filtering was applied to remove reads with less than two reads over all samples, chimeras, and reads including PhiX or adapter sequences. Taxonomic assignment of sequence reads was performed using the RDP classifier [20] against the SILVA database [21] up to the genus level. Unsupervised oligotyping of Bifidobacterium assigned sequences up to the species level was performed using the Minimum Entropy Decomposition (MED) algorithm [22]. Alpha-diversity and beta-diversity metrics were calculated using the phyloseq v.1.38.0 [23] and vegan v.2.6-2 [24] packages in R v.4.1.0 [25].
Statistics
The stool physiology, sIgA and alpha-diversity parameters were analyzed using a linear mixed-effects model for repeated measures (MMRM) including intervention, visit and infant age at baseline as fixed main effects, intervention by visit as a fixed interaction effect and subject as a random effect. A modifier analysis was conducted by including birth mode as main fixed effect plus its interaction with intervention, and intervention by visit. Stool parameters that could not be analyzed adequately with a MMRM (on the original or log-scale) were compared by the Wilcoxon rank sum test.
Principal coordinate analysis (PCoA) and distance-based redundancy analysis (db-RDA), using Bray–Curtis metrics were applied to compare the relative taxonomic compositions (beta-diversity) between samples per visit. Permutational multivariate analysis of variance (PERMANOVA) followed by post-hoc comparisons with Holm’s step-down correction for multiple testing was applied to compare the intervention and breastfed reference group centroids. Time-dependent microbial community responses and the interaction of these groups with birth mode were assessed with a principal response curves (PRC) analysis using the weighted Aitchison log-ratio method with statistical significance assessment by Monte Carlo permutation testing [26, 27].
Differential taxon abundances for the intervention at the different visits was analyzed using the multi-part statistical test as described previously [28]. Responder taxa identified with the PRC analysis were analyzed using generalized linear mixed-effects models for repeated measures (GLMM) using a negative binomial (NB) or a zero inflated negative binomial (ZINB) regression model depending on the magnitude of zero counts for each taxon. Model formulation was similar to that of the MMRM modifier analysis with the logarithm of the taxon count as outcome and the logarithm of sequencing depth as offset to weight for the differences in sampling effort.
All statistical analyses were conducted according to a predefined statistical analysis plan finalized before data unblinding and were performed using SAS® (Life Science Analytics Framework version 9.4, SAS Institute, Cary, NC, USA) except for the beta-diversity analysis and (zero-inflated) negative binomial models, which were analyzed with Canoco software v.5.15 for multivariate exploration and visualization [29] and R v.4.1.0 using the following packages: phyloseq v.1.38.0 [23], vegan v.2.6-2 [24], tidyverse v.1.3.1 [30], glmmTMB v.1.0.2.1 [31], emmeans v.1.6.0 [32] and DHARMa v.0.4.1 [33].
Results
Analysis population
Stools collected from all subjects randomized (ASR) and the breastfed reference were analyzed if at least one stool sample per subject was available and collected within the predefined age-categories of the visits, i.e., baseline (1–44 days), visit 5 (17 weeks ± 14 days), and visit 8 (12 months ± 28 days). The resulting analysis population consisted of 221 out of 224 subjects of the ASR population (Test n = 112, Control n = 109), and 58 out of 60 subjects of the breastfed reference with at least one non-missing stool parameter. Most of these subjects had stool samples collected at all three visits, with the majority of those randomized being fully formula-fed from birth onwards (53.6% in the Test group and 52.3% in the Control group) prior to the start of study product. Also, the pre-study duration of any breastfeeding was similar between Test and Control, and on average, the full study product was introduced at 21 (SD = 14.8) days of age (Table 1).
Subject characteristics were generally well balanced with some exceptions as previously reported [14], i.e. Test was slightly younger at baseline (t-test, p = 0.056), had a higher percentage siblings (Fisher exact test, p = 0.002) and C-section deliveries (Fisher exact test, p = 0.010) compared to Control [14]. About half of the randomized subjects were born through C-section (n = 121, 54.8%), of whom the majority (n = 104, 86%) were exposed to intrapartum antibiotics, administered prophylactically to the mother’s, in accordance with common hospital guidelines for C-section deliveries [8].
Intervention effects in the total analysis population
Gut microbiota composition and diversity
DNA was successfully extracted and sequenced from 669 stool samples from 273 subjects with a median sequencing depth of 50,600 reads per sample (range: 12,049–65,969) (Supplementary Table 1). Taxonomic profiling resulted in 100 bacterial genera (Supplementary Table 2) with on average 17 genera per sample at baseline (SD = 5.07), 22 at 17 weeks (SD = 5.09) and 36 at 12 months (SD = 7.36). The microbiota composition across all groups and visits was characterized by dominant levels of Actinomycetota (formerly Actinobacteria, mostly Bifidobacterium genus), followed by Pseudomonadata (formerly Proteobacteria), Bacillota (formerly Firmicutes), and Bacteroidota (formerly Bacteroidetes) (Supplementary Fig. 1a), which is in accordance with patterns reported across global infant populations [7].
No statistically significant difference in alpha-diversity was observed between the intervention groups (Fig. 1a). In general, alpha-diversity in both formula groups showed an increment across visits comparable to the breastfed reference group. Principal coordinate analysis (PCoA) based on Bray–Curtis distances at genus level showed significant differences between the group centroids of Test and Control at baseline (PERMANOVA, p = 0.039, Supplementary Fig. 1b), but not 17 weeks (Fig. 1c) nor at 12 months of age (Supplementary Fig. 1c). At 17 weeks, both formula groups showed similar distances to the breastfed reference, which was confirmed by pairwise comparisons of their group centroids (p = 0.003 for both comparisons). No significant differences with breastfed were observed at baseline or 12 months.
a Line plots showing bacterial diversity in the study groups across the visits based on the Shannon index (mean with SD): Test (red), Control (blue) and Breastfed reference group (green). b Taxa with significantly different relative abundances between Test and Control at 17 weeks of age based on the multi-part statistical test with correction for multiple testing by controlling the positive false discovery rate at 5% (red dashed line). Significant taxa are shown by black dots with taxon assignments and non-significant taxa by gray dots. c Comparison of gut microbiota composition at 17 weeks based on a Principal Coordinate Analysis (PCoA) with Bray–Curtis sample distances. The two primary axes (PC1 and PC2) together account for 56% of the total microbial variance. Individual samples are shown as dots with their distances (gray lines) to the group centroids (squares) and the 95% confidence interval ellipses per study group. The p-values represent the results of the post-hoc comparisons from the PERMANOVA test on the group centroids with Holm’s step-down adjustment to correct for multiple testing at a 5% threshold. TvsC Test vs. Control, TvsB Test vs. Breastfed, CvsB Control vs. Breastfed.
Since Test and Control showed a significant compositional difference at baseline, additional group comparisons at 17 weeks and 12 months were performed by applying distance-based redundancy analyses (db-RDA) with correction for age at baseline and birth mode to account for their imbalance between Test and Control. Indeed, both factors explained a significant part of the variation in taxonomic composition at baseline (p = 0.001 for both covariates), and birth mode was still significant at 17 weeks (p = 0.001) and 12 months (p = 0.01). After partialling out these confounders (including the residual group differences at baseline) in a db-RDA at 17 weeks and 12 months confirmed that Test and Control were compositionally similar at these visits.
Differential abundance analysis comparing Test with Control at each visit using the multi-part statistical test revealed significantly different abundances at 17 weeks of two low-abundant bacterial genera, i.e., Cutibacterium and Negativicoccus (p = 0.006 and p = 0.003, respectively). Both taxa showed increased presence (Cutibacterium: 38% vs. 20% and Negativicoccus: 45% vs. 20%) and relative abundances (mean with (SD) for Cutibacterium: 0.05 (0.15)% vs. 3.9E−03 (0.02)% and Negativicoccus: 0.16 (0.34)% vs. 0.03 (0.17)%) in Test vs. Control (Fig. 1b).
Bifidobacterium species diversity and composition
Unsupervised oligotyping of the bifidobacterial sequences was applied to discriminate Bifidobacterium species [22]. In total, 59 bifidobacterial oligotypes were identified (Supplementary Table 3) with an average of 11 oligotypes per sample at baseline (SD = 9.36), 19 at 17 weeks (SD = 11.8) and 23 at 12 months of age (SD = 13.9).
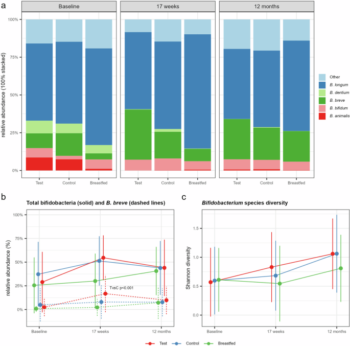
In total, 40 of the low abundant oligotypes could not be reliably assigned taxonomically to species level. The majority of the remaining oligotypes were assigned to B. longum, followed by B. breve and B. bifidum (Fig. 2a). The total relative abundance of bifidobacteria increased from baseline in both Test and Control and were equally abundant at 17 weeks, but showed a significant increase of B. breve in the synbiotic compared to the prebiotic formula, which likely reflects the delivery of the probiotic strain (p < 0.001, Fig. 2b). The bifidobacterial species diversity was highest in both formula groups at 17 weeks and 12 months and showed a non-significant increase in Test compared to Control at 17 weeks (Shannon diversity, p = 0.057, Fig. 2c). The modifier analysis that included birth mode into the model revealed that the increase of bifidobacterial species diversity at 17 weeks was mainly attributed to a significant increase in the C-section born subgroup receiving the synbiotic formula (Test vs. Control, p = 0.0256) with levels closer to that of the vaginally delivered infants receiving either the synbiotic or the prebiotic formula (Supplementary Fig. 2). Overall, the breastfed reference was associated with a lower bifidobacterial species diversity and a community more dominated by B. longum, which reflects the central role of this species, specifically its subspecies B. infantis, in HMO degradation [34].
a Stacked barplot summarizing the bifidobacterial species composition relative to all bifidobacteria by study group and visit. Bifidobacterial oligotypes with the same taxonomic assignments were aggregated at the species level. Oligotypes without taxonomic assignments are aggregated to “Other”. b Line plots for Test (red), Control (blue) and the Breastfed reference (green) group showing the relative abundance (mean with SD) of Bifidobacterium spp. (solid lines) and B. breve (dashed lines) relative to all taxa. Significant difference was observed at 17 weeks for B. breve comparing Test with Control (TvsC) using the multi-part statistical test. c Line plots for Bifidobacterium species diversity based on the Shannon index (mean with SD) calculated on identified bifidobacterial oligotypes.
Stool physiology and secretory IgA
Stool physiology and sIgA were mostly similar between Test and Control, except for the concentrations of acetate and L-lactate, which were significantly lower (p = 0.0067 and p = 0.0088) (Supplementary Table 4), and the concentrations of branched-chain short chain fatty acids (isobutyric and isovaleric acid), which were significantly higher (p = 0.015 and p = 0.006, respectively) in Test compared to Control at 17 weeks. These observations were also confirmed with additional correction of the linear models for the covariates age at baseline and birth mode.
Intervention effects by birth mode
Altered development of gut microbiota in C-section born infants
The relatively high rate of C-section born infants in this analysis population prompted us to further investigate the effects of birth mode on gut microbiota development in ASR and the breastfed reference. Principal response curves (PRC) analysis showed a significant interaction of birth mode on the community response across visits (p = 0.001, Fig. 3). Specifically, C-section delivery was associated with a reduced relative abundance up to 1 year of age of two genera of the phylum Bacteroidota (Bacteroides and Parabacteroides) and Collinsella, while increased relative abundances were observed for Clostridium sensu stricto 1, Enterococcus, Veillonella, Streptococcus and members of the phylum Pseudomonadota (Klebsiella, and unclassified Enterobacteriaceae, respectively).
First component (PRC.1) of the Principal Response Curves (PRC) analysis summarizing the response of the microbial community in C-section delivered (CS, dashed line) compared to vaginal delivered infants (VD, solid reference line) across time (horizontal axis). The interaction of birth mode with visit was significant (p = 0.001) and explained 85.1% percent of the total variation in genus composition on the first component. The top 10 taxa with the highest contribution to the first component are shown on the separate vertical axis (Taxa scores). Taxa with a positive score are decreased across time, and taxa with a negative score are increased across time in CS compared to VD infants, respectively.
Restoration of gut microbiota with synbiotics
Next, we investigated the effects of the study formulas on these specific taxa within the C-section and vaginally delivered subgroups. The synbiotic formula was observed to restore the levels of the two Bacteroidota genera in C-section born closer to that of the vaginally-delivered infants (formula-fed and breastfed) with significantly increased relative abundance of Parabacteroides at 17 weeks (p = 0.0007, Fig. 4a) and Bacteroides at 12 months (p = 0.0005, Fig. 4b) compared to C-section born infants receiving Control formula. C-section delivered breastfed infants also showed restoration of Parabacteroides, but not Bacteroides. No significant effects were observed for the other taxa identified to be affected by birth mode. However, comparing Test with Control within the vaginally born subgroup showed significantly decreased relative abundances of Klebsiella (p = 0.0146, Fig. 4c) and unclassified Enterobacteriaceae (p = 0.0304, Fig. 4d) in the synbiotic group.
Mean log-transformed abundance estimates (with 95% CL) for a Parabacteroides*, b Bacteroides, c Klebsiella, and d unclassified Enterobacteriaceae for the Test (red), Control (blue) and the Breastfed reference group (green) born by C-section (CS, dashed lines) or vaginally (VD, solid lines) with statistical assessment of significant treatment differences based on a (zero-inflated*) negative binomial (NB) mixed-effect model for repeated measures.
Discussion
In this prospective, randomized, double-blind, controlled trial we investigated microbiota composition and activity of infants receiving a pHF supplemented with the prebiotic mixture scGOS/lcFOS (9:1) and the probiotic strain B. breve M-16V compared with infants receiving an intact protein formula solely containing the prebiotic mixture. Wang et al. [14] showed that the synbiotic pHF supported adequate growth, was well tolerated, and suitable for use. Here we show that the effect of both formulas are in line with previous studies investigating the effects of the specific prebiotic [35] and synbiotic mixture [13, 36, 37] with increased levels of bifidobacteria and its metabolites L-lactate and acetate resulting in a mildly acidic gut pH, akin to breastfed infants [35]. Interestingly, the synbiotic compared to the prebiotic formula showed a more diverse bifidobacterial community with an increased abundance of Bifidobacterium breve indicating the successful delivery of the probiotic strain without the competitive exclusion of endogenous infant-type bifidobacterial species, such as B. longum and B. bifidum. The synbiotic-associated increase of bifidobacterial diversity was mainly attributed to an enrichment from baseline to 17 weeks in the C-section subgroup, bringing it closer to levels observed in vaginally-delivered infants receiving either the prebiotic or synbiotic formula. Moreover, the synbiotic also restored members of the phylum Bacteroidota in the C-section subgroup. Specifically, (i) Parabacteroides at 17 weeks, and even beyond the intervention period (ii) Bacteroides at 12 months, reaching levels similar to those observed in both formula-fed and breastfed vaginally-delivered infants.
In the total analysis population, some minor differences for the synbiotic vs. the prebiotic formula were observed, i.e. an increased abundance of Cutibacterium spp. and Negativicoccus spp., along with increased branched-chain SCFAs, which may be attributed to differences in protein composition (whey vs. whey-casein and partial vs. intact protein). Branched-chain SCFAs are derived from branched-chain amino acids and therefore provide an indicator of protein fermentation activity [38], and both bacterial taxa have been correlated with protein-degrading activity [39, 40]. Although increased colonic protein fermentation is generally considered unfavorable [41], the difference in branched-chain SCFAs did not correlate with more potential pathogens. Instead, in the vaginally-born subgroup, there was a reduction of Pseudomonadata spp., including Klebsiella, supporting reports of synbiotic-enhanced colonization resistance against potential pathogens [37].
The microbiota responses following C-section delivery in this study align with previous findings on birth mode’s impact on infant gut microbiota development. Our results highlight compromised maternal transfer of key taxa, including Bifidobacterium and Bacteroidota [6, 42,43,44,45]. Chua et al. [13] previously showed that the synbiotic in a 16-week postnatal intervention recovered bifidobacterial colonization in C-section born infants from the first days of life, and associated with a reduction of skin disorders. However, no recovery was observed for Bacteroidota [36]. In this study, we did observe a recovery of Bacteroidota from 17 weeks onwards, suggesting that the synbiotic formulation can still partially correct the lack of Bacteroidota at a later stage of gut microbiota development.
The current study had limitations: it was not powered to evaluate gut microbiota effects of the synbiotic formula upon C-section delivery. However, the observations suggest specific effects that warrant further investigation. For effective restoration in C-section infants, the intervention ideally should start right after birth and more frequent stool sampling would give better insights into the microbiota trajectories. Furthermore, studies with longer-term follow-up are needed to confirm the potential health benefits associated with the timely restoration of keystone taxa with this specific synbiotic.
Our study confirmed that both prebiotic and synbiotic formulas promote healthy gut microbiota development. Specifically, the synbiotic formula led to a dominant and diverse infant-type bifidobacterial community, with increased Bifidobacterium breve abundance. Moreover, the synbiotic restored Bacteroidota abundance in C-section-born infants, approaching levels observed in vaginally born infants.
Data availability
The 16S rRNA-gene sequencing data of this study have been deposited in the European Nucleotide Archive (ENA) at EMBL-EBI under accession number PRJEB61020. The clinical study data supporting the findings of this study are available on request from the corresponding author; understanding that there could be reasonable caveats for such requests. Researchers that meet the criteria for access to confidential clinical study data must be compliant with the Danone Research & Innovation Clinical Trial Dataset Sharing policy and the Regulation on Human Genetic Resources issued by the Human Genetic Resources Administration of China.
References
Kumar H, Collado MC, Wopereis H, Salminen S, Knol J, Roeselers G. The Bifidogenic Effect Revisited-Ecology and Health Perspectives of Bifidobacterial Colonization in Early Life. Microorganisms. 2020;8:1855.
Keshet A, Rossman H, Shilo S, Barbash-Hazan S, Amit G, Bivas-Benita M, et al. Estimating the effect of cesarean delivery on long-term childhood health across two countries. PLoS One. 2022;17:e0268103.
Jokela R, Korpela K, Jian C, Dikareva E, Nikkonen A, Saisto T, et al. Quantitative insights into effects of intrapartum antibiotics and birth mode on infant gut microbiota in relation to well-being during the first year of life. Gut Microbes. 2022;14:2095775.
Stokholm J, Thorsen J, Blaser MJ, Rasmussen MA, Hjelmso M, Shah S, et al. Delivery mode and gut microbial changes correlate with an increased risk of childhood asthma. Sci Transl Med. 2020;12:eaax9929.
Chojnacki MR, Holscher HD, Balbinot AR, Raine LB, Biggan JR, Walk AM, et al. Relations between mode of birth delivery and timing of developmental milestones and adiposity in preadolescence: A retrospective study. Early Hum Dev. 2019;129:52–9.
Dierikx T, Berkhout D, Eck A, Tims S, van Limbergen J, Visser D, et al. Influence of timing of maternal antibiotic administration during caesarean section on infant microbial colonisation: a randomised controlled trial. Gut. 2022;71:1803–11.
Korpela K, de Vos WM. Early life colonization of the human gut: microbes matter everywhere. Curr Opin Microbiol. 2018;44:70–8.
Dierikx TH, Visser DH, Benninga MA, van Kaam AHLC, de Boer NKH, de Vries R, et al. The influence of prenatal and intrapartum antibiotics on intestinal microbiota colonisation in infants: A systematic review. J Infect. 2020;81:190–204.
Ferretti P, Pasolli E, Tett A, Asnicar F, Gorfer V, Fedi S, et al. Mother-to-Infant Microbial Transmission from Different Body Sites Shapes the Developing Infant Gut Microbiome. Cell Host Microbe. 2018;24:133–45.e5.
Ioannou A, Knol J, Belzer C. Microbial Glycoside Hydrolases in the First Year of Life: An Analysis Review on Their Presence and Importance in Infant Gut. Front Microbiol. 2021;12:631282.
Wopereis H, Oozeer R, Knipping K, Belzer C, Knol J. The first thousand days - intestinal microbiology of early life: establishing a symbiosis. Pediatr Allergy Immunol. 2014;25:428–38.
Shao Y, Forster SC, Tsaliki E, Vervier K, Strang A, Simpson N, et al. Stunted microbiota and opportunistic pathogen colonization in caesarean-section birth. Nature. 2019;574:117–21.
Chua MC, Ben-Amor K, Lay C, Neo AGE, Chiang WC, Rao R, et al. Effect of Synbiotic on the Gut Microbiota of Cesarean Delivered Infants: A Randomized, Double-blind, Multicenter Study. J Pediatr Gastroenterol Nutr. 2017;65:102–6.
Wang Y, Li Z, Wu JL, Zhang L, Liu M, Tan M, et al. A partially hydrolyzed formula with synbiotics supports adequate growth and is well tolerated in healthy, Chinese term infants: A double-blind, randomized controlled trial. Nutrition. 2021;91-92:111472.
Li HT, Hellerstein S, Zhou YB, Liu JM, Blustein J. Trends in Cesarean Delivery Rates in China, 2008-2018. JAMA. 2020;323:89–91.
Wopereis H, Sim K, Shaw A, Warner JO, Knol J, Kroll JS. Intestinal microbiota in infants at high risk for allergy: Effects of prebiotics and role in eczema development. J Allergy Clin Immunol. 2018;141:1334–42.e5.
Tian Z, Zhang Y, Zheng Z, Zhang M, Zhang T, Jin J, et al. Gut microbiome dysbiosis contributes to abdominal aortic aneurysm by promoting neutrophil extracellular trap formation. Cell Host Microbe. 2022;30:1450–63.e8.
Rodriguez-Herrera A, Tims S, Polman J, Porcel Rubio R, Munoz Hoyos A, Agosti M, et al. Early-life fecal microbiome and metabolome dynamics in response to an intervention with infant formula containing specific prebiotics and postbiotics. Am J Physiol Gastrointest Liver Physiol. 2022;322:G571–G82.
Wopereis H, van Ampting MTJ, Cetinyurek-Yavuz A, Slump R, Candy DCA, Butt AM, et al. A specific synbiotic-containing amino acid-based formula restores gut microbiota in non-IgE mediated cow’s milk allergic infants: a randomized controlled trial. Clin Transl Allergy. 2019;9:27.
Wang Q, Garrity GM, Tiedje JM, Cole JR. Naive Bayesian classifier for rapid assignment of rRNA sequences into the new bacterial taxonomy. Appl Environ Microbiol. 2007;73:5261–7.
Pruesse E, Quast C, Knittel K, Fuchs BM, Ludwig W, Peplies J, et al. SILVA: a comprehensive online resource for quality checked and aligned ribosomal RNA sequence data compatible with ARB. Nucleic Acids Res. 2007;35:7188–96.
Eren AM, Morrison HG, Lescault PJ, Reveillaud J, Vineis JH, Sogin ML. Minimum entropy decomposition: unsupervised oligotyping for sensitive partitioning of high-throughput marker gene sequences. ISME J. 2015;9:968–79.
McMurdie PJ, Holmes S. phyloseq: An R Package for Reproducible Interactive Analysis and Graphics of Microbiome Census Data. PLOS ONE. 2013;8:e61217.
Oksanen J, Simpson G, Blanchet F, Kindt R, Legendre P, Minchin P, et al. vegan: Community Ecology Package. 2022. Available from: https://CRAN.R-project.org/package=vegan.
R-Core-Team. R: A Language and Environment for Statistical Computing. Vienna, Austria: R Foundation for Statistical Computing; 2023.
van den Brink PJ, den Besten PJ, bij de Vaate A, ter Braak CJ. Principal response curves technique for the analysis of multivariate biomonitoring time series. Environ Monit Assess. 2009;152:271–81.
Greenacre M, Lewi P. Distributional Equivalence and Subcompositional Coherence in the Analysis of Compositional Data, Contingency Tables and Ratio-Scale Measurements. J Classif. 2009;26:29–54.
Cianci D, Tims S, Roeselers G, El Galta R, Swinkels S. Multi-part strategy for testing differential taxa abundance in sequencing data: A simulation study with an application to a microbiome study. J Microbiol Methods. 2023;212:106810.
Šmilauer P, Lepš J. Multivariate Analysis of Ecological Data using CANOCO 5. Cambridge Books Online: Cambridge University Press; 2014. Available from: https://doi.org/10.1017/CBO9781139627061.
Wickham H, Averick M, Bryan J, Chang W, McGowan LD, François R, et al. Welcome to the Tidyverse. J Open Source Softw. 2019;4:1686.
Brooks ME, Kristensen K, Van Benthem KJ, Magnusson A, Berg CW, Nielsen A, et al. glmmTMB balances speed and flexibility among packages for zero-inflated generalized linear mixed modeling. R J. 2017;9:378–400.
Russell L. emmeans: Estimated Marginal Means, aka Least-Squares Means. 2021. Available from: https://CRAN.R-project.org/package=emmeans.
Hartig F. DHARMa: residual diagnostics for hierarchical (multi-level/mixed) regression models. 2020. Available from: https://CRAN.R-project.org/package=DHARMa.
Ojima MN, Jiang L, Arzamasov AA, Yoshida K, Odamaki T, Xiao J, et al. Priority effects shape the structure of infant-type Bifidobacterium communities on human milk oligosaccharides. ISME J. 2022;16:2265–79.
Oozeer R, van Limpt K, Ludwig T, Ben Amor K, Martin R, Wind RD, et al. Intestinal microbiology in early life: specific prebiotics can have similar functionalities as human-milk oligosaccharides. Am J Clin Nutr. 2013;98:561S–71S.
Lay C, Chu CW, Purbojati RW, Acerbi E, Drautz-Moses DI, de Sessions PF, et al. A synbiotic intervention modulates meta-omics signatures of gut redox potential and acidity in elective caesarean born infants. BMC Microbiol. 2021;21:191.
Phavichitr N, Wang S, Chomto S, Tantibhaedhyangkul R, Kakourou A, Intarakhao S, et al. Impact of synbiotics on gut microbiota during early life: a randomized, double-blind study. Sci Rep. 2021;11:3534.
Rios-Covian D, Ruas-Madiedo P, Margolles A, Gueimonde M, de Los Reyes-Gavilan CG, Salazar N. Intestinal Short Chain Fatty Acids and their Link with Diet and Human Health. Front Microbiol. 2016;7:185.
Rocha Martin VN, Schwab C, Krych L, Voney E, Geirnaert A, Braegger C, et al. Colonization of Cutibacterium avidum during infant gut microbiota establishment. FEMS Microbiol Ecol. 2019;95:fiy215.
Adamberg K, Adamberg S. Selection of fast and slow growing bacteria from fecal microbiota using continuous culture with changing dilution rate. Micro Ecol Health Dis. 2018;29:1549922.
Scott KP, Gratz SW, Sheridan PO, Flint HJ, Duncan SH. The influence of diet on the gut microbiota. Pharm Res. 2013;69:52–60.
Reyman M, van Houten MA, van Baarle D, Bosch A, Man WH, Chu M, et al. Impact of delivery mode-associated gut microbiota dynamics on health in the first year of life. Nat Commun. 2019;10:4997.
Bäckhed F, Roswall J, Peng Y, Feng Q, Jia H, Kovatcheva-Datchary P, et al. Dynamics and Stabilization of the Human Gut Microbiome during the First Year of Life. Cell Host Microbe. 2015;17:690–703.
Jakobsson HE, Abrahamsson TR, Jenmalm MC, Harris K, Quince C, Jernberg C, et al. Decreased gut microbiota diversity, delayed Bacteroidetes colonisation and reduced Th1 responses in infants delivered by caesarean section. Gut. 2014;63:559–66.
Korpela K, de Vos WM. Infant gut microbiota restoration: state of the art. Gut Microbes. 2022;14:2118811.
Acknowledgements
The authors acknowledge the families who participated in this study. They also acknowledge the research staff at the study sites, in particular the high recruiting sites of Dr. Wang from Shanghai Jiao Tong University, Dr. Liu from Shanghai Public Health Clinical Center, and Dr. Wu from Guangdong Women and Children Hospital, and their teams for their hard work and dedication under the challenges faced during the SARS-CoV-2 pandemic. The contribution of the Dragon study team, specifically Gregg Ward, Meint-Jan Elzinga, Stephanie Song from Danone Open Science Research Center (Shanghai), Akke Botma, Anneke Rijnierse, Elly Hassink, Jessie Zhao and Maya Marintcheva-Petrova from Danone Research & Innovation (Utrecht) is acknowledged.
Author information
Authors and Affiliations
Contributions
YW, ML (Min), JW, ZL, LZ, MT, ML (Mengjin) and WC conceived and designed the experiments; YW, ML (Min), JW, ZL, LZ, MT and WC performed the experiments; HW, AK, JSYL, GR and JK analyzed and interpreted the data; HW and GR drafted the manuscript. All authors participated in writing and reviewing the manuscript, and have read and approved the final version.
Corresponding authors
Ethics declarations
Competing interests
Danone Open Science Research Center Shanghai provided the funding to conduct the study. The authors affiliated with Danone Research & Innovation (DRI) were involved in the study hypothesis/design, execution, analysis, and interpretation. The other authors report there are no competing interests to declare. Hereby all the authors declare that [1]: Industry funding was transparent, acknowledged, and appropriately recognized throughout all stages of design, implementation, and reporting [2]. Project design, implementation, analysis, and interpretation was performed with efforts to maximize academic independence in each of these areas. DRI conducts clinical studies according to the ICH-GCP guidelines, the Declaration of Helsinki, and the WHO code. In addition, the quality management system of DRI for clinical research has been ISO 9001 certified since 2007 and has been recertified every 3 years. Certified compliance with ICH-GCP standards provides public assurance that the rights, safety and wellbeing of trial subjects are protected, and that clinical-trial data are scientifically credible.
Ethical approval
The study was conducted in compliance with the principles of the Declaration of Helsinki and all procedures were approved by Ethical Review Boards of participating hospitals: Xinhua Hospital affiliated to Shanghai Jiao Tong University School of Medicine, Peking University Third Hospital, Guangdong Province Women and Children Hospital, Wuxi Children’s Hospital, Shanghai Public Health Clinical Center, Guangzhou Women And Children’s Medical Center.
Additional information
Publisher’s note Springer Nature remains neutral with regard to jurisdictional claims in published maps and institutional affiliations.
Rights and permissions
Open Access This article is licensed under a Creative Commons Attribution 4.0 International License, which permits use, sharing, adaptation, distribution and reproduction in any medium or format, as long as you give appropriate credit to the original author(s) and the source, provide a link to the Creative Commons licence, and indicate if changes were made. The images or other third party material in this article are included in the article’s Creative Commons licence, unless indicated otherwise in a credit line to the material. If material is not included in the article’s Creative Commons licence and your intended use is not permitted by statutory regulation or exceeds the permitted use, you will need to obtain permission directly from the copyright holder. To view a copy of this licence, visit http://creativecommons.org/licenses/by/4.0/.
About this article
Cite this article
Wang, Y., Wopereis, H., Kakourou, A. et al. Restoration of gut microbiota with a specific synbiotic-containing infant formula in healthy Chinese infants born by cesarean section. Eur J Clin Nutr 79, 567–575 (2025). https://doi.org/10.1038/s41430-025-01571-8
Received:
Revised:
Accepted:
Published:
Version of record:
Issue date:
DOI: https://doi.org/10.1038/s41430-025-01571-8






