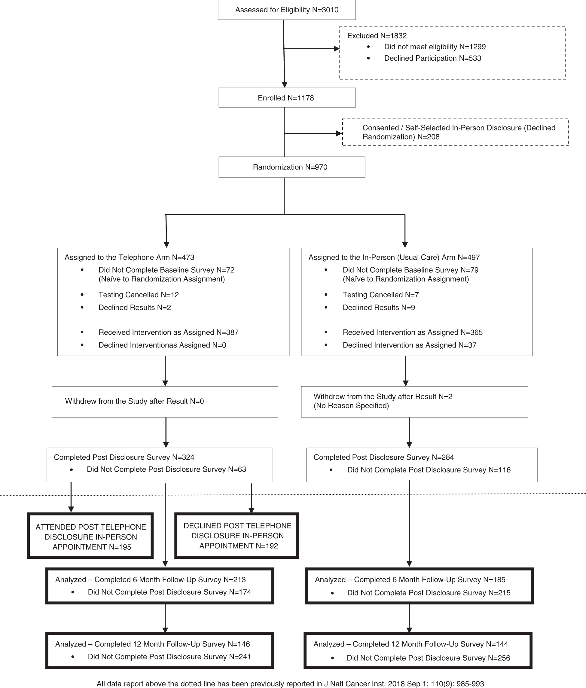
Fig. 1: Consort diagram.
From: Longitudinal follow-up after telephone disclosure in the randomized COGENT study

*All surveys used in analysis were completed within 0–7 days of being sent.
From: Longitudinal follow-up after telephone disclosure in the randomized COGENT study

*All surveys used in analysis were completed within 0–7 days of being sent.