Abstract
Purpose
To better understand the longitudinal risks and benefits of telephone disclosure of genetic test results in the era of multigene panel testing.
Methods
Adults who were proceeding with germline cancer genetic testing were randomized to telephone disclosure (TD) with a genetic counselor or in-person disclosure (IPD) (i.e., usual care) of test results. All participants who received TD were recommended to return to meet with a physician to discuss medical management recommendations.
Results
Four hundred seventy-three participants were randomized to TD and 497 to IPD. There were no differences between arms for any cognitive, affective, or behavioral outcomes at 6 and 12 months. Only 50% of participants in the TD arm returned for the medical follow-up appointment. Returning was associated with site (p < 0.0001), being female (p = 0.047), and not having a true negative result (p < 0.002). Mammography was lower at 12 months among those who had TD and did not return for medical follow-up (70%) compared with those who had TD and returned (86%) and those who had IPD (87%, adjusted p < 0.01).
Conclusion
Telephone disclosure of genetic test results is a reasonable alternative to in-person disclosure, but attention to medical follow-up may remain important for optimizing appropriate use of genetic results.
Similar content being viewed by others
INTRODUCTION
Clinicians are increasingly using telephone communication to provide genetic counseling and return test results.1,2,3,4,5,6 Telephone delivery has several potential benefits, among them improving access to genetic counseling.7,8 To date, two large multicenter randomized studies have reported that genetic counseling by phone is not inferior to in-person counseling for BRCA1/2 testing.3,4,5 These studies, however, took place before the era of multigene panel testing (MGPT), leaving uncertainty about the appropriateness of telephone counseling for broader sequencing.9,10,11,12,13,14,15,16 MGPT is associated with a greater risk of uncertainty related to variants of uncertain significance, uncertain risk estimates for some genes, and uncertain medical management strategies.9,10,11 Currently, there are limited data on longitudinal patient outcomes following MGPT, raising additional concerns that patients could misunderstand their results, experience anxiety or uncertainty about their findings, and/or potentially adopt inappropriate screening or risk-reducing behaviors.9,10,11,12,13,14,15
Results from the randomized multicenter COGENT (Communication Of GENetic Test results by telephone) study (2017) confirmed noninferiority of telephone disclosure for short-term outcomes (i.e., immediately postdisclosure) following the return of MGPT results.1,17 Enrollment for the COGENT study opened before MGPT became widely used in the clinical setting. For this reason, participants who were enrolled at the beginning of the recruitment period received BRCA1/2 testing whereas participants who were enrolled later were offered MGPT, consistent with current clinical practice. To better understand the longitudinal risks and benefits of telephone disclosure in the era of MGPT, we report the 6- and 12-month outcomes from the COGENT study, with a focus on follow-up with a physician after telephone disclosure with a genetic counselor.
MATERIALS AND METHODS
As previously described, COGENT was a multicenter, randomized, noninferiority trial comparing disclosure of genetic test results by telephone with a genetic counselor to usual care (in-person disclosure with a genetic counselor) (NCT01736345).1 The institutional review boards at all sites approved this study. All participants were recruited at the end of their in-person pretest counseling session and signed a written informed consent. Primary noninferiority analyses were previously reported.1
Eight hundred nineteen English-speaking adult participants who proceeded with genetic testing for breast, gynecologic, or gastrointestinal cancer syndromes were recruited from five clinical cancer genetics programs after completing clinical in-person pretest counseling with a genetic counselor.
Participants were randomized to telephone disclosure (TD) or to in-person disclosure (IPD), stratified by study site and gender. TD sessions were scheduled with a genetic counselor. While it is standard in the field for genetic counselors to discuss with patients the potential impact of the patient’s genetic test results on their medical care, patients must implement screening, chemoprevention, or risk-reducing surgeries with a medical provider. Because in-person discussion of medical management with a medical provider following disclosure of cancer genetic test results was standard practice when this study was conducted, all participants in the TD arm were recommended to return for a clinic visit with a site medical provider (physician or nurse practitioner) to discuss and implement medical management strategies. IPD sessions were scheduled with a genetic counselor. Medical management discussions with a site medical provider occurred during the same visit, consistent with usual care across sites.
Participants completed a baseline survey (T0), a postdisclosure survey (T1) within several days of disclosure, and postdisclosure surveys at 6 months (T2) and 12 months (T3).18,19 Measures are as previously described and include genetic knowledge, multigene knowledge, general anxiety and depression, cancer-specific distress, uncertainty, and performance of screening and risk-reducing behaviors.1
Statistical analysis
We report the secondary longitudinal endpoints of our trial. The primary noninferiority endpoints comparing baseline with 7 days were previously reported.1 While we met the required sample size for the primary short-term noninferiority analyses, we did not have a sufficient sample size to perform appropriate noninferiority analyses at the 6- and 12-month follow-up. Thus, we report superiority testing of the long-term outcomes here for exploratory purposes. Lack of statistically significant superiority does not imply noninferiority. We controlled for test result, gender, age, marital status, and site in the longitudinal analyses as they differed among randomization and as-treated groups of interest at the 6- and 12-month follow-up times. We report the full statistical methods for this paper in the Supplementary Methods. We used STATA version 15 (STATACorp, College Station, TX). Statistical significance was a nominal p-value < 0.05.
RESULTS
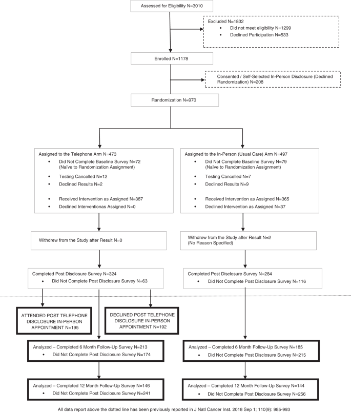
Enrollment, randomization, and survey completion data are shown in Fig. 1. Two hundred ninety-one (30.0%) had MGPT. There were no statistically significant differences in knowledge or affective outcomes between randomized arms at 6 and 12 months among the full group or among the subgroup who had MGPT (n = 231). The one exception was lower MGPT knowledge at 6 months among those in the TD arm, though there were no differences at 12 months. There were no significant differences in performance of screening breast magnetic resonance imaging (MRI), colonoscopy, or prophylactic surgeries between arms, even among the subgroup who had MGPT.
*All surveys used in analysis were completed within 0–7 days of being sent.
Of the 387 participants who received TD with a genetic counselor, 50% (n = 192) did not return for the recommended in-person medical follow-up. In a multivariable logistic model, returning for follow-up varied by site (p < 0.0001 for comparison among sites) and was associated with being female (27% of men return vs. 52% of women, adjusted odds ratio [OR] = 3.43 for women, p = 0.047) and not having a true negative result (18% with a true negative result, 49% with an uninformative negative result, 53% with a variant of unknown significance [VUS], and 88% with a positive result returned, adjusted ORs = 4.3 for uninformative negative, 5.9 for VUS, 46.0 for positive result, versus a true negative result, p < 0.002 for all three comparisons).
There were no significant differences in knowledge or most affective outcomes among those randomized to IPD, those randomized to TD who returned for medical follow-up, and those randomized to TD who did not return for medical follow-up. The one exception was lower cancer-specific distress among those who had TD and did not return for medical follow-up compared with both other groups (Fig. 2a–d). There was lower performance of mammography at 12 months among those who had TD and did not return for medical follow-up (70%) compared with those who had TD and returned for follow-up (86%) and those who had IPD (87%, adjusted p < 0.01). We found no difference between groups for change in other behaviors (Fig. 2e–i).
a Genetic knowledge; b general anxiety; c depression; d cancer-specific depression; e screening mammography; f screening breast MRI; g colonoscopy; h prophylactic mastectomy; i prophylactic oophorectomy. Baseline = 0–7 days after pretest counseling. Postdisclosure = 0–7 days after result disclosure counseling. 6 Mo. = 6 months after disclosure counseling. 12 Mo. = 12 Months after disclosure counseling. IPD = in-person disclosure. TD-Y-IPA = telephone disclosure with recommended follow-up in-person appointment with a medical provider. TD-N-IPA = telephone disclosure without recommended follow-up in-person appointment with a medical provider. For comparison of risk-reducing and screening behaviors between arms, we removed those with a true negative or unknown test result under the age of 40. All findings not statistically significant unless indicated. MRI magnetic resonance imaging.
In exploratory analyses, there were no significant differences in outcomes between randomized arms for subgroups with a positive or true negative result. Among those who received a VUS, those in the TD arm had greater genetic knowledge and higher depression at 12 months. There was also higher reported performance of mammography at 6 months among those in the TD arm. With the exception of increased cancer-specific distress at 12 months among those in the IPD arm, there were no differences between arms among those with an uninformative negative result.
DISCUSSION
These longitudinal results from a randomized study comparing telephone to in-person disclosure of genetic test results, including from MGPT, suggest no significant differences in cognitive, affective, or behavioral outcomes in either the short or longer term. While two prior randomized studies reported similar findings, it was unclear whether their outcomes extended to the more complex MGPT context.3,5,6 Because the current findings include subgroup analyses by test result, they provide important longitudinal data regarding the outcomes of telephone disclosure in the era of MGPT.
A critical finding in this real-world study was that half of participants who received results by phone did not return for the recommended follow-up with a cancer genetics provider to further discuss their results and medical management. We also found lower performance of mammography among those who did not follow-up. These data suggest that while there may not be differences in screening and risk-reducing behaviors among patients who receive their results by phone with a genetic counselor and return for medical follow-up, adherence to recommended screening may nevertheless be lower among patients who do not return.
As telephone counseling and disclosure is more widely adopted, these findings highlight the critical need to continue studying how patients and their providers use genetic test results over time to inform cancer risk management. This is especially true in the setting of more complex MGPT, where there is greater uncertainty and recommendations for risk management are still evolving.15 It is worth acknowledging that, when COGENT was conducted, discussing medical management with a medical provider following disclosure of results was standard practice. Since then, many cancer genetics programs have moved toward telephone disclosure of results and have eliminated the recommendation for follow-up. While this approach may be reasonable for patients who receive a true negative result, we found that many patients with a negative or VUS result did not return for medical follow-up. One possible interpretation of this finding is that participants perceived a negative result as indicative of a low risk of cancer. Recognizing that some negative results may not provide clear information about cancer risk, it is essential that genetics providers help patients appreciate the difference between true negative results and uninformative negative results/VUSs. Although there may be some patients for whom follow-up is less important, determining which patients should receive follow-up remains a question for further study. One potential benefit of phone disclosure is that, by providing patients with their results in advance of a medical follow-up appointment, patients have time to consider and reflect on their results and identify additional questions. Although two visits may appear redundant, this approach could help patients understand complex information and make informed choices about their care.
Among patients who did not return for follow-up, it is possible that some may have shared their results with other health-care providers. As genetic testing and telephone counseling and disclosure expands, we anticipate that patients will increasingly discuss their results with other health-care providers rather than follow up with a cancer genetics specialist. This shift will likely require continued cancer genetics education, particularly for primary care providers. Equally important, a transition to telephone disclosure of genetic test results, or fully remote counseling for both pre- and post-test counseling, will also need to account for genetics provider time as there is currently insufficient reimbursement for remote genetic services.
In conclusion, telephone disclosure of genetic test results is a reasonable alternative to in-person disclosure. Attention to medical follow-up, and ensuring adequate understanding of negative and VUS results, may help optimize the use of genetic findings. With greater reliance on remote genetic services, we anticipate that genetic counselors will increasingly become critical members of the health-care team, educating patients, as well as their nongenetic providers, through collaborative care models.
References
Bradbury AR, Patrick-Miller LJ, Egleston BL, et al. Randomized noninferiority trial of telephone vs in-person disclosure of germline cancer genetic test results. J Natl Cancer Inst. 2018;110:985–993.
Bradbury AR, Patrick-Miller L, Fetzer D, et al. Genetic counselor opinions of, and experiences with telephone communication of BRCA1/2 test results. Clin Genet. 2011;79:125–131.
Schwartz MD, Valdimarsdottir HB, Peshkin BN, et al. Randomized noninferiority trial of telephone versus in-person genetic counseling for hereditary breast and ovarian cancer. J Clin Oncol. 2014;32:618–626.
Kinney AY, Butler KM, Schwartz MD, et al. Expanding access to BRCA1/2 genetic counseling with telephone delivery: a cluster randomized trial. J Natl Cancer Inst. 2014;106:dju328.
Kinney AY, Steffen LE, Brumbach BH, et al. Randomized noninferiority trial of telephone delivery of BRCA1/2 genetic counseling compared with in-person counseling: 1-year follow-Up. J Clin Oncol. 2016;34:2914–2924.
Christensen KD, Uhlmann WR, Roberts JS, et al. A randomized controlled trial of disclosing genetic risk information for Alzheimer disease via telephone. Genet Med. 2018;20:132–141.
Jenkins J, Calzone KA, Dimond E, et al. Randomized comparison of phone versus in-person BRCA1/2 predisposition genetic test result disclosure counseling. Genet Med. 2007;9:487–495.
Scheuner MT, Sieverding P, Shekelle PG. Delivery of genomic medicine for common chronic adult diseases: a systematic review. JAMA. 2008;299:1320–1334.
Bradbury AR, Patrick-Miller L, Domchek S. Multiplex genetic testing: reconsidering utility and informed consent in the era of next-generation sequencing. Genet Med. 2015;17:97–98.
Robson ME, Bradbury AR, Arun B, et al. American Society of Clinical Oncology policy statement update: genetic and genomic testing for cancer susceptibility. J Clin Oncol. 2015;33:3660–3667.
Domchek SM, Bradbury A, Garber JE, Offit K, Robson ME. Multiplex genetic testing for cancer susceptibility: out on the high wire without a net? J Clin Oncol. 2013;31:1267–1270.
Bradbury AR, Patrick-Miller LJ, Egleston BL, et al. Patient feedback and early outcome data with a novel tiered-binned model for multiplex breast cancer susceptibility testing. Genet Med. 2016;18:25–33.
Kurian AW, Ford JM. Multigene panel testing in oncology practice: how should we respond? JAMA Oncol. 2015;1:277–278.
Robson M. Multigene panel testing: planning the next generation of research studies in clinical cancer genetics. J Clin Oncol. 2014;32:1987–1989.
Hall MJ, Forman AD, Pilarski R, Wiesner G, Giri VN. Gene panel testing for inherited cancer risk. J Natl Compr Cancer Netw. 2014;12:1339–1346.
Lumish HS, Steinfeld H, Koval C, et al. Impact of panel gene testing for hereditary breast and ovarian cancer on patients. J Genet Couns. 2017;26:1116–1129.
Hall MJ, Patrick-Miller LJ, Egleston BL, et al. Use and patient-reported outcomes of clinical multigene panel testing for cancer susceptibility in the multicenter Communication of Genetic Test Results by Telephone Study. JCO Precis Oncol. 2018;2:10.
Patrick-Miller LJ, Egleston BL, Fetzer D, et al. Development of a communication protocol for telephone disclosure of genetic test results for cancer predisposition. JMIR Res Protoc. 2014;3:e49.
Shiloh S. Illness representations, self-regulation, and genetic counseling: a theoretical review. J Genet Couns. 2006;15:325–337.
Acknowledgements
This work was supported by the National Cancer Institute (R01 CA160847) and the National Institutes of Health (P30 CA006927). M.K.K. was supported by a T32 postdoctoral training grant from the National Human Genome Research Institute to the University of Pennsylvania (T32HG009496).
Author information
Authors and Affiliations
Corresponding author
Ethics declarations
Disclosure
Angela Bradbury has an advisory role to Aztra Zeneca and Merck. Susan Domchek has received honoraria from Astra Zeneca, Clovis and Bristol Myers Squibb. Andrea Forman has done paid advising and speaking work with Invitae and Astra Zeneca. Jessica Stoll is employed with Tempus Labs, Inc. Jill Stopfer is a paid consultant for Astra Zeneca on a medical advisory board for personalized medicine and nurse education. All other authors declare no conflicts of interest.
Additional information
Publisher’s note Springer Nature remains neutral with regard to jurisdictional claims in published maps and institutional affiliations.
Supplementary information
Rights and permissions
About this article
Cite this article
Kilbride, M.K., Egleston, B.L., Hall, M.J. et al. Longitudinal follow-up after telephone disclosure in the randomized COGENT study. Genet Med 22, 1401–1406 (2020). https://doi.org/10.1038/s41436-020-0808-3
Received:
Revised:
Accepted:
Published:
Version of record:
Issue date:
DOI: https://doi.org/10.1038/s41436-020-0808-3
Keywords
This article is cited by
-
The MyCancerGene study: a hybrid type 1 effectiveness-implementation randomized study comparing a patient-centered digital genetic health portal to usual care after receipt of cancer genetic testing
BMC Cancer (2025)
-
The Disclosure of Bad News Over the Phone vs. in Person and its Association with Psychological Distress: a Systematic Review and Meta-Analysis
Journal of General Internal Medicine (2023)




