Abstract
Selective processes act on phenotypic variation although the evolutionary potential of a trait relies on the underlying heritable variation. Developmental plasticity is an important source of phenotypic variation, but it can also promote changes in genetic variation, yet we have a limited understanding of how they are both impacted. Here, we quantified the influence of developmental temperature on growth in delicate skinks (Lampropholis delicata) and partitioned total phenotypic variance using an animal model fitted with a genomic relatedness matrix. We measured mass for 261 individuals (nhot = 125, ncold = 136) over 16 months (nobservations = 3002) and estimated heritability and maternal effects over time. Our results show that lizards reared in cold developmental temperatures had consistently higher mass across development compared to lizards that were reared in hot developmental temperatures. However, developmental temperature did not impact the rate of growth. On average, additive genetic variance, maternal effects and heritability were higher in the hot developmental temperature treatment; however, these differences were not statistically significant. Heritability increased with age, whereas maternal effects decreased upon hatching but increased again at a later age, which could be driven by social competition or intrinsic changes in the expression of variation as an individual’s growth. Our work suggests that the evolutionary potential of growth is complex, age-dependent and not overtly affected by extremes in natural nest temperatures.
Similar content being viewed by others
Introduction
Developmental plasticity plays a key role in generating phenotypic variation (Ghalambor et al. 2007; Noble et al. 2018; West-Eberhard 2003). The complex interplay between an individual’s genotype, and the developmental environment in which that genotype finds itself, means that a range of different phenotypes can arise (Monaghan 2008; West-Eberhard 2003). Phenotypic changes resulting from distinct early life experiences can have persistent effects on individual fitness (Monaghan 2008; Noble et al. 2018). For many oviparous (egg-laying) organisms, early life stages are particularly sensitive periods because many species do not provide parental care that would shelter embryos from environmental insults. Changes induced by developmental environments may result in a better match between the adult phenotype and the subsequent selective environment. However, in some cases, maladaptive phenotypes can arise if there is a mismatch between later-life environments and those experienced early in development (Beaman et al. 2016; Ghalambor et al. 2007). Regardless, phenotypic plasticity represents a promising immediate solution for threatened populations by allowing them to better track adaptive optima and persist; providing the population experiences environmental conditions they have experienced in the past (Beldade et al. 2011; Chevin et al., 2010; Noble et al. 2019; West-Eberhard 2003). Understanding the consequences of developmental environments on phenotypes and fitness is therefore critical to predicting how populations will survive in stressful conditions (Botero et al. 2015; Reed et al. 2010).
A population’s capacity to evolve depends not only on the strength of selection but also on the underlying standing genetic variation (Lynch and Walsh 1998). It has long been recognised that both selection and genetic variation change across environments (Falconer and Mackay 1996). As such, a great deal of effort has been put towards understanding the circumstances under which genetic variation may change with the environment and the magnitude of those changes (Charmantier and Garant 2005; Fischer et al. 2021; Hoffmann and Merilä 1999; Noble et al. 2019; Rowiński and Rogell 2017; Wood and Brodie 2015). Genetic variance in novel environments may increase due to the relaxation of selection pressures combined with higher mutation rates (Hoffman and Parsons 1991; Hoffmann and Merilä 1999). An increase in genetic variance is also expected when buffering mechanisms break down, triggering a release of ‘cryptic genetic variation’ (Paaby and Rockman 2014). However, other mechanisms, such as low cross-environment genetic correlations or condition-dependence of gene expression can also affect the amount of genetic variance in different environments (Charmantier and Garant 2005; Coltman et al. 2001). Under the same selection pressure, should genetic variation change with the environment, the speed of evolutionary responses can be impacted making it potentially difficult to predict genetic adaptation.
Comparative studies have shown that the environmental impacts on genetic variance are not straightforward (Charmantier and Garant 2005; Hoffmann and Merilä 1999; Rowiński and Rogell 2017). In lab studies, elevated developmental stress has been shown to increase the heritability of morphological traits (Hoffmann and Merilä 1999), whereas wild, non-domestic populations tend to have higher heritability in favourable environments (Charmantier and Garant 2005). Lack of consensus may be related to increased environmental heterogeneity in wild populations, making them more difficult to compare with lab studies. It has been suggested that responses to different developmental stressors (e.g. heat shock vs. starvation) may be associated with disparate patterns of gene expression, making broad comparisons more variable (Charmantier and Garant 2005; Dahlgaard and Hoffmann 2000). Importantly, environmental comparisons of heritability have been criticised because they mask changes in the relative contributions of non-genetic and genetic variance (Hansen et al. 2011; Rowiński and Rogell 2017). For example, a meta-analysis found that heritability of life history traits, which have been argued to be more important to fitness, did not change between control and stressful conditions (Rowiński and Rogell 2017). The same pattern was observed for morphological traits (Fischer et al. 2021). Upon closer inspection, both the additive genetic and environmental variance of life history traits increased under stressful conditions whereas the opposite was true for morphological traits (Rowiński and Rogell 2017). The expression of genetic variation under different developmental environments can thus influence the evolutionary potential of fitness-related traits.
Body size is fundamental to fitness and is both heritable and environmentally responsive (Noordwijk et al. 1988; Stillwell and Fox 2009). Developmental environments, such as temperature and nutritional stress can drive substantial variation in body size, largely through shifts in how organisms grow (Eyck et al. 2019; Noble et al. 2018). Maternal investment in offspring is also an important source of body size variation (Noble et al. 2014; Wilson and Réale 2006). Variation among mothers in egg investment, nest site selection or timing of birth (Mitchell et al. 2018; Shine and Harlow 1996; Uller and Olsson 2010) are expected to contribute the most to offspring body size early in development (Mousseau and Fox 1998). However, these effects have been shown to decline with age as maternal investment subsides (Krist 2010; Wilson et al. 2005b). In addition, environmental factors such as shared habitats or long-term seasonal effects can also account for a substantial proportion of variability in body size (Kruuk 2004). For example, permanent environmental effects that varied across years explained 26–35% of body size variation in bighorn sheep (Réale et al. 1999). Similarly, 56% of the variation in body mass was attributed to shared nesting environments among sibling blue tit chicks (Charmantier et al. 2004). As such, the various sources that influence body size variation (genetic, environmental, maternal) are predicted to vary across ontogeny and temporal approaches are needed in order to evaluate the age-specific evolutionary potential of body size—higher genetic variation at a given age would imply that, if selection were to operate, it would be more likely to lead to an evolutionary response.
Here we investigated the impact of developmental temperature on growth and mass in an oviparous skink (Lampropholis delicata)—two traits that are critically important to fitness. We also test how developmental environments affect the evolutionary potential of these traits. Growth trajectories (nobservations = 3002) for lizards that hatched from two incubation treatments (nhot = 125, ncold = 136), were measured over the first 16 months of life (lifespan is ~3–4 years). Using 8433 single-nucleotide polymorphic (SNP) markers, we derived a genomic relatedness matrix (GRM) to estimate quantitative genetic parameters. Using these data, we address two key questions: (1) How does developmental temperature affect the rate and shape of growth trajectories (initial mass, growth rate and curvature of growth trajectory)? and (2) How does developmental temperature affect genetic and non-genetic sources of phenotypic variance across age? According to the ‘temperature-size rule’, we expect lizards experiencing cold developmental temperatures to have larger initial masses and slower growth rates—possibly resulting in lizards reaching sexual maturity at a later age compared to lizards experiencing hot developmental temperatures (Angilletta et al. 2017). In addition, we predicted a greater amount of genetic variance under higher developmental temperatures, after controlling for non-genetic sources of variance, as higher temperatures may release ‘cryptic genetic variation’ (Rowiński and Rogell 2017). We expected maternal effects and permanent environmental effects to manifest early in development and dissipate over time.
Materials and methods
Lizard collection and husbandry
We established a breeding colony of adult L. delicata (nfemales = 144, nmales = 50) using wild individuals collected across five sites throughout the Sydney region between August and September 2015. While we collected from five different sites in Sydney, biogeographic data suggests high gene flow across the Sydney region (Chapple et al. 2013). Using a half-sib breeding design, we paired three females with a single male in opaque plastic enclosures measuring 35 cm × 25 cm × 1 5cm (L × W × H). We chose a paternal half-sib design because maternal half-sibs are difficult to generate given that females in our colony only produced a single clutch in a year (see below). Enclosures were kept under UV lights (12L:12D) in a temperature-controlled room set to 24 °C. Lizards were given access to a heat lamp that elevated temperatures to between 28 and 32 °C. Each enclosure was lined with newspaper and lizards had constant access to water. Tree bark was used as a refuge. Adult lizards were fed medium-sized crickets ad libitum (Acheta domestica) dusted with calcium powder and multi-vitamin every 2 days. From the beginning of the egg-laying season (October of each year), we replaced newspaper lining with garden potting mix and placed an opaque plastic box (12 cm × 17.5 cm × 4.3 cm) containing moistened vermiculite in each enclosure for females to oviposit their eggs. During this time, enclosures were sprayed with water every second day to maintain a relatively humid environment. From October to November, egg boxes were checked every day. Tail tissue samples (~1 mm) were taken from adults that were from enclosures producing eggs for DNA extraction (see below). All tissues were stored in 70% ethanol. The animal collection was approved by the New South Wales National Parks and Wildlife Service (SL101549) and all procedures were approved by the Macquarie University Ethics Committee (ARA 2015/015) and University of New South Wales Animal Care and Ethics Committee (ACEC 15/51A).
Developmental temperature manipulations
Eggs were collected between October to March, over two reproductive seasons from 2016 and 2017. As soon as eggs were found, they were weighed using a digital scale to the nearest 0.01 g (Ohaus Scout SKX123). We also measured egg length (distance between the furthest points along the longest axis of the egg) and egg width (distance between the widest points along the axis perpendicular to the longest axis of the egg) using digital callipers to the nearest 0.01 mm. Following measurements, each egg was placed in a plastic cup (80 ml) containing three grams of vermiculite and four grams of water. Each cup was then covered using cling wrap and secured using an elastic band. We used a split-clutch design where eggs from a single clutch were pseudo-randomly assigned to one of two developmental temperature treatments. We used two incubators to precisely control the temperature of eggs (LabWit, ZXSD-R1090). The ‘hot’ treatment was exposed to a mean temperature of 29 °C whereas the ‘cold’ treatment was exposed to a mean temperature of 23 °C. Both incubators fluctuated ±3 °C over a 24-h period around these mean temperatures to simulate natural nest site temperature variability. These treatments represent the temperature extremes of the natural nest (~2 standard deviations above and below the mean −~27 °C) sites for L. delicata (Cheetham et al. 2011), and this species does not have a temperature-sex determination that would possibly bias sex ratios in these two treatments. We chose these temperatures because we expect thermal environments to become more extreme and variable in the future making it of interest to know how the expression of genetic variation is likely to manifest in abnormal thermal conditions. While it is challenging to determine if an environment is ‘stressful’ or not without data on egg mortality (Roelofs et al. 2010), we viewed this as atypical of what is commonly encountered in nature. Egg cups were rotated within each incubator weekly to avoid uneven heat circulation within incubators. Incubators were also checked daily for hatchlings.
Quantifying growth rate
Newly emerged hatchlings were weighed to the nearest 0.01 g and a small tail tip clipping (~2 mm) was taken for genetic analyses. Ventral photographs were taken for digital measurement (Nikon Coolpix A900). For the first 2 months, photographs of hatchlings were taken approximately every 14 days. After which, hatchlings were photographed at approximately a 35-day interval. From 6 months onwards, we manually measured hatchling snout-vent-length (SVL) using a clear ruler to the nearest ~0.5 mm. We also recorded the mass of the individual each time photographs or SVL measurements were taken. Growth measurements continued until we had approximately 16 measures per individual (mean = 11.5, SD = 4.71). By the end of the study, the mean age for hot incubated lizards was 335.82 (range: 0–711) and for cold incubated lizards it was 384.8 (range: 0–707) which is approximately 25–50% of their total lifespan (Chapple et al. 2014). From the photographs, we extracted SVL (from tip of snout to the beginning of the cloaca opening) using ImageJ software (Rueden et al. 2017). For the first initial 9 months, hatchlings were housed individually in opaque plastic enclosures (32.3 cm × 18.5 cm × 6 cm) lined with newspaper. Hatchlings were fed the same number of crickets every second day and had constant access to a tree bark refuge and water. Hatchling enclosures were placed in a temperature control room under the same conditions as described above for the adult colony. For logistical reasons, at approximately 9 months, hatchlings were housed in groups of five in opaque bins with the same measurements as the adult enclosures. We pseudo-randomised individuals to each shared enclosure while maintaining a similar number of individuals from each treatment. Social housing conditions may result in additive genetic and maternal effects becoming more apparent because of competition and social stress that may drive greater variation among individuals. Our modelling approaches estimate changes in variance components across age and should be able to detect any changes brought about by the release of variation (see below).
Genomic relatedness matrix
We derived a GRM using SNP genotypes for all 261 offspring with growth data (132 putative parents; nfemales = 69, nmales = 63). While our half-sib breeding design allowed us to assign parentage to derive a pedigree, high levels of sperm storage and low levels of multiple paternity (94% of offspring within a clutch had been sired by a single male) meant our pedigree had low resolution to effectively estimate additive genetic variation. Recent studies have shown that GRM derived from SNPs have low error rates (<0.3%) and are able to reconstruct pedigree relationships when at least 200 SNP loci are used (Bérénos et al. 2014; Huisman 2017). Moreover, both relatedness and heritability values estimated from a GRM can be very similar to those inferred using a pedigree (Bérénos et al. 2014; Huisman 2017). GRMs may in fact provide more accurate estimates of genetic relatedness among individuals than was is typically assumed from pedigrees. SNP libraries were designed and animals genotyped using DArTseq™ (Diversity Arrays Technology) methods. For more details on DNA extraction and SNP genotyping see ESM.
Prior to deriving our GRM, we filtered our SNPs using the R package dartR (Gruber et al. 2018). We filtered loci based on various metrics in the following order: (1) read depth (8–40); reproducibility (>0.996); call rate by loci (>0.97) and then by individual (>0.80); monomorphic loci; minor allele frequencies (>0.02); Hamming Distance among loci (>0.25) and Hardy Weinberg Equilibrium. This clean-up process resulted in a dataset of 8438 loci with an average call rate of 98.5% (see ESM and provided code). Using these 8438 loci we derived a GRM, which describes the proportion of the genome that is identical by descent (VanRaden 2008). We calculated a GRM for all hatchlings using the snpReady R package (Granato et al. 2018) following methods described by (VanRaden 2008):
where Z is the centred squared matrix of SNP genotypes of all individuals. This is calculated from a matrix of where heterozygote SNP genotypes (AT) were coded as 0, homozygote genotypes for the SNP allele (AA) were coded as 1 and homozygotes for the original allele (TT) were coded as −1. pi is the frequency of the second locus at locus position i. The denominator scales the GRM matrix so that the values approximate a relatedness matrix derived from a pedigree.
Statistical analyses
All analyses were performed using R (Team RC 2023). We checked the data for potential input errors using histograms, scatterplots, and Cleveland plots. We fitted Bayesian linear mixed-effects models in brms which interfaces with Stan (Bürkner 2017; Gelman et al. 2015). Mass was log-transformed, and age was z-transformed. For all models, we ran 6000 iterations with a burn-in of 1000, sampling from the posterior distribution every 10 iterations. We ensured proper mixing by inspecting trace plots and checked that scale reduction factors were less than 1.01. We report posterior means and 95% credible intervals for all parameters throughout.
Impact of developmental temperature on additive genetic variance and maternal effects across age
First, we tested whether developmental temperature influenced the overall heritability of mass and the relative contributions of additional variance components across age. (i.e., permanent environmental and maternal effect variance). For each treatment group, we fitted intercepts only in the fixed effects with random intercepts for additive genetic variance (G), maternal effects (M) and permanent environmental effects (PE) as we had repeated measures of the same individuals (Wilson et al. 2010). The model also estimated residual variance (R). We included our GRM to estimate additive genetic variation. Overall heritability (h2) of mass at a given age was calculated as follows:
Where VT is the sum of the variance components in the model (which could vary depending on the model best supported). We used model selection to determine the most appropriate random effects structure for our data as we had no a priori knowledge of what (or how) variance components change with age (Wilson and Réale 2006). We fitted models with varying complexity in their random effects and used Leave-One Out (LOO) cross-validation to compare model fit and select the model with the best predictive performance. Using LOO, the expected log pointwise predictive density for a model can be calculated, and these can be used to compare model performance—by calculating the difference between the expected log pointwise predictive density of various models. Differences of less than 4 mean that models are comparable (Sivula et al. 2020). For differences greater than 4, then the standard error (SE) of the differences in expected log pointwise predictive density should be compared. If the SE of the differences is much larger than the point estimate of the difference then the model closer to zero is preferred (Sivula et al. 2020). The difference in LOO between models can be used for model selection, and in our case, gave similar results to model selection using Watanabe–Akaike Information Criterion (WAIC) (Supplementary Table S1). We fitted random intercepts and random slopes by including either a linear age term or both linear and quadratic age terms to partition variance across age. Three models were equally supported, the first included a random linear and quadratic slope for G and M and PE. (Supplementary Table S1) and the second included a random linear and quadratic slope for G and M, respectively, and a random intercept for PE (Supplementary Table S1). To avoid overfitting, we selected the more parsimonious model and used this random effect structure for the remaining analyses unless stated otherwise. The same top model selected was similar no matter whether we used the full data or only the data subset for individuals incubated in cold or hot developmental treatments.
Residual variance may be conflated with estimates of other variance components if it changes over time (heterogenous variance) and is not properly accounted for. We therefore explicitly modelled residual variance to verify if this was the case and compared homogenous and heterogenous residual variance models using WAIC. We fitted two models, both of which had the same fixed and random effects structure as the best supported model described above. The first model had homogenous residual variance whereas in the second model, we modelled residual variance with a linear slope thereby allowing it to vary with age. The model with heterogenous variance was best supported (Supplementary Table S2); we therefore modelled heterogenous variance in all subsequent models unless stated otherwise.
To test for treatment differences in variance components, we subset data for each treatment group and fitted an intercept-only model with our best-supported random effect structure (Model 7 - Supplementary Table S1) and heterogenous residual variance. We estimated a genetic variance-covariance matrix for each treatment (G), where the diagonal elements represent the additive genetic variances for the intercept (GI), slope (GS) and quadratic (GC) parameter estimates across age. The off-diagonal elements are the additive genetic covariances between the growth curve parameters; for example, \(Co{v}_{I,C}\) is the additive genetic variance between the intercept and the quadratic slope.
Similarly, the variance-covariance matrix for dams (M) can be decomposed in the same manner as G.
For each treatment group, we then calculated additive genetic variance at a given age Gx using the random slope terms and their covariances following (Gavrilets and Scheiner 1993; Schielzeth and Nakagawa 2022):
where x is a specific age. Age-specific maternal effect Mx was calculated using the same formula but with the relevant variance components from M. Age-specific heritability, \({h}_{x}^{2}\), is thus a ratio of all variance components at a given age x. The proportion of variance explained by maternal effects (m2) is calculated in the same manner.
As the mean body mass increases over time, the variance may also increase concurrently due to scale effects and potentially bias estimates of quantitative genetics parameters (Wilson et al. 2005b). We therefore calculated coefficients of variation (CV) across age for each variance component by dividing variance by the predicted mean mass at a given age. Interpretations using CV estimates did not change our overall conclusions for additive genetic variance or maternal effects; we therefore present the raw estimates of each variance component below (see ESM).
The influence of developmental temperature on growth trajectories
To test how developmental temperatures affect average growth trajectories, we also fitted three models that varied in their fixed effect structure to determine how developmental temperatures affect (1) initial mass (intercept of curve), (2) linear rate of growth (linear slope) and (3) curvature of the growth trajectory (quadratic term). We fit mass as the response accounting for the same random effects described above. The first model included the main effect of developmental temperature and the linear and quadratic term for age (Supplementary Table S1). The other two models differed in their interaction terms between developmental temperature with age and age2 (Table 2 and Supplementary Table S3). We then compared WAIC values to select the best model for our data that explained changes in mass across age between the two developmental temperature treatments (Table 1).
Results
Over 2 years, we collected 3002 observations of mass data for a total of 261 individuals (nhot = 125, ncold = 136). On average, the incubation period for the ‘hot’ treatment was 29.36 days (SD = 2.17, range = 15–49) days and 48.48 days (SD = 4.18, range = 25–56) for the ‘cold’ treatment. The average age for hot incubated lizards was 335.82 (range: 0–711) and for cold incubated lizards it was 384.8 (range: 0–707). On average, a lizard had 11.5 measurements (SD = 4.71).
The influence of developmental temperature on genetic and non-genetic variance across age
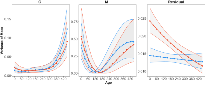
Models that included random slopes (linear and quadratic) of age for G and M were far more superior than models without (Supplementary Table S1). Treatment groups did not differ in how the relative contributions of G and M changed with age as their 95% credible intervals overlapped (Fig. 1). Additive genetic variance remained relatively low and constant upon emergence until approximately 9 months of age, after which it increased rapidly (Fig. 1). Maternal effects decreased sharply upon hatching and dropped to the minimum at approximately 6 months before it increased again (Fig. 2). There were some differences among developmental treatments in how residual variance changed with age (Fig. 1). Residual variance in cold incubated lizards had a much lower intercept compared to hot incubated lizard however their residual variance converged by 8 months of age (Fig. 1).
Points represent posterior means, thin lines represent the 95% credible intervals, thick lines represent the mean for each treatment group.
Heritability (h2, A) and the proportion of total variance explained by maternal effect variance (M2, B) across age (days) for the hot developmental treatment (nlizards = 125, red) and the cold developmental treatment (nlizards = 136, blue). Points represent estimates generated from the posterior distribution of the variance-covariance matrix, thin lines represent the 95% credible intervals, thick lines represent the mean for each treatment group.
We investigated whether increases in average mass over time affected variance estimates due to scaling effects between the mean and variance. However, we found that the CV of G and M similar changes across age to raw variance estimates suggesting that changes in variance were not the result of increasing mean body mass with age (Supplementary Figs. S1 and S2).
After accounting for heterogenous residual variance, we found no treatment differences in heritability, or the proportion of variance explained by maternal effects (M2) (Fig. 2). Heritability was moderate to low during early growth in L. delicata and only began increasing at around 120 days and stayed around an h2 ~0.15 (95% CI: 0.06–0.28, although it decreased slightly between 240 and 360 days; Fig. 2). As predicted M2 was a significant contributor to variance in mass (M2 ~0.72, 95% CI: 0.50–0.88) and decreased soon after hatching; however, it increased again from 6 months of age (Fig. 2). The G and M matrices for each treatment group are presented in Supplementary Tables S4 and S5.
Developmental plasticity in growth trajectories in response to temperature
While the model containing an interaction between treatment and quadratic age was best supported, the improvement in LOO value was marginal (Table 1), with the top model explaining a substantial amount of variation in mass (R2 = 0.95, 95% CI: 0.94–0.95). Mass increased significantly over age with growth not differing significantly between the temperature treatments (both for the linear and curvature parameters in the growth curve, see the full model in Table 2). Irrespective of treatment, lizard mass increased by 1.65 g for every 1 SD unit increase in age.
Developmental temperature did influence hatching mass (Table 2 and Fig. 3). Lizards from the ‘cold’ treatment were on average 0.03 g (0.011–0.051 g) heavier compared to lizards from the ‘hot’ treatment (Table 2). G and M matrices from this model, along with other variance components, are presented in Supplementary Table S6.
We randomly subset 40 lizards (20 from each treatment) to plot their individual growth curves. Points represent mean estimates for each lizard from the hot developmental treatment (hot) and the cold developmental treatment (blue). Thick lines represent average growth curve for each treatment. Faint grey lines are each individual’s growth curve. Model predictions were generated from the full model where interaction terms between treatment and both the linear component and quadratic component were included.
Discussion
Early development at hot temperatures resulted in smaller body sizes compared to development at cold temperatures. Growth trajectories, however, were not significantly impacted by early thermal environments—lizards from both temperatures grew at the same rate despite cold animals remaining larger throughout life. We found low to moderate heritability (h2 ~0.15) and high maternal effects (M2 ~0.70) with both varying across age. As we predicted, maternal effects on offspring mass declined in the first few months, presumably because maternal non-genetic contributions were less influential on mass over time. Unexpectedly, maternal effects increased again at approximately 6 months possibly from maternal genetic factors affecting mass. In contrast, heritability increased with age, peaking around 130–180 days before decreasing slightly. Part of these changes reflected differences in the residual variance that changed across age.
Thermal developmental plasticity in growth
In ectotherms, temperature plays a pervasive role in phenotypic development (Eyck et al. 2019; Noble et al. 2018; O’Dea et al. 2019; While et al. 2018). While we found that hot lizards were smaller than cold incubated lizards at hatching, we did not show that growth rates differed between developmental temperatures. Some studies have reported increases in growth at higher incubation temperatures (De Jong et al. 2023; Elphick and Shine 1999; Hare et al. 2004; Verdú‐Ricoy et al. 2014), while others have found either the opposite result or no differences at all (Andrews et al. 2000; Goodman 2008). The directionality of change is highly variable, even among studies of the same species (e.g., Bassiana dupreyi; Elphick and Shine 1998, 1999; Flatt et al. 2001; Telemeco et al. 2010), and we had more data across life compared with many other studies. Lack of generality may be related to how growth is statistically modelled (e.g., polynomial regression versus Von Bertalanffy growth models). In addition, very few studies account for individual variation in hatching mass or growth trajectories. We emphasise the importance of partitioning confounding sources of variance such as individual or clutch effects as they can misconstrue conclusions about developmental impacts on later-life phenotypes. Moreover, future studies should make use of all repeated measures of mass instead of averaging across individuals as the former approach not only increases statistical power but also provides more accurate estimates of growth.
Consistent with other squamates, we found that lizards from the cold incubation treatment attained higher hatching mass compared to their hot counterparts because they were born heavier (Dayananda et al. 2016; Downes and Shine 1999; Flatt et al. 2001; Goodman et al. 2013). These results support the temperature-size-rule whereby organisms reared in cold temperatures tend to have larger body sizes (Angilletta et al. 2017). Larger hatching size can be achieved through prolonged development at cooler temperatures during embryonic stages (Forster and Hirst 2012). It is well known that cold developmental temperatures result in longer incubation periods in many reptiles (Booth 2006; Dayananda et al. 2016; Downes and Shine 1999; Elphick and Shine 1998; Goodman 2008). Longer developmental time may allow embryos to assimilate yolk nutrients more efficiently thus increasing mass at hatching (Storm and Angilletta 2007). Indeed, turtle embryos exposed to high temperatures have enhanced mitochondrial metabolism and metabolic enzymic activity which constrained developmental time and reduced overall hatching size (Ji et al. 2003; Sun et al. 2015). Thermal plasticity in embryonic development may be adaptive for lizards born late in the season when nest temperatures are generally colder (Warner and Shine 2008; While et al. 2015). Indeed, female L. delicata have an extended oviposition period (September to February in our population) and nest temperatures during this time can be highly variable in the wild (Cheetham et al. 2011). Heavier weight at emergence may result in hatchlings that are in better condition to compete with lizards that hatched earlier or have sufficient body reserves to survive harsher conditions in more seasonal environments (Downes and Shine 1999; Gifford et al. 2017; Qualls and Shine 2000). Understanding how body mass affects survival will be necessary to elucidate the adaptative potential of developmentally plastic responses in the wild.
Thermal developmental environments and the evolutionary potential of body mass
Adaptative evolutionary responses depend not only on the amount of selection operating on a trait but also on its underlying additive genetic variance (Falconer 1952; Ghalambor et al. 2007; Hoffmann and Merilä 1999). Stressful developmental environments are hypothesised to lead to the release of ‘cryptic’ genetic variation (Fischer et al. 2021; Noble et al. 2019; Rowiński and Rogell 2017; Wood and Brodie 2015), possibly increasing the evolutionary potential of a given trait. Higher genetic variation, combined with stronger selection may facilitate rapid evolutionary responses that may allow populations to adapt to novel environments (Falconer and Mackay 1996; Hoffmann and Merilä 1999). Contrary to these hypotheses, we found no statistical differences in additive genetic variance for mass between our developmental temperature treatments. In fact, heritability for mass across age in L delicata was generally low (ranging between 0.04 and 0.36), echoing heritability values for mass in various animal systems [e.g., bighorn sheep—0.03 to 0.31 (Réale et al. 1999), macaques—0.39 (Kimock et al. 2019) lizards—0–0.54 (Martins et al. 2019; Noble et al. 2014), red squirrels—0.10, (McAdam et al. 2002)]. It should be noted that decoupling additive genetic variances from other non-genetic variance such as maternal effects requires considerable paternal links in the study design and pedigree (Kruuk 2004). Indeed, when this variance partitioning is done accordingly, heritability estimates are often low (Noble et al. 2014).
The lack of difference in genetic variation between developmental temperatures and environments supports the findings from recent meta-analyses. Fischer et al. (2021) assessed the degree to which stressful thermal environments result in the release of genetic variation. They found that these effects manifested in only a third of the studied cases—in mainly clonal organisms (Fischer et al. 2021). Furthermore, of the 25 cases where genetic variance changed across thermal environments there was no consistent direction (i.e., 11 increased and 14 decreased under thermal stress). Noble et al. (2019) also showed that the release of ‘cryptic’ genetic variation depends on the study design—studies not able to partition out non-genetic sources of variation supported a release of genetic variation whereas studies that did show the opposite pattern. As a caveat, defining an environment as stressful or novel is a difficult task which requires detailed knowledge of a given species’ past environmental exposure—information that is often unknown (Roelofs et al. 2010). While our incubation temperatures were selected based on temperature extremes of naturally occurring L. delicata nests (Cheetham et al. 2011), it is nonetheless possible they were not ‘stressful’ from an evolutionary perspective. Indeed, egg mortality did not differ across incubation treatments, which suggests that lizards from both treatments experienced a similar level of thermal stress as embryos (the estimate of treatment difference: 0.80 [–0.04 to 1.73]). Furthermore, treatment differences may be harder to detect under realistic fluctuating temperature regimes. As such, lizards were not exposed to extreme temperatures over extended periods which might be more important in orchestrating changes in genetic variation (Bonamour et al. 2019). Overall, our results suggest that the thermal extremes experienced by natural nest sites do not modify the evolutionary potential of mass. However, this should be interpreted with caution as estimates of quantitative parameters from laboratory studies can differ from wild populations (Sgrò and Hoffmann 2004; Weigensberg and Roff 1996).
Ontogenetic changes in genetic and non-genetic contributions to body mass
Genetic contributions to body size are expected to vary throughout ontogeny (Lynch and Walsh 1998). Selection pressures on body size are likely to increase at critical life stages, such as at birth or at sexual maturation, thereby reducing genetic variance at certain ages (Rollinson and Rowe 2015). On the contrary, we found that additive genetic variance of mass was very low upon hatching but slowly increased to a maximum around 120–180 days before stabilising around ~0.15 by the end of the first year. Changes in heritability across age that we observed parallel similar findings seen in bighorn sheep (Réale et al. 1999), Soay sheep (Wilson et al. 2007) and ladybird beetles (Dmitriew et al. 2010). While the underlying cause of changes in heritability in mass in our lizards is not well established, it coincided with changes in the social environment (shared housing). This suggests that perhaps competition for resources (basking sites or food) may orchestrate changes in genetic variation (Dmitriew et al. 2010; Hoffmann and Merilä 1999).
Maternal non-genetic contributions to offspring body size are expected to be highest during early life stages and decline as offspring mature, particularly in precocial species (Cheverud 1984; Wilson et al. 2005b). In accordance with other studies, maternal effects did in fact decline after hatching (Dmitriew et al. 2010; Lindholm et al. 2006; Pick et al. 2016; Wilson et al. 2005a, b). Maternal investment, such as investment in clutch number or egg quality, has been shown to influence hatching size in lizards (Brown and Shine 2009; Noble et al. 2014; Warner and Lovern 2014); however, as predicted these effects dissipated post-hatching (Pick et al. 2016; Réale et al. 1999). Interestingly, maternal contributions increased at a later age and remained moderately low for the remainder of the study. The cause of the resurgence in maternal effect variance is unclear. It could be related to intraspecific competition triggering an effect on body size in relation to previously unknown experiences of mothers when offspring were transferred into social housing conditions. Changes in maternal effects across life stages resulting from past maternal experiences have been documented in other taxa (e.g., Marshall 2008). Alternatively, this pattern may indicate other maternally inherited components such as maternal genetic effects (e.g., mitochondrial genetic variation) that promote variation in body size (Pick et al. 2016). Indeed, variation in mitochondrial function has been linked to an individual’s metabolic rate and growth—explaining as much as ~50% of the variation in food intake and growth (Salin et al. 2016, 2019). Therefore, it is likely an important driver of body size variability. Similar to additive genetic variance, the resurgence of maternal effects also cooccurred with changes in the shared environment (housing conditions), suggesting that maternal effects on offspring body size are likely to be environmentally driven.
Traits under strong selection are expected to show low evolutionary potential as selection acts to remove genetic variation. While low evolutionary potential is at least in part due to reduced levels of additive genetic variance, it is also a result of larger proportions of environmental variance that can impact upon heritability, slowing evolutionary responses (Charmantier and Garant 2005). In our study, the environmental component of the phenotype accounted for over 80% of the variation in body mass which is in line with values reported in great tits (53–74%) and Soay sheep (70–96%) (Noordwijk et al. 1988; Wilson et al. 2007). Interestingly, cool developmental temperatures increased the amount of environmental variance attributed to body mass at an early age. Variation in developmental period between developmental temperatures may explain these differences. In many ectotherms, developmental time exhibits a nonlinear reaction norm with temperature (Marshall et al. 2020; Noble et al. 2018). This means that developmental time decelerates with temperature following a negative exponential function. As a result, hot incubated lizards are more comparable in their development time compared to lizards that were reared at a cooler temperature. In fact, the cold developmental temperature treatment had a much greater variance in incubation duration. With a longer incubation period, embryos can maximise the yolk resources left by their mothers, which can vary considerably within clutches (Wallace et al. 2007). Our results suggest that thermodynamic effects of development time can give rise to greater environmental heterogeneity in hatching mass and may affect the potential for evolution at early life stages.
Conclusion
Our work illustrates the pervasive role of developmental temperature on phenotypic variation. The impact of developmental temperature on body mass manifested early and persisted through life (Monaghan 2008). This has profound implications as developmentally induced variation in body mass may drive life history differences within populations and alter their vulnerability to environmental change (Botero et al. 2015; Marshall et al. 2020; Reed et al. 2010). Body size is known to impact survival in lizards with larger animals usually having a survival advantage (Sorci and Clobert 1999; Warner and Andrews 2002). As such, environmentally driven changes in body size could have population-wide consequences on recruitment. In contrast, the genetic variance of body mass was robust to thermal extremes experienced by natural nests and suggests that the potential to genetically adapt to a warming climate may be limited. However, more stressful incubation temperatures are needed to elucidate the capacity of this species to reveal new genetic material for selection to act on. Non-genetic sources of variance were responsible for most of the variability in body mass, and their dynamics with age means that the effectiveness of evolution is everchanging. Understanding the complexities of adaptive evolution in response to climate change may require intensive long-term studies in wild populations.
Data availability
Datasets and code used to generate results of this study are accessible via Open Science Framework (https://bit.ly/2Uy72id).
References
Andrews RM, Mathies T, Warner DA (2000) Effect of incubation temperature on morphology, growth, and survival of juvenile Sceloporus undulatus. Herpetol Monogr 14:420–431
Angilletta MJ Jr, Steury TD, Sears MW (2017) Temperature, growth rate, and body size in ectotherms: fitting pieces of a life-history puzzle. Integr Comp Biol 44(6):1–12
Beaman JE, White CR, Seebacher F (2016) Evolution of plasticity: mechanistic link between development and reversible acclimation. Trends Ecol Evol 31(3):237–249
Beldade P, Mateus ARA, Keller RA (2011) Evolution and molecular mechanisms of adaptive developmental plasticity. Mol Ecol 20(7):1347–1363
Bérénos C, Ellis PA, Pilkington JG, Pemberton JM (2014) Estimating quantitative genetic parameters in wild populations: a comparison of pedigree and genomic approaches. Mol Ecol 23:3434–3451
Bonamour S, Chevin L-M, Charmantier A, Teplitsky C (2019) Phenotypic plasticity in response to climate change: the importance of cue variation. Philos Trans R Soc B: Biol Sci 374(1768):20180178–20180112
Booth DT (2006) Influence of incubation temperature on hatchling phenotype in reptiles. Physiol Biochem Zool 79(2):274–281
Botero CA, Weissing FJ, Wright J, Rubenstein DR (2015) Evolutionary tipping points in the capacity to adapt to environmental change. Proc Natl Acad Sci USA 112(1):184–189
Brown GP, Shine R (2009) Beyond size–number trade-offs: clutch size as a maternal effect. Philos Trans R Soc B: Biol Sci 364(1520):1097–1106
Bürkner PC (2017) brms: an R package for Bayesian multilevel models using Stan. J Stat Softw 80(1):1–28. https://doi.org/10.18637/jss.v080.i01
Chapple DG, Miller KA, Chaplin K, Barnett L, Thompson MB, Bray RD (2014) Biology of the invasive delicate skink (Lampropholis delicata) on Lord Howe Island. Aust J Zool 62(6):498–506
Chapple DG, Miller KA, Kraus F, Thompson MB (2013) Divergent introduction histories among invasive populations of the delicate skink (Lampropholis delicata): has the importance of genetic admixture in the success of biological invasions been overemphasized? Divers Distrib 19:134–146
Charmantier A, Garant D (2005) Environmental quality and evolutionary potential: lessons from wild populations. Proc R Soc B: Biol Sci 272(1571):1415–1425
Charmantier A, Kruuk LEB, Blondel J, Lambrechts MM (2004) Testing for microevolution in body size in three blue tit populations. J Evolut Biol 17(4):732–743
Cheetham E, Doody JS, Stewart B, Harlow P (2011) Embryonic mortality as a cost of communal nesting in the delicate skink. J Zool 283(4):234–242
Cheverud JM (1984) Evolution by kin selection: a quantitative genetic model illustrated by maternal performance in mice. Evolution 38(4):766–777
Chevin LM, Lande R, Mace GM (2010) Adaptation, plasticity, and extinction in a changing environment: towards a predictive theory. PLoS Biol 8:e1000357
Coltman DW, Pilkington J, Kruuk LEB, Wilson K, Pemberton JM (2001) Positive genetic correlation between parasite resistance and body size in a free-living ungulate population. Evolution 55(10):2116–2125
Dahlgaard J, Hoffmann AA (2000) Stress resistance and environmental dependency of inbreeding depression in Drosophila melanogaster. Conserv Biol 14(4):1187–1192
Dayananda B, Gray S, Pike D, Webb JK (2016) Communal nesting under climate change: fitness consequences of higher incubation temperatures for a nocturnal lizard. Glob Change Biol 22(7):2405–2414
De Jong MJ, Alton LA, White CR, O’Bryan MK, Chapple DG, Wong BBM (2023) Long-term effects of incubation temperature on growth and thermal physiology in a small ectotherm. Philos Trans R Soc B: Biol Sci 378:20220137
Dmitriew C, Blows MW, Rowe L (2010) Ontogenetic change in genetic variance in size depends on growth environment. Am Nat 175(6):640–649
Downes SJ, Shine R (1999) Do incubation-induced changes in a lizard’s phenotype influence its vulnerability to predators? Oecologia 120(1):9–18
Elphick MJ, Shine R (1998) Longterm effects of incubation temperatures on the morphology and locomotor performance of hatchling lizards (Bassiana duperreyi, Scincidae). Biol J Linn Soc 63(3):429–447
Elphick MJ, Shine R (1999) Sex differences in optimal incubation temperatures in a scincid lizard species. Oecologia 118(4):431–437
Eyck HJF, Buchanan KL, Crino OL, Jessop TS (2019) Effects of developmental stress on animal phenotype and performance: a quantitative review. Biol Rev 94(3):1143–1160
Falconer DS (1952) The problem of environment and selection. Am Nat 86(830):293–298
Falconer DS, Mackay TFC (1996) Introduction to quantitative genetics, 4 edn. Pearson Education
Fischer K, Kreyling J, Beaulieu M, Beil I, Bog M, Bonte D, et al (2021) Species-specific effects of thermal stress on the expression of genetic variation across a diverse group of plant and animal taxa under experimental conditions. Heredity 126:23–37. https://doi.org/10.1038/s41437-41020-40338-41434
Flatt T, Shine R, Borges-landaez PA, Downes SJ (2001) Phenotypic variation in an oviparous montane lizard (Bassiana duperreyi): the effects of thermal and hydric incubation environments. Biol J Linn Soc 74(3):339–350
Forster J, Hirst AG (2012) The temperature-size rule emerges from ontogenetic differences between growth and development rates. Funct Ecol 26(2):483–492
Gavrilets S, Scheiner SM (1993) The genetics of phenotypic plasticity. VI. Theoretical predictions for directional selection. J Evolut Biol 6:49–68
Gelman A, Lee D, Guo J (2015) Stan: a probabilistic programming language for Bayesian inference and optimization. J Educ Behav Stat 40(5):530–543
Ghalambor CK, McKay JK, Carroll SP, Reznick DN (2007) Adaptive versus non-adaptive phenotypic plasticity and the potential for contemporary adaptation in new environments. Funct Ecol 21(3):394–407
Gifford ME, Robinson CD, Clay TA (2017) The influence of invasive fire ants on survival, space use, and patterns of natural selection in juvenile lizards. Biol Invasions 19(5):1461–1469
Goodman BA, Schwarzkopf L, Krockenberger AK (2013) Phenotypic integration in response to incubation environment adaptively influences habitat choice in a tropical lizard. Am Nat 182(5):666–673
Goodman RM (2008) Latent effects of egg incubation temperature on growth in the lizard Anolis carolinensis. J Exp Zool Part A Ecol Genet Physiol 309A(9):525–533
Granato ISC, Galli G, de Oliveira Couto EG, e Souza MB, Mendonça LF, Fritsche-Neto R (2018) snpReady: a tool to assist breeders in genomic analysis. Mol Breed 38(8):102
Gruber B, Unmack PJ, Berry OF, Georges A (2018) dartr: An r package to facilitate analysis of SNP data generated from reduced representation genome sequencing. Mol Ecol Resour 18:691–699. https://doi.org/10.1111/1755-0998.12745
Hansen TF, Pélabon C, Houle D (2011) Heritability is not evolvability. Evolut Biol 38:258–277
Hare KM, Longson CG, Pledger S, Daugherty CH (2004) Size, growth, and survival are reduced at cool incubation temperatures in the temperate lizard Oligosoma suteri (Lacertilia: Scincidae). Copeia 2004(2):383–390. https://doi.org/10.1643/CP-03-084R2
Hoffman AA, Parsons PA (1991) Evolutionary genetics and evolutionary stress. Oxford University Press
Hoffmann AA, Merilä J (1999) Heritable variation and evolution under favourable and unfavourable conditions. Trends Ecol Evol 14(3):96–101
Huisman J (2017) Pedigree reconstruction from SNP data: parentage assignment, sibship clustering and beyond. Mol Ecol Resour 17(5):1009–1024
Ji X, Chen F, Du W-G, Chen H-L (2003) Incubation temperature affects hatchling growth but not sexual phenotype in the Chinese soft-shelled turtle, Pelodiscus sinensis (Trionychidae). J Zool 261(4):409–416
Kimock CM, Dubuc C, Brent LJN, Higham JP (2019) Male morphological traits are heritable but do not predict reproductive success in a sexually-dimorphic primate. Sci Rep. 9(1):19794
Krist M (2010) Egg size and offspring quality: a meta-analysis in birds. Biol Rev 86(3):692–716
Kruuk LEB (2004) Estimating genetic parameters in natural populations using the ‘animal model’. Philos Trans R Soc Lond Ser B Biol Sci 359(1446):873–890
Lindholm AK, Hunt J, Brooks R (2006) Where do all the maternal effects go? Variation in offspring body size through ontogeny in the live-bearing fish Poecilia parae. Biol Lett 2(4):586–589
Lynch M, Walsh B (1998) Genetics and analysis of quantitative traits. Oxford University Press
Marshall DJ (2008) Transgenerational plasticity in the sea: context-dependent maternal effects across the life history. Ecology 89(2):418–427
Marshall DJ, Pettersen AK, Bode M, White CR (2020) Developmental cost theory predicts thermal environment and vulnerability to global warming. Nat Ecol Evol 4(3):406–411
Martins F, Kruuk LEB, Llewelyn J, Moritz C, Phillips B (2019) Heritability of climate-relevant traits in a rainforest skink. Heredity 122(1):41–52
McAdam AG, Boutin S, Reale D, Berteaux D (2002) Maternal effects and the potential for evolution in a natural population of animals. Evolution 56:846–851
Mitchell TS, Hall JM, Warner DA (2018) Female investment in offspring size and number shifts seasonally in a lizard with single-egg clutches. Evolut Ecol 32(2):231–245
Monaghan P (2008) Early growth conditions, phenotypic development and environmental change. Philos Trans R Soc B Biol Sci 363(1497):1635–1645
Mousseau TA, Fox CW (1998) The adaptive significance of maternal effects. Trends Ecol Evol 13(10):403–407
Noble DWA, McFarlane SE, Keogh JS, Whiting MJ (2014) Maternal and additive genetic effects contribute to variation in offspring traits in a lizard. Behav Ecol 25(3):633–640
Noble DWA, Radersma R, Uller T (2019) Plastic responses to novel environments are biased towards phenotype dimensions with high additive genetic variation. Proc Natl Acad Sci USA 116(27):13452–13461
Noble DWA, Stenhouse V, Schwanz LE (2018) Developmental temperatures and phenotypic plasticity in reptiles: a systematic review and meta-analysis. Biol Rev 93(1):72–97
Noordwijk AJV, Balen JHV, Scharloo W (1988) Heritability of body size in a natural population of the Great Tit (Parus major) and its relation to age and environmental conditions during growth. Genet Res 51(2):149–162
O’Dea RE, Lagisz M, Hendry AP, Nakagawa S (2019) Developmental temperature affects phenotypic means and variability: a meta-analysis of fish data. Fish Fish 20(5):1005–1022. https://doi.org/10.1111/faf.12394
Paaby AB, Rockman MV (2014) Cryptic genetic variation: evolution’s hidden substrate. Nat Rev Genet 15(4):247–258
Pick JL, Ebneter C, Hutter P, Tschirren B (2016) Disentangling genetic and prenatal maternal effects on offspring size and survival. Am Nat 188(6):628–639
Qualls FJ, Shine R (2000) Post-hatching environment contributes greatly to phenotypic variation between two populations of the Australian garden skink, Lampropholis guichenoti. Biol J Linn Soc 71(2):315–341
Réale D, Festa‐Bianchet M, Jorgenson JT (1999) Heritability of body mass varies with age and season in wild bighorn sheep. Heredity 83:526–532
Reed TE, Waples RS, Schindler DE, Hard JJ, Kinnison MT (2010) Phenotypic plasticity and population viability: the importance of environmental predictability. Proc R Soc Lond B Biol Sci 277(1699):3391–3400
Roelofs D, Morgan J, Stürzenbaum S (2010) The significance of genome-wide transcriptional regulation in the evolution of stress tolerance. Evolut Ecol 24(3):527–539
Rollinson N, Rowe L (2015) Persistent directional selection on body size and a resolution to the paradox of stasis. Evolution 69(9):2441–2451
Rowiński PK, Rogell B (2017) Environmental stress correlates with increases in both genetic and residual variances: a meta-analysis of animal studies. Evolution 71:1339–1351. https://doi.org/10.1111/evo.13201
Rueden CT, Schindelin J, Hiner MC, DeZonia BE, Walter AE, Arena ET et al. (2017) ImageJ2: ImageJ for the next generation of scientific image data. BMC Bioinforma 18(1):529
Salin K, Auer SK, Anderson GJ, Selman C, Metcalfe NB (2016) Inadequate food intake at high temperatures is related to depressed mitochondrial respiratory capacity. J Exp Biol 219(9):1356–1362
Salin K, Villasevil EM, Anderson GJ, Lamarre SG, Melanson CA, McCarthy I et al. (2019) Differences in mitochondrial efficiency explain individual variation in growth performance. Proc R Soc B Biol Sci 286(1909):20191466
Schielzeth H, Nakagawa S (2022) Conditional repeatability and the variance explained by reaction norm variation in random slope models. Methods Ecol Evol 13:1214–1223
Sgrò CM, Hoffmann AA (2004) Genetic correlations, tradeoffs and environmental variation. Heredity 93(3):241–248. https://doi.org/10.1038/sj.hdy.6800532
Shine R, Harlow PS (1996) Maternal manipulation of offspring phenotypes via nest-site selection in an oviparous lizard. Ecology 77(6):1808–1817
Sivula T, Magnusson M, Vehtari A (2020) Uncertainty in Bayesian leave-one-out cross-validation based model comparison. Preprint at arXiv:200810296
Sorci G, Clobert J (1999) Natural selection on hatchling body size and mass in two environments in the common lizard (Lacerta vivipara). Evolut Ecol Res 1:303–316
Stillwell RC, Fox CW (2009) Geographic variation in body size, sexual size dimorphism and fitness components of a seed beetle: local adaptation versus phenotypic plasticity. Oikos 118(5):703–712
Storm MA, Angilletta MJ (2007) Rapid assimilation of yolk enhances growth and development of lizard embryos from a cold environment. J Exp Biol 210(19):3415–3421
Sun B-J, Li T, Gao J, Ma L, Du W-G (2015) High incubation temperatures enhance mitochondrial energy metabolism in reptile embryos. Sci Rep 5(1):8861
Team RC (2023) R: a language and environment for statistical computing. R Foundation for Statistical Computing, Vienna, Austria. https://www.R-project.org/
Telemeco RS, Radder RS, Baird TA, Shine R (2010) Thermal effects on reptile reproduction: adaptation and phenotypic plasticity in a montane lizard. Biol J Linn Soc 100(3):642–655
Uller T, Olsson M (2010) Offspring size and timing of hatching determine survival and reproductive output in a lizard. Oecologia 162(3):663–671
VanRaden PM (2008) Efficient methods to compute genomic predictions. J Dairy Sci 91(11):4414–4423
Verdú‐Ricoy J, Iraeta P, Salvador A, Díaz JA (2014) Phenotypic responses to incubation conditions in ecologically distinct populations of a lacertid lizard: a tale of two phylogeographic lineages. J Zool 292(3):184–191. https://doi.org/10.1111/jzo.12091
Wallace BP, Sotherland PR, Santidrian Tomillo P, Reina RD, Spotila JR, Paladino FV (2007) Maternal investment in reproduction and its consequences in leatherback turtles. Oecologia 152(1):37–47
Warner DA, Andrews RM (2002) Laboratory and field experiments identify sources of variation in phenotypes and survival of hatchling lizards. Biol J Linn Soc 76:105–124
Warner DA, Lovern MB (2014) The maternal environment affects offspring viability via an indirect effect of yolk investment on offspring size. Physiol Biochem Zool 87(2):276–287
Warner DA, Shine R (2008) Determinants of dispersal distance in free-ranging juvenile lizards. Ethology 114(4):361–368
Weigensberg I, Roff DA (1996) Natural heritabilities: can they be reliably estimated in the laboratory? Evolution 50(6):2149–2157
West-Eberhard MJ (2003) Developmental plasticity and evolution. Oxford University Press
While GM, Noble DWA, Uller T, Warner DA, Riley JL, Du W-G et al. (2018) Patterns of developmental plasticity in response to incubation temperature in reptiles. J Exp Zool Part A Ecol Integr Physiol 329(4-5):162–176
While GM, Williamson J, Prescott G, Horvathova T, Fresnillo B, Beeton NJ et al. (2015) Adaptive responses to cool climate promotes persistence of a non-native lizard. Proc R Soc Lond B Biol Sci 282(1803):20142638
Wilson AJ, Coltman DW, Pemberton JM, Overall ADJ, Byrne KA, Kruuk LEB (2005a) Maternal genetic effects set the potential for evolution in a free-living vertebrate population. J Evolut Biol 18(2):405–414
Wilson AJ, Kruuk LEB, Coltman DW (2005b) Ontogenetic patterns in heritable variation for body size: using random regression models in a wild ungulate population. Am Nat 166(6):E177–E192
Wilson AJ, Pemberston JM, Pilkington JG, Clutton-Brock TH, Coltman DW, Kruuk LEB (2007) Quantitative genetics of growth and cryptic evolution of body size in an island population. Evolut Ecol 21(3):337–356
Wilson AJ, Réale D (2006) Ontogeny of additive and maternal genetic effects: lessons from domestic mammals. Am Nat 167(1):E23–E38
Wilson AJ, Reale D, Clements MN, Morrissey MM, Postma E, Walling CA et al. (2010) An ecologist’s guide to the animal model. J Anim Ecol 79(1):13–26
Wood CW, Brodie ED (2015) Environmental effects on the structure of the G-matrix. Evolution 69(11):2927–2940
Acknowledgements
Many volunteers and interns from Lizard Lab: Birgit Szabo, Christine Wilson, Joshua Cunningham, Victor Frichot and Matthieu Monserand. Scott Keogh and Julia Riley for their advice with SNP data.
Author information
Authors and Affiliations
Contributions
FK, DWAN, SN conceived the study. FK and DWAN collected and analysed the data. FK wrote the first draft. FK, DWAN and SN edited the manuscript.
Corresponding author
Ethics declarations
Competing interests
The authors declare no competing interests.
Additional information
Publisher’s note Springer Nature remains neutral with regard to jurisdictional claims in published maps and institutional affiliations.
Associate editor: Darren Obbard.
Supplementary information
Rights and permissions
Springer Nature or its licensor (e.g. a society or other partner) holds exclusive rights to this article under a publishing agreement with the author(s) or other rightsholder(s); author self-archiving of the accepted manuscript version of this article is solely governed by the terms of such publishing agreement and applicable law.
About this article
Cite this article
Kar, F., Nakagawa, S. & Noble, D.W.A. Heritability and developmental plasticity of growth in an oviparous lizard. Heredity 132, 67–76 (2024). https://doi.org/10.1038/s41437-023-00660-3
Received:
Revised:
Accepted:
Published:
Version of record:
Issue date:
DOI: https://doi.org/10.1038/s41437-023-00660-3





