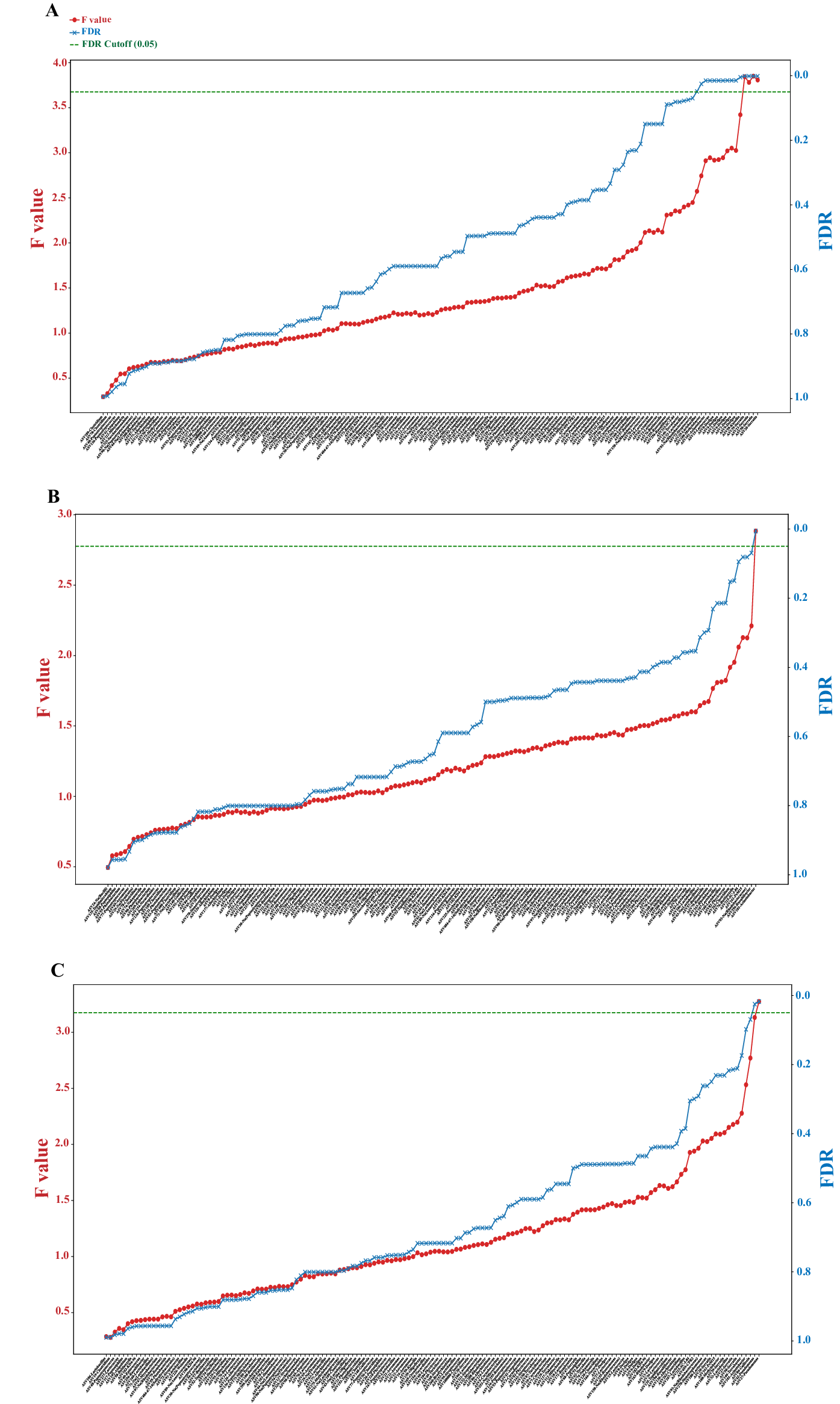
Fig. 2: Results of the LMM analysis of dam, sire and dam-by-sire interaction effects on the abundance for Chinook salmon gut bacteria at the individual ASV level (X-axis, 152 ASVs).

Each panel shows the F-value and corrected P value arranged in ascending order of the F-value (green dotted line shows significance at P < 0.05). A Dam effect; (B) sire effect; and (C) dam-by-sire interaction effect on the abundance of bacterial ASVs.