Abstract
Population divergence through selection can drive local adaptation in natural populations which has implications for the effective restoration of declining and extirpated populations. However, adaptation to local environmental conditions is complicated when both the host and its associated microbiomes must respond via co-evolutionary change. Nevertheless, for adaptation to occur through selection, variation in both host and microbiome traits should include additive genetic effects. Here we focus on host immune function and quantify factors affecting variation in gut immune gene transcription and gut bacterial community composition in early life-stage Chinook salmon (Oncorhynchus tshawytscha). Specifically, we utilized a replicated factorial breeding design to determine the genetic architecture (sire, dam and sire-by-dam interaction) of gut immune gene transcription and microbiome composition. Furthermore, we explored correlations between host gut gene transcription and microbiota composition. Gene transcription was quantified using nanofluidic qPCR arrays (22 target genes) and microbiota composition using 16 S rRNA gene (V5-V6) amplicon sequencing. We discovered limited but significant genetic architecture in gut microbiota composition and transcriptional profiles. We also identified significant correlations between gut gene transcription and microbiota composition, highlighting potential mechanisms for functional interactions between the two. Overall, this study provides support for the co-evolution of host immune function and their gut microbiota in Chinook salmon, a species recognized as locally adapted. Thus, the inclusion of immune gene transcription profile and gut microbiome composition as factors in the development of conservation and commercial rearing practices may provide new and more effective approaches to captive rearing.
Similar content being viewed by others
Introduction
Variation in biotic and abiotic selective pressures among local environments can cause populations to evolve adaptive phenotypes in response to challenges and stressors, which can ultimately lead to locally adapted populations (Alcaide 2010; Donelson et al. 2019; Zamudio et al. 2016). Furthermore, selection pressures can affect both species in symbiotic relationships, resulting in co-adapted phenotypes and ultimately co-evolution of two or more co-existing species (Groussin et al. 2020). One good example of this relates to an organism’s immune function, which must evolve to cope with pathogen challenges in their environment. Teleost fishes have evolved diverse immune responses as they adapted to survive in aquatic environments which harboured varied pathogen communities (Magadan et al. 2015). Thus, immune response varies among populations, as the host must respond to local pathogens (Eizaguirre et al. 2012; Lenz et al. 2013). For example, laboratory challenge experiments that exposed lake and river habitat populations of three-spined sticklebacks (Gasterosteus aculeatus) to pathogens showed stronger immune response in the lake sticklebacks, likely due to the more diverse pathogen community in the lake habitat (Lenz et al. 2013; Scharsack et al. 2007). While the stickleback system is particularly well characterized, other studies, focused on salmonids, have also shown evidence for selection effects on immune function in fishes (Bernatchez and Landry 2003; Colgan et al. 2021; Fraser et al. 2011). At a more functional level, Kjaerner-Semb et al. (2016) reported several missense mutations in the antiviral MX gene occurring at different frequencies among populations and suggested that the populations may have faced differing viral selection pressures. Immune function differences may be a common feature of population divergence; however, for selection to drive local adaptation, variation in immune function must have a genetic component, which can be determined using controlled breeding experiments and quantitative genetic analyses.
The epithelial intestinal surface and gut content of fish hosts various microbes, such as protists, viruses, bacteria and archaea (along with their genomes), which are collectively known as the gut microbiome (Barko et al. 2018). Although the gut microbiome consists of a variety of microbes, this study focusses on the bacterial community composition and will use the term “microbiota” to refer to the bacterial community component. While some studies point toward extrinsic factors playing a dominant role in determining gut microbiome composition (Eichmiller et al. 2016), evidence of host genetic control on the microbiome is also growing (Tabrett and Horton 2020; Tarnecki et al. 2017). For example, recent studies have found variants in the lactase (LCT) gene that is associated with differences in gut microbiome abundance patterns (Heianza et al. 2018; Kato et al. 2018), while Enterococcus faecalis abundance is associated with variants in the MED13L gene locus which is linked to colorectal cancer in humans (Qin et al. 2022). As there is a well-documented relationship between the gut microbiome and host health (e.g., Fraslin et al. 2020), the microbiome can be thought of as part of the host phenotype, and hence the genetic architecture (additive and non-additive genetic and maternal effects) of the host could allow evolutionary forces to select for beneficial microbiome compositions (Fraslin et al. 2020). Previous microbiome research on salmonid species has reported host genetic effects on microbiome composition, including a quantitative genetics analysis of the brown trout (Salmo trutta) egg-associated microbiota that showed significant genetic effects on the bacterial community composition (Wilkins et al. 2016). Furthermore, a quantitative genetic study of the effects of host genetics on the gut microbiome composition in Chinook salmon (Oncorhynchus tshawytscha) showed evidence for significant additive genetic effects that varied among the eight populations studied, consistent with local adaptation (Ziab et al. 2023). Further characterization of the effects of the host genetic architecture on the gut microbiome is essential to elucidate host-microbial interactions and the potential for the host to affect the evolution of microbiome composition and vice-versa.
While host immune function and gut microbiota composition are driven by complex combinations of factors that are intrinsic and extrinsic to the host, the two processes are also closely linked, as the microbiome directly affects the host’s phenotype while the host provides a habitat and nutrients for the microbiome (Shi et al. 2017). Host-microbiome symbiosis is further supported by changes in the gut microbiome leading to host intestinal disorders (Shi et al. 2017). While the interactions between the host and the microbiome are bidirectional (Foster et al. 2017), the relative magnitude of the bidirectional effects are still unknown. Further studies of the host-microbiome interactions are needed to shed light on the nature of host microbiome interactions.
Chinook salmon are the largest of the Pacific salmon species (Ohlberger et al. 2018) and are important for recreational, commercial, and subsistence fisheries, as well as serving as a top predator in the marine ecosystem (Dettmers et al. 2012; Ohlberger et al. 2018). However, there have been declines in Pacific salmon populations globally (Crozier et al. 2021; Ohlberger et al. 2018) and restoration efforts include captive rearing as a part of on-going management and conservation strategies. However, all rearing and release strategies must include the possibility of locally adapted strains of fish, as such local adaptation can be exploited to enhance the coping ability of supplemented individuals (Cooke et al. 2001). The host’s immune/microbiome axis represent a suite of traits that may be locally adapthosted, and hence are promising targets for conservation breeding. Indeed, considerations of host immune function and gut microbiome composition are important not only for captive rearing for conservation, but also for the commercial aquaculture of Chinook salmon.
This study characterizes the genetic basis of the two-way interaction between the Chinook salmon gut and its’ associated gut microbiota composition by assessing their underlying genetic architecture using controlled breeding experiments and quantitative genetic analyses. We utilize a replicated full-factorial breeding design to partition variance in gut microbial composition and immune gene transcription into sire, dam and dam-by-sire interaction components. Our prediction is that there will be substantial sire (additive genetic) and dam (maternal) effects on microbial composition, as reported in previous salmonid studies (Aykanat et al. 2012b; He et al. 2018). Furthermore, we predict that we will observe dam-by-sire interaction (non-additive genetic) and dam (maternal) effects contributing to immune gene transcription as both have been reported previously in early life stage salmonids (Aykanat et al. 2012b; Wellband et al. 2018). The second goal of this study is to test for correlations between host immune gene transcription and the gut microbiota. We predict that a strong relationship exists between gut gene transcription and gut microbiota composition and diversity, since previous research has shown that the host and their gut microbiota exhibit strong bidirectional interactions (Gomez and Balcazar 2008). While it is reasonable to expect host-microbiome co-evolution, little previous work has contributed to that hypothesis; however, determining the genetic architecture of both the host’s gut gene expression and the gut microbiome is a strong first step.
Materials and methods
Breeding and rearing
Gametes were collected in late October 2017 from farmed Chinook salmon at the Yellow Island Aquaculture Ltd (YIAL) facility, Quadra Island, BC. The YIAL brood stock are from an in-house breeding program, and thus may be mildly inbred. Thus, our estimates of dam, sire and dam-by-sire interaction effects may be conservative relative to wild populations; however, our estimates are likely to be largely free of environmental effects. Eggs from 3 females were fertilized using milt from 3 males in a 3 × 3 full-factorial breeding design to create nine families. Altogether five 3 × 3 crosses were created generating 45 families in total with 15 dams and 15 sires. The fish were transferred to replicated 200 L flow-through tanks in early March 2018 by dividing fish from each family into two roughly equal groups and moving them into two replicate rearing tanks. The fish were fed ad libitum a commercial salmon feed (Taplow Feeds, BC, Canada) two times a day until April 2018, when they reached a mean weight of 1.43 ( ± 0.29) grams and were sampled (see below). During the experiment, the water quality was checked daily and O2 levels were ≥80% and the mean water temperature was 12.0 °C ( ± 0.7 °C).
Sample collection
Six fish per replicate tank (12 per family) were collected and humanely euthanized using an overdose solution (0.5 mL per litre) of clove oil (eugenol, Sigma-Aldrich, Inc., Oakville, ON) following animal care protocols as per our animal care permit. Each fish was preserved in a separate 50 mL falcon tube with 45 mL of a high salt solution (700 g/L Ammonium Sulphate, 25 mM Sodium Citrate, 20 mM Ethylenediaminetetraacetic acid, pH 5.2) after incising their abdomen to allow the preservative to access the gut. The tubes were stored at −20 °C for later processing.
Sample lab analysis
Three fish per tank (hence six per family; 45 families × 6 fish = 270 fish) were used for two analyses: 16 S rRNA gene metabarcoding of the gut microbiota composition and gene transcriptional profiling at 22 candidate genes in tissue from the mid and hindgut region. Gut samples were taken after carefully dissecting the fish with a sterilized razor blade to isolate a section comprising midgut and hindgut with both tissue and gut content for microbial analysis and tissue only from midgut and hindgut for gene transcriptional profiling. The 16 S rRNA metabarcoding methodology is described first, followed by gene transcription profiling.
Gut microbiota metabarcoding
DNA Extraction
DNA was extracted following a sucrose lysis buffer protocol as previously described (Shahraki et al. 2019) using both tissue and gut content of three fish per tank for a total of 270 samples (45 families × 6 fish). The V5-V6 hypervariable regions of the 16 S rRNA gene was amplified using UniA-V5-787F (ACCTGCCTGCCGATTAGATACCCNGGTAG) and UniB-V6-1046R (ACGCCACCGAGCCGACAGCCATGCANCACCT) primers (Shahraki et al. 2019). The target sequence was prepared for high throughput sequencing (HTS) using a two-step polymerase chain reaction (PCR) protocol. The first PCR amplified the target region, and the second short-cycle PCR ligated barcode and sequencer adapter sequences to the initial amplicon for HTS. The first PCR step was a 25 µL PCR reaction consisting of 14.3 µL ddH2O, 2.5 µL of 10 × Taq Buffer, 3.5 µL of 20 mM MgSO4, 0.5 µL of 10 mM dNTP, 0.5 µL of 10 µM forward primer, 0.5 µL 10 µM reverse primer, 2 units of Taq Polymerase (Bio Basic Canada Inc., Cat. No. HTD0078) and 3 µL of extracted gut DNA (content and tissue). The thermocycler program was 95 °C for 2 mins followed by 28 cycles of 95 °C for 30 s, 55 °C for 30 s, and 72 °C for 1 min, followed by a final elongation step at 72 °C for 10 mins. Five negative control PCRs were included in the design: 3 PCR negative controls (ddH2O as template) and 2 extraction negative controls (DNA extraction as described above, but with no tissue/gut content) were added to the sequencing library preparations. Following the first amplification, the PCR product was purified using solid-phase reversible immobilization (SPRI) paramagnetic beads (GE Healthcare Life Sciences). The second short-cycle ligation PCR was similar to the first, but the cycle program was 95 °C for 2 mins, followed by 7 cycles of 95 °C for 30 s, 60 °C for 30 s, and 72 °C for 1 min, lastly the elongation step at 72 °C for 5 min (Shahraki et al. 2019). The second PCR ligated the individual sample barcode and the HTS adaptor sequences to the amplicons. After the second PCR, the products for all the reactions were pooled and cleaned using GenCatch Gel Extraction Kit (Epoch Life Science Inc.) according to the manufacture’s instructions. The cleaned product was analyzed on a Bioanalyzer (Agilent Technologies) to determine the amplicon size, purity, and concentration. Prior to sequencing, the pooled library was diluted to a concentration of 60 pmol/µL−1. Finally, the library was sequenced on the Ion Torrent GeneStudio S5 system using Ion 530TM Chip (Thermo Scientific Fisher).
Microbiota metabarcode sequence analysis
The 16 S rRNA sequence data was analyzed using the Quantitative Insights Into Microbial Ecology (QIIME2-2020.11) platform (Bolyen et al. 2019). The FASTQ sequence file was demultiplexed (https://docs.qiime2.org/2022.11/plugins/available/cutadapt/demux-single/) and the DADA2 pipeline was used to denoise single-end sequences, dereplicate and filter chimeras (Callahan et al. 2016). Taxonomic classification was done through the QIIME2 plugins classify-consensus-blast (https://docs.qiime2.org/2022.11/plugins/available/feature-classifier/classify-consensus-blast/) using the SILVA 138_1 (99%) reference database as reference (Quast et al. 2013). All amplicon sequence variants (ASVs) were aligned with mafft (Katoh and Toh 2008) and used to construct a phylogeny with fasttree (Price et al. 2010).
A total of 3,367,746 sequences with 19,741 ASVs were obtained for the 270 samples. ASVs related to eukaryotes, mitochondria, chloroplasts (combined ~ 4%) were removed, resulting in a total of 3,224,345 (96%) sequences remaining. Furthermore, samples with low sequence read depth (<2000 reads) were removed from our analysis as most of the samples showed an ASV plateau at ~2000 reads (Fig. S1). Additionally, low abundance taxa (less than 10 ASVs) and ASVs that showed up in only one sample were removed. This decreased the total number of samples to 260 (out of 270) samples with 2,901,179 sequences and 1783 ASVs. Alpha diversity indices (Chao1 and Faith’s phylogenetic diversity (PD)) of the bacterial communities were calculated using the QIIME2 alpha diversity plugin. Bray-Curtis and Jaccard dissimilarity distance matrixes were calculated using the QIIME2 (core-metrics pipeline) software to estimate β-diversity. After the matrixes were generated, Principal Coordinate Analysis (PCoA) based on the two matrixes was performed to characterize and visualize microbial composition variation.
Gut tissue gene transcription
Candidate gene selection
Transcription profiling was performed using twenty-two candidate and two endogenous (control) genes. Candidate genes were selected for inclusion based on their known direct or indirect influence on the host’s immune function and the gut bacterial microbiome (Table 1). The candidate genes were assigned biological function by researching their role in different biological pathways (Table 1). We used two endogenous control genes for our analyses: elongation factor 1 A (EF1A) and ribosomal protein lateral stalk subunit P0 (RPLP0). The control genes were selected based on previous research that showed these genes have constitutive transcription levels in Salmonidae species at different life stages across a variety of tissues (Olsvik et al. 2005; Toews et al. 2019); however, we also assessed their stability of transcription across our cDNA samples (see below).
Primer/probe design and optimization
Most of the candidate genes included in this study had been developed for quantitative real-time PCR (qRT-PCR) assays previously; however, some were de novo developed for this project (Table 1).
The new qRT-PCR primers and TaqMan® probes were designed using mRNA sequences from Chinook salmon and related salmonid species using Primer Express 3.0 software. The primers were designed to amplify amplicons under 100 bp with annealing temperatures of 58–60 °C. The primers and probes were also screened using the Primer Express software to ensure they did not form strong secondary structures. The resulting primer and probe sequences were used to print TaqMan® OpenArray® qRT-PCR chips (Life Technologies). Three of the gene assays on the OpenArray® chip did not successfully amplify, and thus those genes (Serum Amyloid A (SSA), Tumour Necrosis Factor (TNF), Heat shock protein 90 (HSP90)) were not included in our downstream analyses.
RNA Extraction, cDNA synthesis, and qRT-PCR
RNA was extracted from whole mid and hindgut tissue using Trizol (Invitrogen) following the manufacture’s protocol. The integrity of the RNA was checked on eight samples selected at random using a Bioanalyzer (Agilent Technologies) to assess RNA quantity and quality. The RIN numbers of the samples ranged between 5.8 and 7.3 and the 28 S and 18 S rRNA bands were strong, indicative of high-quality RNA. RNA concentration for the rest of the samples was measured using a NanoVue spectrometer (GE Life Sciences Inc., Mississauga, ON) along with A260/A280 ratios. Only samples with A260/A280 ratios above 1.9 were used. RNA samples were treated with DNA-free™ to remove genomic DNA (TermoFisher Scientific) according to the manufacturer’s guidelines. We used a High-Capacity cDNA Reverse Transcription Kit (Applied Biosystems) for cDNA synthesis according to the manufacture’s instructions. After cDNA synthesis, the product was diluted, combined with TaqMan® OpenArray® Real-Time Master Mix (Life Technologies) and loaded onto the OpenArray® chips and processed using the QuantStudio 12 K Flex Real-Time PCR system (Applied Biosystems) using default conditions. The OpenArray platform includes all gene assays in duplicate, thus our 270 samples were run in duplicate on 6 chips. However, after running our chips, 22 samples did not produce any results and were dropped from transcription profile analyses.
Transcription profile analyses
ExpressionSuite software v.1.0.3 (Applied Biosystems, Burlington, Ontario, Canada) was used to assess the stability of transcription of the constitutively expressed endogenous control genes (EF1A and RPLP0). The software calculates raw critical threshold (CT) values and ranks the endogenous control genes based on their variation across all samples. The variation scores for both RPLP0 and EF1A across the six OpenArray chips were low, hence we used the geometric mean of both for our calculation of ΔCq. Samples with undetermined Cq values for individual gene assays were eliminated from the analysis. Statistical analyses were performed after the removal of missing values and outliers. The number of samples used for statistical analysis therefore varied among the gene assays.
Statistical analysis
Microbiota composition
Bacterial taxonomic composition at the genus level was visualized using stacked barplots of the relative abundance of the bacteria using phyloseq (McMurdie and Holmes 2013) package built on R (Team 2013). Moreover, linear mixed effect models (LMM) were performed using the lme4 package (Version 1.1–31) in R (Version 4.2.0) (Team 2013) on gut microbiota alpha diversity (Chao1, Faith’s PD) to test for dam, sire, and dam-by-sire interaction effects. Fish body weight and tank were included as random effects in the model. To visualize the effect of dam and sire on the gut microbiota beta diversity, a PCoA was performed using the Bray-Curtis and Jaccard dissimilarity distance matrixes, and the first two axes were plotted. Subsequently, we used permutational multivariate analysis of variance (PERMANOVA) analysis in R using vegan package (version 2.6–4) using Bray-Curtis dissimilarity to test for sire, dam and interaction effects.
Moreover, to test for dam, sire, and dam-by-sire interactions, we performed the analyses at both ASV and genus level. ASVs with relative abundance higher than 0.001% in at least 10% of the samples (Priya et al. 2022) were selected. As a result, 152 ASVs (out of 1783 ASVs) were included in the LMM analyses. Genus-level analyses were performed by collapsing the ASV table at genus level and selecting the ten most abundant taxa (all taxa with >1% of total sequence reads). For both models we also included the random effects of body weight and tank. Due to multiple comparison, P value was adjusted using FDR (cutoff = 0.05) method in R (Team 2013).
Transcriptional profile
LMMs (as described above) were performed to test for dam, sire, and dam-by-sire interaction effects on transcription levels (ΔCq) for our 19 candidate genes. Weight, tank and chip effects were added to the model as random variables. Multiple test corrections were performed using sequential Bonferroni corrections (Rice 1989). Lastly, we estimated the variance component effects for genes with significant effects of dam, sire, or their interaction.
Microbiota—transcription correlation
We tested for correlations between gene transcription and gut microbiota composition across all individuals using Mantel tests in R with the vegan package (version 2.6–4) using 1470 ASVs (out of 1783 ASVs) and 19 genes generated from 238 samples (sample IDs were compared between the 260 microbiome and 252 transcriptome samples, resulting in 238 samples remaining for further analysis). The analysis was performed using a transcriptional distance (Euclidean) and bacterial abundance distance matrix (Bray-Curtis dissimilarity matrix). Moreover, to investigate the effect of specific bacterial taxa on host gene expression, 134 ASVs (out of 1470 ASVs; explained above) were compared with gut tissue gene transcription (19 selected genes) using the lm function in R. We used the Holm Bonferroni P value correction for multiple testing (Rice 1989) to identify significant correlations across all 19 genes and 134 ASVs. The pattern of correlation across the gene transcription data and bacterial ASV abundance were visualized as a heat map using the pheatmap and tidyverse packages in R.
Results
Microbial analysis
Microbiota community structure
We characterized bacterial communities at the phylum and genus taxonomic levels. Proteobacteria were the most common phylum (51%), while Firmicutes (45%) and Actinobacteriota (6%) were the next most common phylum across all samples. At the genus level, the most common bacterial taxa associated with the fish gut was Deefgea (Chitinibacteraceae family), a family of the Gammaproteobacteria accounting for 35% bacterial taxa in our samples. Other notable detected fish-associated bacterial genera were Carnobacterium (Carnobacteriaceae family) (19%), and Lactobacillus (Lactobacillaceae family) (5%) (Fig. 1).
Alpha diversity analysis
Chao1 (an index of species richness) ranged from 12 to 162 with a mean of 74 ± 30 (SD) (Fig. S2). Moreover, Faith PD (species richness and evenness corrected for phylogenetic distance) ranged from 2 to 28 with a mean of 12 ± 5 (SD). The LMM designed to test for dam, sire, and dam-by-sire effects (and random covariates) on the two measures of alpha diversity (Chao1 and Faith PD) revealed no significant effects of dam, sire, or their interactions, nor any of the random factors for either metric.
Beta diversity analysis
The PCoA plots (Fig. S3A–D) did not show any obvious separation of the samples based on their dam or sire; however, the PERMANOVA revealed significant dam effects (Pseudo-F: 1.26, P value < 0.05) on microbiota composition (Bray-Curtis dissimilarity) but no significant sire or dam-by-sire interaction effects (Table 2).
Specific bacterial taxon analysis
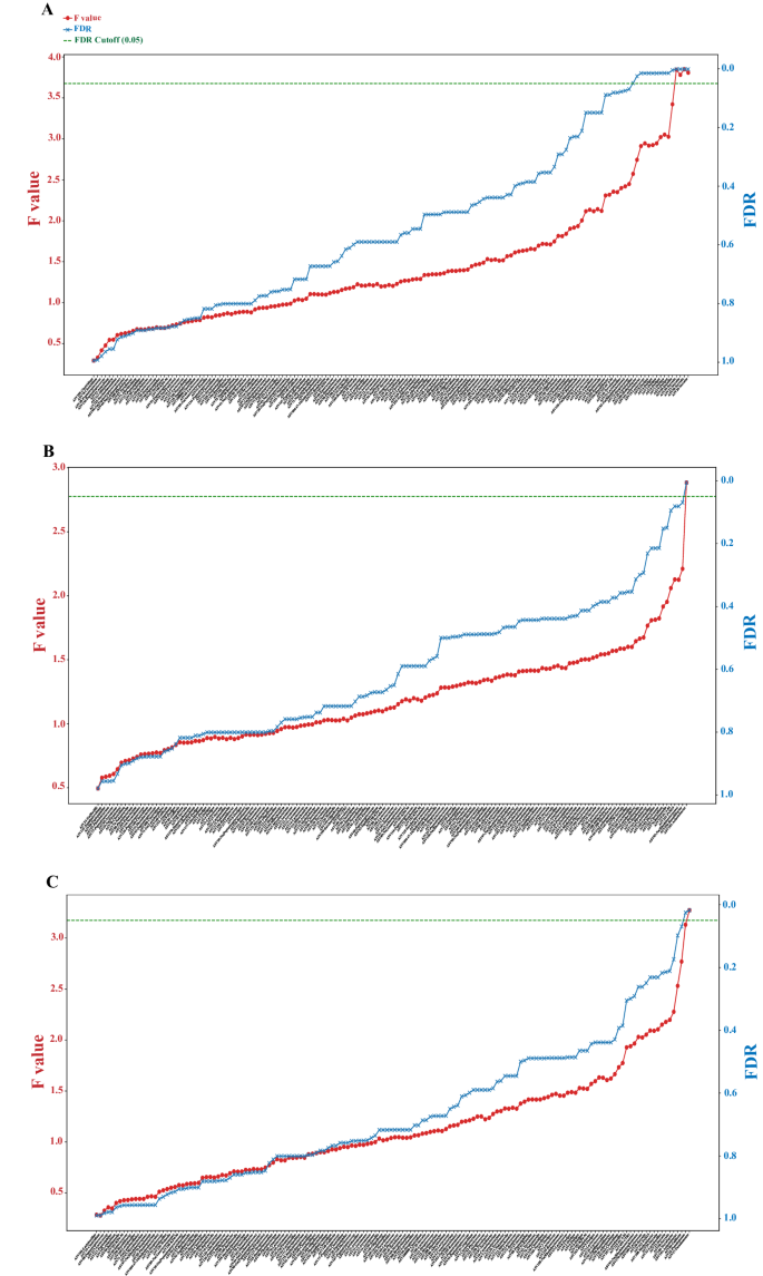
The relative abundance of the 10 most abundant gut bacterial taxa (at the genus level), as well as the 152 most abundant ASVs were analysed using LMM to estimate the effects of dam, sire, dam-by-sire interactions, tank (random factor), and weight effects (random factor). Our analysis at the genus level showed only significant dam effects: bacterial genera related to Deefgea and Lactococcus exhibited significant dam effects (Table 3). Moreover, 15, 2 and 1 ASVs showed significant effects for dam, sire, and their interaction at ASV level, respectively (Fig. 2). The ASVs with dam effect were related to Deefgea (6 ASVs), Serratia (4 ASVs), Knoellia, Lactococcus, Acinetobacter, Methylobacter, and Lactobacillus genera (each one ASV). The ASVs that showed a sire effect were related Pseudomonas genus. Dam-by-sire interactions were significant for an ASV related to Acinetobacter. However, neither of the random factors (weight and tank ID) were significant in any of the genus- or ASV-level analyses (Fig. 2).
Transcriptional analysis
The full model LMM analyses showed no significant effect of weight or rearing tank (random factors) on the transcription levels for any of the 19 candidate genes. The analyses did show significant effects of dam and sire on IGHA2, and TGFB genes (Table 4). The dam-by-sire interaction effect was not significant for any of the selected genes.
Correlation analysis
The Mantel test for correlation between the matrix of pairwise transcriptional profile distance (across all genes) with pairwise microbiota community divergence (Bray-Curtis dissimilarity matrix) was not significant (Mantel statistic r: 0.02, significance: 0.22). However, the lm analyses testing for correlation between the relative abundance of the 134 selected bacterial ASVs and host gene transcription for the 19 selected genes resulted in a pattern of positive and negative correlations (after adjusting for multiple comparisons). Individual significant correlations (after FDR correction) included the relative abundance of ASV20, ASV23, and ASV50 (all related to Serratia)—all were negatively correlated with transcription of the C3 gene. Moreover, the transcription of TS53 was positively associated with ASVs related to Phycicoccus (ASV 82, ASV110), Oligoflexus (ASV159), and a unknown genus of Rhodobacteraceae family (ASV93) (Fig. 3). On the other hand, the transcription level of the H2-AA gene was negatively correlated with relative abundance of ASVs related to Roseomonas, Ilumatobacter, Methlobacter, and KD4-96 (Fig. 3). Finally, IL-1β transcription was negatively associated with photobacterium, an intracellular fish pathogen that causes photobacteriosis (Fig. 3).
Columns correspond to the 19 selected genes; rows correspond to ASVs. The intensity of the colours represents the degree of correlation between the bacterial abundance and gene transcription. Dendrogram is based on similarity of transcription level. Stars in individual cells represent significant P values (adjusted; P < 0.05 *,P ≤ 0.01 **P ≤ 0.001 ***).
Discussion
We used controlled breeding and quantitative genetic analyses to determine the genetic architecture of the gut bacterial composition (as a phenotypic trait of the host) and gut tissue gene transcription in Chinook salmon. We predicted strong dam (maternal) effects on both the gut microbiome and gut gene transcription as the study fish were juvenile, when high maternal effects in general are expected (Venney et al. 2021). However, we expected mostly additive (sire) genetic effects on microbial community composition but non-additive (sire-by-dam interaction) genetic effects on gut gene transcription based on previous published studies. In general, we found significant, but limited, evidence for dam (maternal), sire (additive genetic) and dam-by-sire interaction (non-additive genetic) effects on the gut bacterial community composition at the ASV and genus level in the Chinook salmon population studied here. Similarly, we found significant dam (maternal) and sire (additive) effects in our gut gene transcription analyses. While the prevalence of dam effects was predicted, the limited evidence for additive (sire) and non-additive (sire-by-dam interaction) is a surprising outcome based on previously published results. Nevertheless, our study did reveal significant host genetic architecture effects on both the gut microbiome and tissue gene expression. In addition to host genetic architecture effects, we predicted strong correlations between the gut microbiota relative abundance and host gene transcription, given the reported two-way interaction between the host gut and their microbiome (Morgan et al. 2015; Richards et al. 2019; Sadeghi et al. 2023). However, our Mantel test did not result in a significant relationship between the microbiota community divergence and global gene transcription distance matrices, indicating that that pattern of the gene transcription profile across the 19 candidate genes was not associated with the pattern of gut bacterial community divergence. This is likely due to independent variation among the individual gene transcription patterns and the individual gut microbiota, making the global correlation non-significant. On the other hand, our correlation analyses at the individual gene and ASV levels (lm test; Pearson correlation) revealed a significant relationship between transcript levels and gut bacterial composition at the ASV level for eight genes (i.e., ASV relative abundance). Importantly, those genes are known to be essential for an effective immune response in fishes (Crittenden et al. 2021; Earley et al. 2018; Maisey et al. 2011).
Significant host genetic effects on their gut microbiome composition have been previously reported in mammalian species; however, only a few studies have investigated the genetic architecture of gut microbiome in fishes (Uren Webster et al. 2018; Wilkins et al. 2016). We discovered no significant genetic effects (sire, dam or interaction) on gut microbiota alpha diversity variation (Chao1, and Faith PD), which is consistent with mammalian studies that utilized quantitative genetic analyses to test for the effect of dam and sire on gut microbiota alpha diversity (Fan et al. 2020) as well as one study in Chinook salmon (Ziab et al. 2023). On the other hand, we did detect a marginally significant dam (maternal) effect (P value = 0.06) on beta-diversity (PERMANOVA test; Table 2), although no significant sire (additive) or dam-by-sire interaction (non-additive) effects were observed. Maternal effects on the gut microbiome have been reported in humans and other mammalian species (Ren et al. 2017; Romano-Keeler and Weitkamp 2015; Singh et al. 2021); however, in fishes, the role of maternal effects on the development of the offspring microbiome is less straightforward (Llewellyn et al. 2014; Wilkins et al. 2016; Yildirimer and Brown 2018). Sylvain and Derome (2017) reported vertical transmission of microbes in Discus (Symphysodon aequifasciata); however, Discus provide extensive parental care resulting in a clear mechanism for parent-offspring transfer. Finally, dam (maternal) effects have been reported for the egg surface bacterial composition in brown trout (Wilkins et al. 2016), although it is uncertain whether this reflects vertical transfer. Since other traits with strong maternal effects can indirectly affect the gut microbiome in Chinook salmon offspring (e.g., immune function, egg size, larval size; (Aykanat et al. 2012a; Falica et al. 2017; Heath et al. 1999)), observed maternal effects on gut microbiome composition are perhaps expected even in fishes with no parental care. Interestingly, we also detected significant dam effects on specific bacterial genus abundance, consistent with other studies (Dvergedal et al. 2020; He et al. 2018; Wilkins et al. 2016). Given that the gut microbiome is known to be important for survival at all developmental stages, it is expected to exhibit rapid and short-term evolutionary responses to selection (Aykanat et al. 2012a; Aykanat et al. 2012b; Swain and Nayak 2009; Wilkins et al. 2016), hence it is not surprising that host genetic architecture plays a role in determining microbiome composition. When we tested for dam, sire and dam-by-sire interaction effects on the abundance of selected bacterial ASVs, we found multiple significant dam effects (15), and more limited evidence for sire and interactions effects. The predominance of dam effects in those analyses further highlight the role of maternal effects in early-life salmon gut microbiota composition. The ASVs found to exhibit significant genetic architecture included taxa such as Deefgea, Serratia, Knoellia, Lactococcus, Acinetobacter, Methylobacter, Lactobacillus, and Pseudomonas: Several studies have shown the important role of these taxa in fish microbiomes (Boutin et al. 2014; Xiao et al. 2022; Yu et al. 2021). This may explain, in part, the significant genetic architecture outcomes for those taxa – essentially selection to optimize the offspring’s microbiome.
To our knowledge, there are no published studies on the genetic architecture of fish gut gene transcription; however, other important mucosal surfaces, such as gill tissue, have been targeted in quantitative genetic analyses of gene transcription. Our transcriptional analysis detected limited genetic architecture effects on gene transcription (2 genes out of 19 candidate loci) in gut tissue. IGHA2, TGFB both showed significant dam and sire effects, indicative of maternal and additive genetic contribution to the observed variation. Previous research has reported both dam and sire effects on intestinal transcriptional profiles in chickens, sheep, swine, and fish (Keane et al. 2006; Leder et al. 2015; Mott et al. 2008; Reyer et al. 2018). For example, moderate to low additive genetic variance components (heritability, h2) of IGHA2 protein levels have been reported in Atlantic salmon and mammals (Duah et al. 2009; Liu et al. 2015). IGHA2 and TGFB are essential for organism health, as IGHA2 (IgM) provides immediate protection against bacterial pathogens (Boes 2000; Wichterman et al. 1980), and TGFB affects cell proliferation, differentiation, and wound healing (Sun et al. 2009). The additive genetic contribution to the expression of IGHA2 and TGFB provides the potential for selective pressures to drive changes in gene transcription at the population level. Although we did not detect significant dam-by-sire interaction (non-additive genetic) effects on gut gene transcription in Chinook salmon, previous salmonid studies using whole fish and gill tissues have reported such effects (Aykanat et al. 2012b; Bicskei et al. 2014; Wellband et al. 2018). It is important to note that our study population is a moderately inbred captive population of Chinook salmon (Dender et al. 2018), and hence our estimates of genetic variance components are likely conservative relative to those expected in more outbred wild populations.
Correlation analysis is an important tool to help researchers with hypothesis generation, such as determining which interactions might be biologically relevant in their system (Weiss et al. 2016), or characterizing possible functional relationships between members of the microbiome and their hosts (Fang et al. 2015). Correlation analyses are particularly useful for reducing the number of possible hypotheses that needed to be tested but will never rule out the necessity for experimental validation (Carr et al. 2019). Complex interactions between host gut immune function and gut microbiota composition have been previously reported (Perez-Lopez et al. 2016; Xiong et al. 2019). Our analysis identified eight genes (TS53, IGHA2, IL8, H2-AA, C3, CCL20, CD3E, and IL-1β) whose gut gene transcription was significantly positively or negatively correlated with specific bacterial ASVs. For example, IL-1β was negatively correlated with ASV related to Photobacterium damselae subsp. Damselae. Photobacterium damselae subsp. Damselae is an emerging pathogen in warm and cold-water fishes (Terceti et al. 2016). Moreover, IL-1β has been shown to be protective in several bacterial, viral, and fungal infection models. Negative correlation between IL-1β gene and ASVs related to Photobacterium may reflect the protective effect of IL-1β gene against Photobacterium (Sahoo et al. 2011). Moreover, species of Serratia, have been linked to bacterial septicaemia and mortalities in salmonid fish (Baya et al. 1992), thus, the fact that two genes (C3, and CCL20) were negatively correlated with four ASVs related to Serratia may also reflect the protective effect of these genes. Research on three-spined stickleback reported correlations between immune gene transcription levels and microbiome composition and showed that C3 was correlated with microbial families of gut-associated microbiota (Fuess et al. 2021). On the other hand, some of the genes in our study showed a positive correlation between transcription levels and bacteria ASV abundance. For example, TS53, IGHA2, and IL8 showed positive correlations with Rhodobacter, a group that has been used as a probiotic additive in aquaculture (Chumpol et al. 2017; Klaenhammer et al. 2012; Yan and Polk 2011). While correlations do not reflect causative effects, the pattern of correlations with gene transcript levels with bacterial abundance at the ASV level is consistent with expected host-microbiome functional relationships.
Both the gut microbiome and host immune system play essential roles in an organism’s health, and thus both directly impact fitness. Natural variation among individuals exists for both traits, and controlled breeding studies coupled with quantitative genetic analyses can be used to characterize the genetic architecture underlying those traits. Furthermore, those traits may be co-adapted to local environmental conditions and thus drive the evolution of a symbiotic relationship between the host and its gut microbiome. Our study used a replicated full-factorial breeding design to determine the genetic architecture underlying variation in gut microbial composition and gene transcription of the mid- and hindgut in Chinook salmon. We found significant genetic architecture for measures of gut microbiota abundance and more limited, but significant, evidence for genetic architecture affecting gene transcription. The overall scarcity of additive and non-additive genetic effects may reflect the outcome of past strong selection pressures on both the microbiome composition and host gut tissue gene transcription; however, it also suggests a limited scope for evolutionary response to selection in the study captive population. Furthermore, our study detected significant correlations between gut microbial composition and transcription levels, which may reflect a co-adaptive relationship, perhaps the result of local co-evolution. In summary, our study showed evidence for not only significant host genetic architecture effects on gut gene transcription and the gut microbiota, but also correlations between gut microbiome composition and host gene transcription, consistent with a co-adapted host tissue-gut microbiome axis in Chinook. Ultimately, quantitative genetic analysis studies such as ours provide valuable information on the evolutionary history of critical fitness-related traits, as well as guidelines for managing host-microbiome health in the captive rearing of important salmonid species.
Data availability
Raw data are available at the Sequence Read Archive of NCBI with PRJNA925893 BioProject accession number.
References
Alcaide M (2010) On the relative roles of selection and genetic drift in shaping MHC variation. Mol Ecol 19(18):3842–3844
Aykanat T, Bryden CA, Heath DD (2012a) Sex-biased genetic component distribution among populations: additive genetic and maternal contributions to phenotypic differences among populations of Chinook salmon. J Evol Biol 25(4):682–690
Aykanat T, Heath JW, Dixon B, Heath DD (2012b) Additive, non-additive and maternal effects of cytokine transcription in response to immunostimulation with Vibrio vaccine in Chinook salmon (Oncorhynchus tshawytscha). Immunogenetics 64(9):691–703
Barko PC, McMichael MA, Swanson KS, Williams DA (2018) The gastrointestinal microbiome: A review. J Vet Intern Med 32(1):9–25
Baya A, Toranzo A, Lupiani B, Santos Y, Hetrick F (1992) Serratia marcescens: a potential pathogen for fish. J Fish Dis 15(1):15–26
Bernatchez L, Landry C (2003) MHC studies in nonmodel vertebrates: what have we learned about natural selection in 15 years? J Evol Biol 16(3):363–377
Bicskei B, Bron JE, Glover KA, Taggart JB (2014) A comparison of gene transcription profiles of domesticated and wild Atlantic salmon (Salmo salar L.) at early life stages, reared under controlled conditions. BMC Genomics 15(1):884
Boes M (2000) Role of natural and immune IgM antibodies in immune responses. Mol Immunol 37(18):1141–1149
Bolyen, Rideout E, Dillon JR, Bokulich MR, Abnet NA, Al-Ghalith GA CC et al. (2019) Reproducible, interactive, scalable and extensible microbiome data science using QIIME 2. Nat Biotechnol 37(8):852–857
Boutin S, Sauvage C, Bernatchez L, Audet C, Derome N (2014) Inter individual variations of the fish skin microbiota: host genetics basis of mutualism? PLoS One 9(7):e102649
Callahan BJ, McMurdie PJ, Rosen MJ, Han AW, Johnson AJ, Holmes SP (2016) DADA2: High-resolution sample inference from Illumina amplicon data. Nat Methods 13(7):581–583
Carr A, Diener C, Baliga NS, Gibbons SM (2019) Use and abuse of correlation analyses in microbial ecology. ISME J 13(11):2647–2655
Ching B. et al. 2010. Transcriptional differences between triploid and diploid Chinook salmon (Oncorhynchus tshawytscha) during live Vibrio anguillarum challenge. Heredity. 104:224-34
Chumpol S, Kantachote D, Nitoda T, Kanzaki H (2017) The roles of probiotic purple nonsulfur bacteria to control water quality and prevent acute hepatopancreatic necrosis disease (AHPND) for enhancement growth with higher survival in white shrimp (Litopenaeus vannamei) during cultivation. Aquaculture 473:327–336
Colgan TJ, Moran PA, Archer LC, Wynne R, Hutton SA, McGinnity P et al. (2021) Evolution and Expression of the Immune System of a Facultatively Anadromous Salmonid. Front Immunol 12:568729
Cooke SJ, Kassler TW, Philipp DP (2001) Physiological performance of largemouth bass related to local adaptation and interstock hybridization: implications for conservation and management. J Fish Biol 59:248–268. %@ 0022-1112
Crittenden S, Goepp M, Pollock J, Robb CT, Smyth DJ, Zhou Y et al (2021). Prostaglandin E(2) promotes intestinal inflammation via inhibiting microbiota-dependent regulatory T cells. Sci Adv 7(7):eabd7954
Crozier LG, Burke BJ, Chasco BE, Widener DL, Zabel RW (2021) Climate change threatens Chinook salmon throughout their life cycle. Commun Biol 4(1):222
Dender MG, Capelle PM, Love OP, Heath DD, Heath JW, Semeniuk CA (2018) Phenotypic integration of behavioural and physiological traits is related to variation in growth among stocks of Chinook salmon. Can J Fish Aquat Sci 75(12):2271–2279
Dettmers JM, Goddard CI, Smith KD (2012) Management of alewife using Pacific salmon in the Great Lakes: whether to manage for economics or the ecosystem? Fisheries 37(11):495–501. %@ 0363-2415
Donelson JM, Sunday JM, Figueira WF, Gaitan-Espitia JD, Hobday AJ, Johnson CR et al. (2019) Understanding interactions between plasticity, adaptation and range shifts in response to marine environmental change. Philos Trans R Soc Lond B Biol Sci 374(1768):20180186
Duah NO, Weiss HA, Jepson A, Tetteh KK, Whittle HC, Conway DJ (2009) Heritability of antibody isotype and subclass responses to Plasmodium falciparum antigens. PLoS One 4(10):e7381
Dvergedal H, Sandve SR, Angell IL, Klemetsdal G, Rudi K (2020) Association of gut microbiota with metabolism in juvenile Atlantic salmon. Microbiome 8(1):160
Earley AM, Graves CL, Shiau CE (2018) Critical role for a subset of intestinal macrophages in shaping gut microbiota in adult zebrafish. Cell Rep. 25(2):424–436
Eichmiller JJ, Hamilton MJ, Staley C, Sadowsky MJ, Sorensen PW (2016) Environment shapes the fecal microbiome of invasive carp species. Microbiome 4(1):44
Eizaguirre C, Lenz TL, Kalbe M, Milinski M (2012) Divergent selection on locally adapted major histocompatibility complex immune genes experimentally proven in the field. Ecol Lett 15(7):723–731
Falica BK, Lehnert SJ, Pitcher TE, Heath DD, Higgs DM (2017) Ontogentic shifts in genetic and maternal effects on length and survival in Chinook salmon (Oncorhynchus tshawytscha). Aquaculture 468:218–225. %@ 0044-8486
Fan P, Bian B, Teng L, Nelson CD, Driver J, Elzo MA et al. (2020) Host genetic effects upon the early gut microbiota in a bovine model with graduated spectrum of genetic variation. ISME J 14(1):302–317
Fang H, Huang C, Zhao H, Deng M (2015) CCLasso: correlation inference for compositional data through Lasso. Bioinformatics 31(19):3172–3180
Foster KR, Schluter J, Coyte KZ, Rakoff-Nahoum S(2017) The evolution of the host microbiome as an ecosystem on a leash Nature 548(7665):43–51
Fraser DJ, Weir LK, Bernatchez L, Hansen MM, Taylor EB (2011) Extent and scale of local adaptation in salmonid fishes: review and meta-analysis. Heredity (Edinb) 106(3):404–420
Fraslin C, Quillet E, Rochat T, Dechamp N, Bernardet JF, Collet B et al. (2020) Combining multiple approaches and models to dissect the genetic architecture of resistance to infections in fish. Front Genet 11:677
Fuess LE, den Haan S, Ling F, Weber JN, Steinel NC, Bolnick DI (2021) Immune gene expression covaries with gut microbiome composition in stickleback. mBio 12(3)::e00145-21
Gomez GD, Balcazar JL (2008) A review on the interactions between gut microbiota and innate immunity of fish. FEMS Immunol Med Microbiol 52(2):145–154
Groussin M, Mazel F, Alm EJ (2020) Co-evolution and co-speciation of host-gut bacteria systems. Cell Host Microbe 28(1):12–22
He X, Chaganti SR, Heath DD (2018) Population-specific responses to interspecific competition in the gut microbiota of two Atlantic Salmon (Salmo salar) Populations. Micro Ecol 75(1):140–151
Heath DD, Fox CW, Heath JW (1999) Maternal effects on offspring size: Variation through early development of Chinook Salmon. Evolution 53(5):1605–1611
Heianza Y, Sun D, Ma W, Zheng Y, Champagne CM, Bray GA et al. (2018) Gut-microbiome-related LCT genotype and 2-year changes in body composition and fat distribution: the POUNDS Lost Trial. Int J Obes (Lond) 42(9):1565–1573
Kato K, Ishida S, Tanaka M, Mitsuyama E, Xiao JZ, Odamaki T (2018) Association between functional lactase variants and a high abundance of Bifidobacterium in the gut of healthy Japanese people. PLoS One 13(10):e0206189
Katoh K, Toh H (2008) Recent developments in the MAFFT multiple sequence alignment program. Brief Bioinform 9(4):286–298
Keane OM, Zadissa A, Wilson T, Hyndman DL, Greer GJ, Baird DB et al. (2006) Gene expression profiling of naive sheep genetically resistant and susceptible to gastrointestinal nematodes. BMC Genomics 7:42
Kjaerner-Semb E, Ayllon F, Furmanek T, Wennevik V, Dahle G, Niemela E et al. (2016) Atlantic salmon populations reveal adaptive divergence of immune related genes - a duplicated genome under selection. BMC Genomics 17(1):610
Klaenhammer TR, Kleerebezem M, Kopp MV, Rescigno M (2012) The impact of probiotics and prebiotics on the immune system. Nat Rev Immunol 12(10):728–734
Leder EH, McCairns RJ, Leinonen T, Cano JM, Viitaniemi HM, Nikinmaa M et al. (2015) The evolution and adaptive potential of transcriptional variation in sticklebacks–signatures of selection and widespread heritability. Mol Biol Evol 32(3):674–689
Lenz TL, Eizaguirre C, Rotter B, Kalbe M, Milinski M (2013) Exploring local immunological adaptation of two stickleback ecotypes by experimental infection and transcriptome-wide digital gene expression analysis. Mol Ecol 22(3):774–786
Liu Y, Buil A, Collins BC, Gillet LC, Blum LC, Cheng LY et al. (2015) Quantitative variability of 342 plasma proteins in a human twin population. Mol Syst Biol 11(1):786
Llewellyn MS, Boutin S, Hoseinifar SH, Derome N (2014) Teleost microbiomes: the state of the art in their characterization, manipulation and importance in aquaculture and fisheries. Front Microbiol 5:207
Magadan S, Sunyer OJ, Boudinot P (2015) Unique features of fish immune repertoires: Particularities of adaptive immunity within the largest group of vertebrates. Results Probl Cell Differ 57:235–264
Maisey K, Toro-Ascuy D, Montero R, Reyes-Lopez FE, Imarai M (2011) Identification of CD3epsilon, CD4, CD8beta splice variants of Atlantic salmon. Fish Shellfish Immunol 31(6):815–822
McMurdie PJ, Holmes S (2013) phyloseq: an R package for reproducible interactive analysis and graphics of microbiome census data. PLoS One 8(4):e61217
Morgan XC, Kabakchiev B, Waldron L, Tyler AD, Tickle TL, Milgrom R et al. (2015) Associations between host gene expression, the mucosal microbiome, and clinical outcome in the pelvic pouch of patients with inflammatory bowel disease. Genome Biol 16(1):67
Mott CR, Siegel PB, Webb Jr. KE, Wong EA (2008) Gene expression of nutrient transporters in the small intestine of chickens from lines divergently selected for high or low juvenile body weight. Poult Sci 87(11):2215–2224
Ohlberger J, Ward EJ, Schindler DE, Lewis B (2018) Demographic changes in Chinook salmon across the Northeast Pacific Ocean. Fish Fish 19(3):533–546. %@ 1467-2960
Olsvik PA, Lie KK, Jordal AE, Nilsen TO, Hordvik I (2005) Evaluation of potential reference genes in real-time RT-PCR studies of Atlantic salmon. BMC Mol Biol 6:21
Perez-Lopez A, Behnsen J, Nuccio SP, Raffatellu M (2016) Mucosal immunity to pathogenic intestinal bacteria. Nat Rev Immunol 16(3):135–148
Price MN, Dehal PS, Arkin AP (2010) FastTree 2–approximately maximum-likelihood trees for large alignments. PLoS One 5(3):e9490
Priya, Burns S, Ward MB, Mars RAT T, Adamowicz B, Lock EF et al. (2022) Identification of shared and disease-specific host gene-microbiome associations across human diseases using multi-omic integration. Nat Microbiol 7(6):780–795
Qin Y, Havulinna AS, Liu Y, Jousilahti P, Ritchie SC, Tokolyi A et al. (2022) Combined effects of host genetics and diet on human gut microbiota and incident disease in a single population cohort. Nat Genet 54(2):134–142
Quast C, Pruesse E, Yilmaz P, Gerken J, Schweer T, Yarza P et al(2013) The SILVA ribosomal RNA gene database project: improved data processing and web-based tools NucleicAcids Res 41(Database issue):D590–D596
Ren T, Boutin S, Humphries MM, Dantzer B, Gorrell JC, Coltman DW et al. (2017) Seasonal, spatial, and maternal effects on gut microbiome in wild red squirrels. Microbiome 5(1):163
Reyer H, Oster M, Magowan E, Murani E, Sauerwein H, Dannenberger D et al. (2018) Feed-efficient pigs exhibit molecular patterns allowing a timely circulation of hormones and nutrients. Physiol Genomics 50(9):726–734
Rice WR (1989) Analyzing Tables of Statistical Tests. Evolution 43(1):223–225
Richards AL, Muehlbauer AL, Alazizi A, Burns MB, Findley A, Messina F et al (2019) Gut microbiota has a widespread and modifiable effect on host gene regulation. mSystems 4(5):e00323–18
Romano-Keeler J, Weitkamp JH (2015) Maternal influences on fetal microbial colonization and immune development. Pediatr Res 77(1-2):189–195
Sadeghi J, Chaganti SR, Heath DD (2023) Regulation of host gene expression by gastrointestinal tract microbiota in Chinook Salmon (Oncorhynchus tshawytscha). Mol Ecol 32(15):4427–4446
Sahoo M, Ceballos-Olvera I, del Barrio L, Re F (2011) Role of the inflammasome, IL-1beta, and IL-18 in bacterial infections. ScientificWorldJournal 11:2037–2050
Scharsack JP, Kalbe M, Harrod C, Rauch G (2007) Habitat-specific adaptation of immune responses of stickleback (Gasterosteus aculeatus) lake and river ecotypes. Proc Biol Sci 274(1617):1523–1532
Shahraki AH, Chaganti SR, Heath D (2019) Assessing high-throughput environmental DNA extraction methods for meta-barcode characterization of aquatic microbial communities. J Water Health 17(1):37–49. %@ 1477-8920
Shi N, Li N, Duan X, Niu H (2017) Interaction between the gut microbiome and mucosal immune system. Mil Med Res 4:14
Singh G, Brass A, Cruickshank SM, Knight CG (2021) Cage and maternal effects on the bacterial communities of the murine gut. Sci Rep. 11(1):9841
Sun T, Adra S, Smallwood R, Holcombe M, MacNeil S (2009) Exploring hypotheses of the actions of TGF-beta1 in epidermal wound healing using a 3D computational multiscale model of the human epidermis. PLoS One 4(12):e8515
Swain P, Nayak SK (2009) Role of maternally derived immunity in fish. Fish Shellfish Immunol 27(2):89–99
Sylvain FE, Derome N (2017) Vertically and horizontally transmitted microbial symbionts shape the gut microbiota ontogenesis of a skin-mucus feeding discus fish progeny. Sci Rep. 7(1):5263
Tabrett A, Horton MW (2020). The influence of host genetics on the microbiome. F1000Res 9:84
Tarnecki AM, Burgos FA, Ray CL, Arias CR (2017) Fish intestinal microbiome: diversity and symbiosis unravelled by metagenomics. J Appl Microbiol 123(1):2–17
Team RC (2013). R: A language and environment for statistical computing. R Foundation for Statistical Computing, Vienna, Austria. http://www.R-projectorg/.
Terceti MS, Ogut H, Osorio CR (2016) Photobacterium damselae subsp. damselae, an Emerging Fish Pathogen in the Black Sea: Evidence of a Multiclonal Origin. Appl Environ Microbiol 82(13):3736–3745
Toews SD, Wellband KW, Dixon B, Heath DD (2019) Variation in juvenile Chinook salmon (Oncorhynchus tshawytscha) transcription profiles among and within eight population crosses from British Columbia, Canada. Mol Ecol 28(8):1890–1903
Uren Webster TM, Consuegra S, Hitchings M, Garcia de Leaniz C (2018). Interpopulation variation in the atlantic salmon microbiome reflects environmental and genetic diversity. Appl Environ Microbiol 84(16):e00691-18
Venney CJ, Wellband KW, Heath DD (2021) Rearing environment affects the genetic architecture and plasticity of DNA methylation in Chinook salmon. Heredity (Edinb) 126(1):38–49
Weiss S, Van Treuren W, Lozupone C, Faust K, Friedman J, Deng Y et al. (2016) Correlation detection strategies in microbial data sets vary widely in sensitivity and precision. ISME J 10(7):1669–1681
Wellband KW, Heath JW, Heath DD (2018) Environmental and genetic determinants of transcriptional plasticity in Chinook salmon. Heredity (Edinb) 120(1):38–50
Wichterman KA, Baue AE, Chaudry IH (1980) Sepsis and septic shock–a review of laboratory models and a proposal. J Surg Res 29(2):189–201
Wilkins LG, Fumagalli L, Wedekind C (2016) Effects of host genetics and environment on egg-associated microbiotas in brown trout (Salmo trutta). Mol Ecol 25(19):4930–4945
Xiao Y, Yan F, Cui Y, Du J, Hu G, Zhai W et al. (2022) A symbiotic bacterium of Antarctic fish reveals environmental adaptability mechanisms and biosynthetic potential towards antibacterial and cytotoxic activities. Front Microbiol 13:1085063
Xiong JB, Nie L, Chen J (2019) Current understanding on the roles of gut microbiota in fish disease and immunity. Zool Res 40(2):70–76
Yan F, Polk DB (2011) Probiotics and immune health. Curr Opin Gastroenterol 27(6):496–501
Yildirimer CC, Brown KH (2018) Intestinal microbiota lipid metabolism varies across rainbow trout (Oncorhynchus mykiss) phylogeographic divide. J Appl Microbiol:1614–1625
Yu YY, Ding LG, Huang ZY, Xu HY, Xu Z (2021) Commensal bacteria‐immunity crosstalk shapes mucosal homeostasis in teleost fish. Rev Aquac 13(4):2322–2343
Zamudio KR, Bell RC, Mason NA (2016) Phenotypes in phylogeography: Species’ traits, environmental variation, and vertebrate diversification. Proc Natl Acad Sci USA 113(29):8041–8048
Ziab M, Chaganti SR, Heath DD (2023) The effects of host quantitative genetic architecture on the gut microbiota composition of Chinook salmon (Oncorhynchus tshawytscha). Heredity (Edinb) 131(1):43–55
Acknowledgements
We thank Drs. John Heath and Ann Heath for providing resources to rear fish at Yellow Island Aquaculture Ltd. (YIAL). We would like to thank Alex Kajtar, Dr. Clare Venney, and Jane Drown for their assistance with sampling. Lastly, we want to thank Shelby Mackie for her aid with lab work. We are also grateful to three anonymous reviewers for their constructive comments that significantly improved the manuscript. Funding for this project was provided by The Natural Sciences and Engineering Research Council of Canada (NSERC), Ontario Trillium Scholarship (OTS), and Ontario Graduate Scholarship (OGS).
Author information
Authors and Affiliations
Contributions
J.S, F.Z, D.D.H. conceived and planned the experiments. F.Z carried out field work, wet laboratory sample preparations and experiments. J.S. and D.D.H. contributed to the interpretation of the results. J.S. took the lead in analyzing and interpreting the data and writing the manuscript. D.D.H., provided critical feedback and helped shape the research, analysis, and manuscript.
Corresponding author
Ethics declarations
Competing interests
The authors declare no competing interests.
Research Ethics Statement
This study was reviewed and approved by the University of Windsor Animal Care Committee (ACC) for adherence to the Canadian Counsel on Animal Care (CCAC). The University of Windsor permit number for this work was: AUPP-17-08. All guidelines and protocols required by the Canadian Counsel for Animal Care were followed.
Additional information
Publisher’s note Springer Nature remains neutral with regard to jurisdictional claims in published maps and institutional affiliations.
Associate editor: Bastiaan Star.
Supplementary information
41437_2024_692_MOESM1_ESM.docx
Genetic architecture and correlations between the gut microbiome and gut gene transcription in Chinook salmon (Oncorhynchus tshawytscha)
Rights and permissions
Springer Nature or its licensor (e.g. a society or other partner) holds exclusive rights to this article under a publishing agreement with the author(s) or other rightsholder(s); author self-archiving of the accepted manuscript version of this article is solely governed by the terms of such publishing agreement and applicable law.
About this article
Cite this article
Sadeghi, J., Zaib, F. & Heath, D.D. Genetic architecture and correlations between the gut microbiome and gut gene transcription in Chinook salmon (Oncorhynchus tshawytscha). Heredity 133, 54–66 (2024). https://doi.org/10.1038/s41437-024-00692-3
Received:
Revised:
Accepted:
Published:
Version of record:
Issue date:
DOI: https://doi.org/10.1038/s41437-024-00692-3





