Abstract
In a 12-week, randomized, controlled trial, we investigated whether home blood pressure monitoring (HBPM) would improve treatment adherence and blood pressure control in stage 2 and 3 hypertension. Eligible patients (18–75 years of age and 160–199/100–119 mmHg of clinic systolic/diastolic blood pressure after a 1-week wash-out) were randomized in a 1:4 ratio to an experimental group (with HBPM) and a control group (without HBPM). All patients started antihypertensive treatment with the irbesartan 150 mg/hydrochlorothiazide 12.5 mg/day combination, with the possible addition of irbesartan 150 mg/day and uptitration to irbesartan 300 mg/hydrochlorothiazide 25 mg/day at 4 and 8 weeks of follow-up, respectively. The primary endpoint was the clinic blood pressure control (systolic/diastolic, nondiabetes <140/90 mmHg and diabetes <130/80 mmHg) rate at 12 weeks of follow-up. The randomized patients in the HBPM (n = 96) and control groups (n = 405) had similar characteristics at baseline and similar use of higher dosages of irbesartan/hydrochlorothiazide (300 mg/12.5–25 mg) at 4 (9.4% vs. 12.2%, P = 0.45) and 8 weeks of follow-up (27.1% vs. 35.5%, P = 0.13). During follow-up, both the cumulative treatment discontinuation rate (1.0% vs. 12.6%, P = 0.0008) and the less optimal treatment adherence rate (<90% of prescribed medication, 1.0% vs. 9.9%, P = 0.005) were significantly lower in the HBPM group than in the control group. The proportion of patients who achieved the goal of clinic blood pressure control at 12 weeks of follow-up was significantly higher in the HBPM group than in the control group (66.7% vs. 55.1%, P = 0.04). In conclusion, HBPM improved treatment adherence and blood pressure control in patients with hypertension, despite similar antihypertensive treatment intensities.
Similar content being viewed by others
Introduction
Home blood pressure monitoring (HBPM) is increasingly used in the management of hypertension [1,2,3]. In treated hypertensive patients, HBPM may help to improve awareness of the control status of hypertension and enhance treatment adherence and blood pressure control. Indeed, several meta-analyses of previous randomized controlled trials have shown that HBPM is associated with up to 21% [4] and 30% [5] increases in medication adherence and control rates, respectively [4,5,6,7,8]. Despite the convincing results regarding the benefit of HBPM in improving treatment adherence and blood pressure control, the interpretations are controversial [5, 6]. Some investigators attributed the benefit of HBPM to the feedback and counseling of physicians or nurses [5]. Others suggested that the increased treatment intensity with HBPM improved blood pressure control [8]. One of the limitations of these HBPM studies is often the lack of a standardized regimen of antihypertensive therapy. This makes the interpretations of benefit, if any, difficult.
We recently performed a single-arm, 12-week, prospective study on the blood pressure-lowering effect of the irbesartan and hydrochlorothiazide combination in patients with stage 2 or 3 hypertension [9]. Within this therapeutic study, we conducted a randomized controlled trial on HBPM. In the present analysis, we investigated the effects of HBPM on treatment adherence and blood pressure control.
Methods
General study design
The present study was a randomized controlled trial within a multicenter, open-label, single-arm, 12-week, prospective study in stage 2 to 3 hypertension (clinic systolic blood pressure 160–199 mmHg and/or diastolic blood pressure 100–119 mmHg) conducted in 18 hospitals across China (identifier NCT00670566 at www.clinicaltrials.gov) [9]. Eligible patients were randomly allocated in a 1:4 ratio to the HBPM or control group. All patients were treated with irbesartan and hydrochlorothiazide combination antihypertensive therapy to control their systolic/diastolic blood pressure to a target of <140/90 mmHg or <130/80 mmHg in the absence or presence of diabetes mellitus, respectively. The study medication was supplied free of charge for the whole study period by Sanofi China (Shanghai, China). The study protocol was approved by the ethics committee of Ruijin Hospital, Shanghai Jiaotong University School of Medicine, Shanghai, China, and, as necessary, by the ethics committees of the participating hospitals. All patients gave the written informed consent.
Study population and antihypertensive treatment
The study protocol of the prospective study has been described in detail elsewhere [9]. Briefly, eligible patients were men and women aged 18–75 years and had a clinic systolic/diastolic blood pressure of 160–199/100–119 mmHg after a 1-week wash-out run-in phase. Patients were excluded from the study (1) if they were women in pregnancy, in lactation, or with childbearing potential but without proper contraception or (2) if they had secondary hypertension, severe cardiac disease, or other life-threatening conditions or diseases. We also excluded patients with a serum concentration of alanine or aspartate transaminase ≥2 times the upper normal limits, a serum creatinine concentration ≥176.8 mmol/L, creatinine clearance or estimated glomerular filtration rate (eGFR) <30 ml/min/1.73 m², or proteinuria ≥2+ on a dipstick test; gout or serum uric acid ≥406 µmol/L in men or ≥348 µmol/L in women; a serum potassium concentration <3.5 mmol/L or ≥5.5 mmol/L; uncontrolled diabetes mellitus (a fasting plasma glucose concentration >11.0 mmol/L or a plasma glycosylated hemoglobin >8.5%); antidepressant use; or allergy to the study medication. Diabetes mellitus was defined as a fasting plasma glucose concentration of at least 7.1 mmol/L or as the use of antidiabetic drugs; chronic kidney disease, as albuminuria or a serum creatinine concentration above 132.6 μmol/L for men and 123.8 μmol/L for women; coronary heart disease, as documented coronary atherosclerosis or stenosis; and dyslipidemia, as the use of statins or as a serum concentration of at least 6.22 mmol/L total cholesterol, 4.14 mmol/L low-density lipoprotein cholesterol, or 2.26 mmol/L triglycerides. Stroke excluded transient ischemic attack.
At the end of the 1-week wash-out run-in phase, eligible patients started antihypertensive treatment with the single-pill combination of irbesartan 150 mg and hydrochlorothiazide 12.5 mg once daily. If the clinic systolic/diastolic blood pressure target of <140/90 mmHg or <130/80 mmHg in diabetes mellitus was not reached, a tablet of irbesartan 150 mg was added once daily at 4 weeks of follow-up, and a tablet of irbesartan 150 mg and hydrochlorothiazide 12.5 mg once daily was added at 8 weeks of follow-up. The study medication could be stopped in the presence of symptomatic hypotension or any other serious adverse events related to the study medication. Unless necessary, the study medication did not change at 2 weeks of follow-up. Patients were instructed to take the study medication at 08:00–10:00 every morning except on the day of the clinic visit, when the medication was administered after the clinic blood pressure had been measured. Other antihypertensive agents or drugs with potential blood pressure lowering or increasing actions were not to be used during the 12-week study treatment period.
Antihypertensive treatment adherence was assessed by the pill counting method [10]. Patients were asked to bring unused medications back to the clinic at each follow-up visit. Treatment adherence was calculated by dividing the number of consumed pills by the number of total prescribed pills. Less optimal treatment adherence was defined as <90% treatment adherence.
HBPM and clinic blood pressure measurement
Patients in the HBPM group, but not those in the control group, received an automatic electronic blood pressure monitor (HEM-7051 [11], Omron Healthcare, Kyoto, Japan) for home blood pressure measurement. Patients in the HBPM group were asked to perform HBPM for five consecutive days prior to each of the clinic visits at 2, 4, 8, and 12 weeks of follow-up. During each HBPM period, the blood pressure was measured three times consecutively in the morning between 06:00 and 10:00 and in the evening between 18:00 and 22:00 after 5 min of rest in the seated position. All the measurements were recorded on a dedicated form and checked by the investigator at each clinic visit.
At each clinic visit, the clinic blood pressure was measured three times consecutively after at least 5 min of rest in the seated position in the morning from 08:00 to 10:00. An automated blood pressure monitor (HEM 7071 [12], Omron Healthcare, Kyoto, Japan) was used for the whole study period. These three blood pressure readings 30 to 60 s apart were averaged for the clinical decisions and for the present analysis. When the arm circumference was greater than 32 cm, a large cuff was used.
Efficacy and safety evaluations
The primary efficacy variable was the clinic blood pressure control rate (systolic/diastolic blood pressure below 140/90 mmHg and 130/80 mmHg in the absence and presence of diabetes mellitus, respectively) at 12 weeks of follow-up. Secondary efficacy variables included treatment adherence and changes from baseline in the clinic systolic and diastolic blood pressures at 2, 4, 8, and 12 weeks of follow-up.
All adverse events were documented for information on symptoms, severity, relation to the study medication, intervention, and outcome. Routine and biochemical tests of blood and urine were performed for clinical laboratory safety evaluations. Any clinically significant changes in physical examinations or laboratory findings were also recorded as adverse events.
Statistical analysis
We used SAS software version 9.4 (SAS Institute Inc, Cary, NC, USA) for data management and statistical analysis. Means and proportions were compared using Student’s t test and the chi-square test, respectively. Analysis of covariance was performed to calculate the least square mean changes (±standard error) from baseline in clinic blood pressure and pulse rate and between-group differences (95% confidence interval) with baseline values as covariates and the randomization group as a factor. Logistic regression analysis was performed to compute odds ratios (95% confidence intervals) for the between-group comparison of the blood pressure control rate. Visit-to-visit blood pressure variability was analyzed by calculating the standard deviation and coefficient of variation in patients with blood pressure values at all three clinic visits during 4–12 weeks of follow-up. The safety analysis was performed in all patients who had ever started the study treatment. P values <0.05 were considered statistically significant.
Results
Characteristics of the randomized patients
Of the 632 screened patients, 501 were enrolled in the antihypertensive treatment period and randomized to the HBPM (n = 96) and control groups (n = 405). During the 12-week study treatment period, 52 patients (10.4%, 1 [1.0%]) in the HBPM group vs. 51 [12.6%] in the control group, (P = 0.0008) discontinued antihypertensive medication because of withdrawal of consent (n = 18, 3.6%), study protocol violations (n = 5, 1.0%), adverse events (n = 13, 2.5%), or other reasons (n = 16, 3.2%), leaving 95 and 354 patients who completed the study in the HBPM and control groups, respectively (Fig. 1).
The randomized patients were comparable between the HBPM and control groups in most of the baseline characteristics (P ≥ 0.05), except for the higher prior use of antihypertensive drugs (76.0% vs. 57.0%, P = 0.0006) and angiotensin receptor blockers (18.8% vs. 8.4%, P = 0.003) in the HBPM group than in the control group (Table 1). In the HBPM group, 91 (94.8%), 94 (97.9%), 90 (93.8%), and 88 (91.7%) patients underwent HBPM at 2, 4, 8, and 12 weeks of follow-up, respectively. The 5th percentile of the total HBPM readings at each monitoring session was 27 (maximum required 30).
Antihypertensive treatment
The treatment discontinuation rate tended to be lower in the HBPM group than in the control group at each of the follow-up visits, with a statistically significant difference at 2 weeks of follow-up (P = 0.03). In patients who continued with the study medication, the use of higher dosages of antihypertensive drugs was not significantly different between the HBPM and control groups at any of the follow-up visits (P ≥ 0.13, Table 2). The less optimal treatment adherence rate was significantly lower in the HBPM group than in the control group at 12 weeks or at the end of follow-up (1.0% vs. 9.9%, P = 0.005). Further adjustment for the prior use of antihypertensive drugs or angiotensin-receptor blockers did not materially alter the results.
Clinic blood pressure control during follow-up
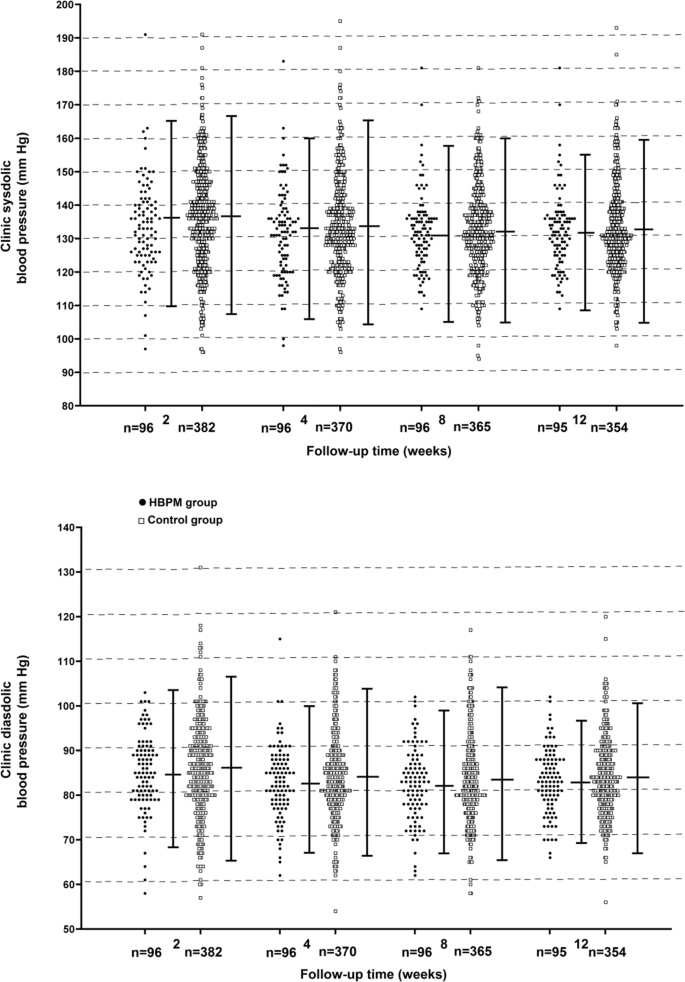
The clinic blood pressure was on average reduced similarly from baseline in the HBPM and control groups at 2, 4, 8, and 12 weeks of follow-up (Fig. 2 and Supplementary Tables 1 and 2). However, the within-group between-individual variation in systolic and diastolic blood pressure during the follow-up was smaller in the HBPM group than in the control group. The standard deviations of systolic/diastolic blood pressure in the HBPM group were 13.4/8.6, 13.7/8.2, 13.6/8.2, and 11.6/7.3 mmHg at 2, 4, 8, and 12 weeks of follow-up, respectively. The corresponding values in the control group were 14.9/10.4, 15.1/9.3, 13.8/9., and 13.4/8.4 mmHg, respectively (Fig. 2). The visit-to-visit clinic systolic/diastolic blood pressure variability, as assessed by either the standard deviation (7.8/4.7 [n = 95] vs. 7.9/5.1 mmHg [n = 354]) or the coefficient of variation (5.8%/5.7% vs. 5.9%/6.1%), during 4–12 weeks of follow-up also tended to be smaller in the HBPM group than in the control group. Statistical significance, however, was not achieved (P ≥ 0.27).
Clinic systolic and diastolic blood pressure in the home blood pressure monitoring (HBPM, circle) and control (triangle) groups at 2, 4, 8, and 12 weeks of follow-up. Symbols represent the value of individual participants rounded to 1 mmHg. The mean value (middle horizontal line) and mean ± 1.96 SD (upper and lower horizontal lines) at each follow-up clinic visit are given for the two groups alongside the symbols. The number of patients at each follow-up clinic visit is given at the bottom for the two groups separately
At 12 weeks or the end of follow-up, the control rate was significantly higher in the HBPM group than in the control group for the combined clinic systolic and diastolic blood pressure (66.7% vs. 55.1%, P = 0.04), with an odds ratio (95% confidence interval) of 1.90 (95% confidence interval 1.18–3.07, Fig. 3). Similar results were observed when the systolic and diastolic blood pressures were considered separately (P ≤ 0.05).
Clinic blood pressure control rate (systolic/diastolic blood pressure below 140/90 mmHg and 130/80 mmHg in the absence and presence of diabetes mellitus, respectively) in the home blood pressure monitoring (HBPM, filled bar) and control (open bar) groups at 12 weeks of follow-up. The percentage and number of patients in the two groups and the P value for the comparison between the two groups at each follow-up clinic visit are given above the bar graphs
Safety
Table 3 shows the adverse events with an incidence rate of ≥1% or those that are typically related to the use of irbesartan/hydrochlorothiazide combination therapy. Of the 80 reported adverse events that were possibly related to the study medication, 38 (39.6%) and 125 (30.9%) occurred in the HBPM and control groups, respectively (P = 0.10). A total of four (0.8%) serious adverse events in four patients were reported, including one hemorrhagic stroke, one hypertensive emergency, one hypertensive urgency in the control group, and one spinal disc herniation in the HBPM group. No deaths were reported during the follow-up in either group.
Discussion
Our main finding is that HBPM improves treatment adherence and clinic blood pressure control. Both the treatment discontinuation rate and the nonadherence rate during the trial were lower in the HBPM group than in the control group. The clinic blood pressure control rate during the trial was higher in the HBPM group than in the control group, despite similar treatment intensities and average blood pressures in the two groups.
A unique feature of our study is the use of a standardized antihypertensive regimen. With this approach, treatment adherence was not influenced by many other factors, such as the cost of drugs and clinic visits and the expertize of the physicians. Previous studies on HBPM did not provide a free supply of antihypertensive medication and clinical services. In some [13, 14] but not other [15] studies, treatment adherence was significantly improved [7]. Only in those studies with feedback [16, 17], especially electronic medical counseling [18, 19], was blood pressure control significantly improved by HBPM [5]. Therefore, HBPM might have to be combined with other interventions to improve treatment adherence and blood pressure control [5].
Our study included two steps of dose adjustment for antihypertensive treatment. However, the treatment intensity did not differ between the two groups. Since the treatment intensities were similar, it must have been the improved treatment adherence that led to improved blood pressure control. This finding is in line with the results of a previous study in 136 hypertensive patients [20]. In this particular study, Fuchs et al. found that with similar treatment intensities, the control rate of 24-h ambulatory systolic/diastolic blood pressure (<130/80 mmHg) was significantly higher in the HBPM group than in the control group (32.4% vs. 16.2%, P = 0.03). Treatment adherence is apparently key to blood pressure control, although the treatment intensity is important.
The improved blood pressure control might be attributable to the reduced within-group between-individual variation rather than to greater mean reductions in blood pressure in the group. Similar results were also observed in the home versus office measurement, reduction of unnecessary treatment study [21]. The mean clinic blood pressure at the end of the 1-year trial was not significantly different between the HBPM (n = 216) and control groups (n = 214) for either systolic (143.8 vs. 142.2 mmHg, P = 0.29) or diastolic (97.8 vs. 97.1 mmHg, P = 0.57) values. However, the standard deviation of the systolic/diastolic blood pressure was 1.6/0.9 mmHg smaller in the HBPM group (18.4/9.9 mmHg) than in the control group (20.0/10.8 mmHg). The corresponding clinic systolic/diastolic blood pressure control (<140/90 mmHg) rates were 74% and 50% (P < 0.001), respectively. In our study, the mean systolic/diastolic blood pressure was well below the 140/90 mmHg target throughout the 12-week follow-up period. The reduced within-group between-individual variation might have even greater contributions to the improved blood pressure control. Indeed, the between-visit within-individual blood pressure variability also tended to be smaller in the HBPM group than in the control group, though the difference was not statistically significant.
How the reduced blood pressure variability by HBPM influences blood pressure control in general and seasonal blood pressure variability [22] in particular remains under investigation. HBPM might have led to appropriate and fine-tuned dosing of mediations. Despite similar prescribed treatment intensities between the two groups in our study, nonpersistence might still be the consequence of adverse effects of overdosing. HBPM might also serve as a reminder for drug intake and therefore a driving factor for treatment adherence. Treatment persistence and adherence are crucial for controlling blood pressure to the target and for maintaining smooth blood pressure control [23].
The observed large blood pressure reductions even at 2 weeks of treatment with the irbesartan/hydrochlorothiazide combination are noteworthy and can be compared with the results of early randomized studies on the irbesartan/hydrochlorothiazide combination versus irbesartan monotherapy in stage 2 [24] or 3 hypertension [25]. In the stage 2 hypertension trial, 328 patients received treatment with the irbesartan/hydrochlorothiazide combination at the lower dosage (150/12.5 mg) for 2 weeks and the forced higher dosage (300/25 mg) for an additional 8 weeks. Systolic/diastolic blood pressure was reduced from 161.7/97.5 mmHg at baseline by 17.9/9.3 and 28.3/15.2 mmHg at 2 and 10 weeks of follow-up, respectively. The corresponding blood pressure reductions in patients on irbesartan 150–300 mg monotherapy (n = 106) were 13.9/7.3 and 19.5/11.1 mmHg, respectively [24]. In the stage 3 hypertension trial, 468 patients received the lower dose combination for 1 week and the forced uptitrated higher dose for an additional 6 weeks. Systolic/diastolic blood pressure was reduced from 171.5/113.4 mmHg at baseline by 31.7/24.5 mmHg at 7 weeks of follow-up [25]. The blood pressure reductions might be dependent on the blood pressure level at baseline and, to some extent, also from the regression to the mean.
Our study should be interpreted within the context of its limitations. First, our study employed the pill count method for treatment adherence assessment. This approach may overestimate treatment adherence because the use of medication can be overreported by patients [26]. Second, blood pressure control was assessed by clinic measurement only. Ambulatory blood pressure monitoring was not performed as in several other studies [20, 27, 28]. In addition, observer bias and white-coat effects are unavoidable. However, as mentioned above, the improved clinic blood pressure control was mainly the consequence of reduced within-group between-individual blood pressure variation and hence might be less influenced by these factors. Third, our study protocol required a 1-week wash-out period for the determination of patient eligibility. We had to exclude patients who had organ damage or high cardiovascular risk to reduce safety concerns, especially for stage 3 hypertension.
In conclusion, our study demonstrated that HBPM significantly improves treatment adherence and blood pressure control in patients with hypertension, despite similar treatment intensities and mean reductions in blood pressure. HBPM may have beneficial effects on blood pressure control as a consequence of improved treatment adherence and independent of physicians’ prescriptions. Outcome studies, either prospective observational or randomized controlled, are apparently necessary to investigate the benefit of HBPM in the prevention of cardiovascular complications [29].
References
Kario K, Shimbo D, Hoshide S, Wang JG, Asayama K, Ohkubo T, et al. Emergence of home blood pressure-guided management of hypertension based on global evidence. Hypertension. 2019;74:229–36.
Stergiou GS, Kario K, Kollias A, McManus RJ, Ohkubo T, Parati G, et al. Home blood pressure monitoring in the 21st century. J Clin Hypertens (Greenwich). 2018;20:1116–621.
Wang JG, Bu PL, Chen LY, Chen X, Chen YY. Chinese Hypertension League (CHL) Guideline Committee for Home Blood Pressure Monitoring et al. 2019 Chinese Hypertension League guidelines on home blood pressure monitoring. J Clin Hypertens. 2020;22:378–83.
Fletcher BR, Hartmann-Boyce J, Hinton L, McManus RJ. The effect of self-monitoring of blood pressure on medication adherence and lifestyle factors: a systematic review and meta-analysis. Am J Hypertens. 2015;28:1209–21.
Tucker KL, Sheppard JP, Stevens R, Bosworth HB, Bove A, Bray EP, et al. Self-monitoring of blood pressure in hypertension: a systematic review and individual patient data meta-analysis. PLoS Med. 2017;14:e1002389.
Cappuccio FP, Kerry SM, Forbes L, Donald A. Blood pressure control by home monitoring: meta-analysis of randomised trials. BMJ. 2004;329:145.
Ogedegbe G, Schoenthaler A. A systematic review of the effects of home blood pressure monitoring on medication adherence. J Clin Hypertens. 2006;8:174–80.
Agarwal R, Bills JE, Hecht TJ, Light RP. Role of home blood pressure monitoring in overcoming therapeutic inertia and improving hypertension control: a systematic review and meta-analysis. Hypertension. 2011;57:29–38.
Huang QF, Sheng CS, Li Y, Ma GS, Dai QY, Wang JG. Efficacy and safety of a fixed combination of irbesartan/hydrochlorothiazide in Chinese patients with moderate to severe hypertension. Drugs R D. 2013;13:109–17.
Lee JY, Kusek JW, Greene PG, Bernhard S, Norris K, Smith D, et al. Assessing medication adherence by pill count and electronic monitoring in the African American study of kidney disease and hypertension (AASK) pilot study. Am J Hypertens. 1996;9:719–25.
Asmar R, Khabouth J, Topouchian J, El Feghali R, Mattar J. Validation of three automatic devices for self-measurement of blood pressure according to the International Protocol: the Omron M3 Intellisense (HEM-7051-E), the Omron M2 Compact (HEM 7102-E), and the Omron R3-I Plus (HEM 6022-E). Blood Press Monit. 2010;15:49–54.
Coleman A, Steel S, Freeman P, de Greeff A, Shennan A. Validation of the Omron M7 (HEM-780-E) oscillometric blood pressure monitoring device according to the British Hypertension Society protocol. Blood Press Monit. 2008;13:49–54.
Halme L, Vesalainen R, Kaaja M, Kantola I, Home Measurement of blood pressure study group. Self-monitoring of blood pressure promotes achievement of blood pressure target in primary health care. Am J Hypertens. 2005;18:1415–20.
Márquez-Contreras E, Martell-Claros N, Gil-Guillén V, de la Figuera-Von Wichmann M, Casado-Martínez JJ.Compliance Group of the Spanish Society of Hypertension (SEE) et al. Efficacy of a home blood pressure monitoring programme on therapeutic compliance in hypertension: the EAPACUM-HTA study. J Hypertens.2006;24:169–75.
Hosseininasab M, Jahangard-Rafsanjani Z, Mohagheghi A, Sarayani A, Rashidian A, Javadi M, et al. Self-monitoring of blood pressure for improving adherence to antihypertensive medicines and blood pressure control: a randomized controlled trial. Am J Hypertens. 2014;27:1339–45.
McManus RJ, Mant J, Bray EP, Holder R, Jones MI, Greenfield S, et al. Telemonitoring and self-management in the control of hypertension (TASMINH2): a randomised controlled trial. Lancet. 2010;376:163–72.
McKinstry B, Hanley J, Wild S, Pagliari C, Paterson M, Lewis S, et al. Telemonitoring based service redesign for the management of uncontrolled hypertension: multicentre randomised controlled trial. BMJ. 2013;346:f3030.
Margolis KL, Asche SE, Bergdall AR, Dehmer SP, Groen SE, Kadrmas HM, et al. Effect of home blood pressure telemonitoring and pharmacist management on blood pressure control: a cluster randomized clinical trial. JAMA. 2013;310:46–56.
Margolis KL, Asche SE, Dehmer SP, Bergdall AR, Green BB, Sperl-Hillen JM, et al. Long-term outcomes of the effects of home blood pressure telemonitoring and pharmacist management on blood pressure among adults with uncontrolled hypertension: follow-up of a cluster randomized clinical trial. JAMA Netw Open. 2018;1:e181617.
Fuchs SC, Ferreira-da-Silva AL, Moreira LB, Neyeloff JL, Fuchs FC, Gus M, et al. Efficacy of isolated home blood pressure monitoring for blood pressure control: randomized controlled trial with ambulatory blood pressure monitoring—MONITOR study. J Hypertens. 2012;30:75–80.
Verberk WJ, Kroon AA, Lenders JWM, Kessels AGH, van Montfrans GA, Smit AJ, et al. Self-measurement of blood pressure at home reduces the need for antihypertensive drugs: a randomized, controlled trial. Hypertension. 2007;50:1019–25.
Stergiou GS, Palatini P, Modesti PA, Asayama K, Asmar R, Bilo G, et al. Seasonal variation in blood pressure: evidence, consensus and recommendations for clinical practice. Consensus statement by the European Society of Hypertension Working Group on Blood Pressure Monitoring and Cardiovascular Variability. J Hypertens. 2020;38:1235–43.
Jo SH, Kim SA, Park KH, Kim HS, Han SJ, Park WJ. Self-blood pressure monitoring is associated with improved awareness, adherence, and attainment of target blood pressure goals: prospective observational study of 7751 patients. J Clin Hypertens. 2019;21:1298–304.
Neutel JM, Franklin SS, Lapuerta P, Bhaumik A, Ptaszynska A. A comparison of the efficacy and safety of irbesartan/HCTZ combination therapy with irbesartan and HCTZ monotherapy in the treatment of moderate hypertension. J Hum Hypertens. 2008;22:266–74.
Neutel JM, Franklin SS, Oparil S, Bhaumik A, Ptaszynska A, Lapuerta P. Efficacy and safety of irbesartan/HCTZ combination therapy as initial treatment for rapid control of severe hypertension. J Clin Hypertens (Greenwich). 2006;8:850–7.
Burnier M, Egan BM. Adherence in hypertension. Circ Res. 2019;124:1124–40.
Godwin M, Lam M, Birtwhistle R, Delva D, Seguin R, Casson I, et al. A primary care pragmatic cluster randomized trial of the use of home blood pressure monitoring on blood pressure levels in hypertensive patients with above target blood pressure. Fam Pract. 2010;27:135–42.
Parati G, Omboni S, Albini F, Piantoni L, Giuliano A, Revera M, et al. Home blood pressure telemonitoring improves hypertension control in general practice. The TeleBPCare study. J Hypertens. 2009;27:198–203.
Satoh M, Maeda T, Hoshide S, Ohkubo T. Is antihypertensive treatment based on home blood pressure recommended rather than that based on office blood pressure in adults with essential hypertension? (meta-analysis). Hypertens Res. 2019;42:807–16.
Acknowledgements
The authors gratefully acknowledge the participation of the patients and the contribution of the investigators from 18 participating hospitals. For detailed information on the participating hospitals, please refer to [9].
Funding
The study was funded and sponsored by Sanofi China (Shanghai).
Author information
Authors and Affiliations
Corresponding author
Ethics declarations
Conflict of interest
J-GW reports receiving consulting and lecture fees from Sanofi China (Shanghai). The other authors declare that they have no conflict of interest.
Additional information
Publisher’s note Springer Nature remains neutral with regard to jurisdictional claims in published maps and institutional affiliations.
Supplementary information
Rights and permissions
About this article
Cite this article
Zhang, D., Huang, QF., Li, Y. et al. A randomized controlled trial on home blood pressure monitoring and quality of care in stage 2 and 3 hypertension. Hypertens Res 44, 533–540 (2021). https://doi.org/10.1038/s41440-020-00602-0
Received:
Revised:
Accepted:
Published:
Version of record:
Issue date:
DOI: https://doi.org/10.1038/s41440-020-00602-0
Keywords
This article is cited by
-
Self-measurement of blood pressure at home using a cuff device for change in blood pressure levels: systematic review and meta-analysis
Hypertension Research (2025)
-
Role of home blood pressure monitoring in resistant hypertension
Clinical Hypertension (2023)
-
Seasonal variation in the effect of antihypertensive treatment with the irbesartan/hydrochlorothiazide combination
Hypertension Research (2023)
-
Hypertension in China: epidemiology and treatment initiatives
Nature Reviews Cardiology (2023)
-
Annual reports on hypertension research 2020
Hypertension Research (2022)





