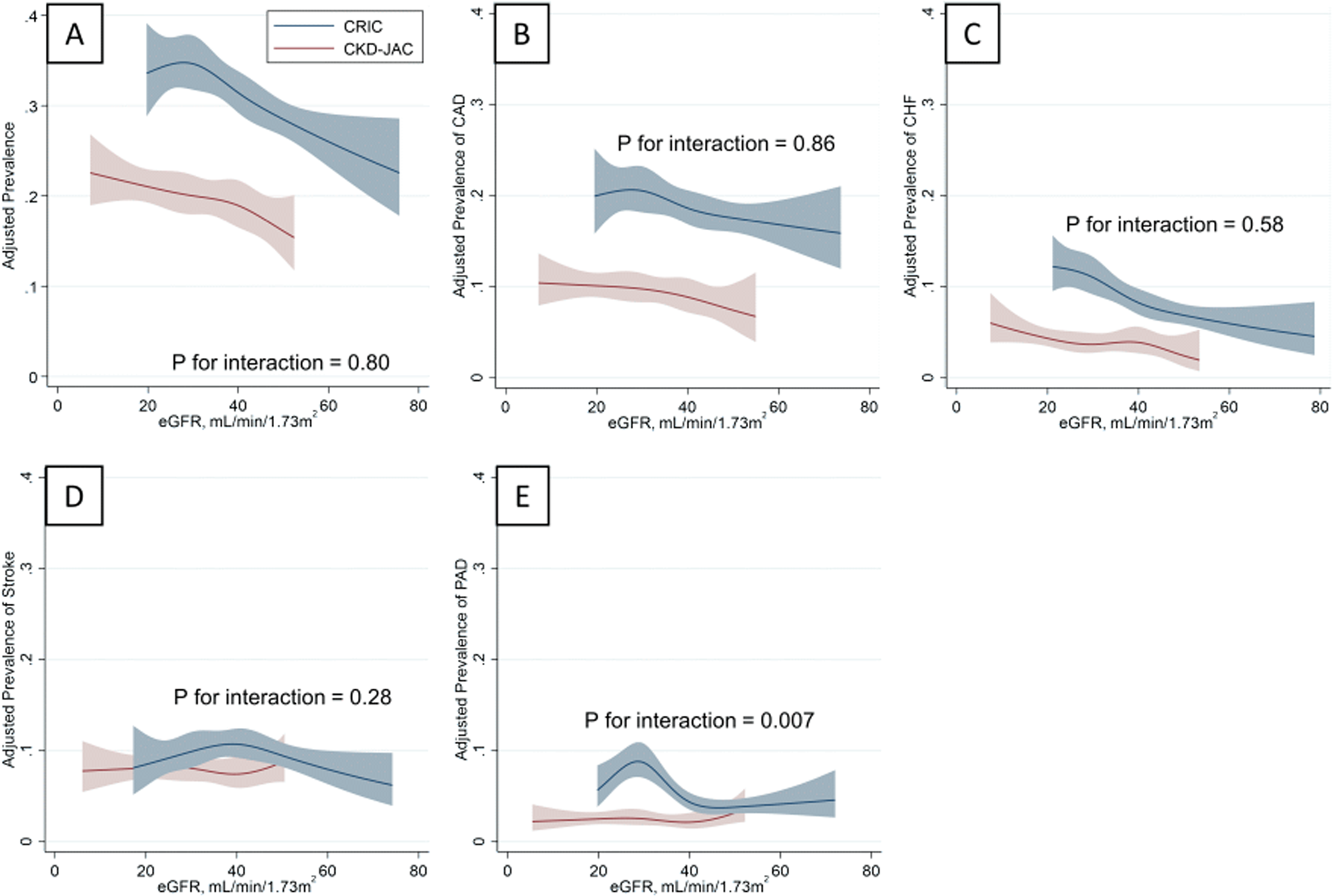
Fig. 1

RCS for the baseline prevalence of cardiovascular diseases. RCSs show the baseline prevalence of all cardiovascular diseases (a), coronary artery disease (b), congestive heart failure (c), stroke (d), and peripheral artery disease (e) after adjusting for age, sex, diabetes, and log(UACR). RCSs with 95% confidence intervals were truncated at the 1st and 99th percentiles in the CRIC Study and at the 0th and 97th percentiles in the CKD-JAC Study (a); at the 1st and 98th percentiles in the CRIC Study and at the 0th and 98th percentiles in the CKD-JAC Study (b); at the 2nd and 99th percentiles in the CRIC Study and at the 1st and 98th percentiles in the CKD-JAC Study (c); at the 0th and 99th percentiles in the CRIC Study and at the 0th and 97th percentiles in the CKD-JAC Study (d); and at the 1st and 98th percentiles in the CRIC Study and at the 0th and 96th percentiles in the CKD-JAC Study (e). RCS restricted cubic spline, UACR urinary albumin:creatinine ratio