Abstract
We investigated blood pressure (BP) and heart rate variability and baroreflex sensitivity (BRS) in white-coat, masked and sustained hypertension in untreated patients (n = 645). Normotension and white-coat, masked, and sustained hypertension were defined according to the clinic (cutoff 140/90 mmHg) and 24-h ambulatory (130/80 mmHg) BPs. The Finometer device recorded beat-to-beat finger BP and electrocardiograms in the supine and standing positions for the computation of frequency-domain power-spectral BP and heart rate variability indexes and BRS. In multivariate analysis, BP variability indexes in the supine position differed significantly (P < 0.0001) for both low-frequency (LF) and high-frequency (HF) components and the LF/HF ratio, with the lowest LF and HF power and highest LF/HF ratio in white-coat hypertension (n = 28), the highest LF and HF power and lowest LF/HF ratio in sustained hypertension (n = 198), and intermediate values in normotension (n = 189) and masked hypertension (n = 230). These differences diminished in the standing position, being significant (P < 0.0001) only for the LF component variability. The LF/HF ratio in BP in the supine position decreased with advancing age in normotension and sustained hypertension (P ≤ 0.03) but not white-coat or masked hypertension (P ≥ 0.12). For heart rate variability, a significant difference was observed only for the LF component in the supine position (P = 0.0005), which was lowest in white-coat hypertension. BRS in masked and sustained hypertension was significantly (P ≤ 0.0001) lower than that in normotension in both supine and standing positions and decreased with advancing age (P ≤ 0.0001). In conclusion, masked, but not white-coat, hypertension showed similar patterns of, but slightly less severe, changes in BP and heart rate variability and BRS to sustained hypertension.
Similar content being viewed by others
Introduction
The 2017 American [1] and 2018 European hypertension guidelines [2] advocate the use of out-of-office blood pressure measurements, either ambulatory [3] or home, in the management of hypertension. The comparison between office and out-of-office blood pressure measurements can be used to diagnose “white-coat” and “masked” hypertension and differentiate from sustained hypertension and true normotension, respectively. Among these four blood pressure categories, white-coat and masked hypertension are less investigated and poorly understood, especially with regard to sympathetic and parasympathetic regulation and baroreflex function [4]. Nonetheless, experts believe that autonomic nervous function may play a crucial role by modulating baroreflex function in response to changes in blood pressure measurements [5].
Though debated, both blood pressure and heart rate variability indexes are considered measures of autonomic nervous function, especially the low-frequency (LF) and high-frequency (HF) components and the LF/HF ratio derived from the frequency-domain power-spectral analysis [6,7,8]. The LF component is an index of both sympathetic and parasympathetic activity. The HF component mainly reflects parasympathetic activity. The LF/HF ratio is considered an index of the balance between sympathetic and parasympathetic activity. In addition, the size of the changes in heart rate response to changes in blood pressure is considered a measure of baroreflex sensitivity (BRS) [9], which represents an index of autonomic input to the sinus node. These measures of autonomic nervous function might be associated with the presence of white-coat and masked hypertension.
We recently performed measurements of 24-h ambulatory blood pressure monitoring, blood pressure and heart rate variability, and BRS in a group of our outpatients [10]. In the present analysis, we investigated blood pressure and heart rate variability, and BRS as pathophysiological mechanisms in normotension and white-coat, masked, and sustained hypertension, defined by ambulatory blood pressure.
Methods
Study population
Our study participants were consecutive patients referred from community health centers or other hospitals to the hypertension outpatient clinic at Ruijin Hospital, Shanghai, China, for ambulatory blood pressure monitoring [10, 11]. To be eligible for inclusion, they had to be at least 30 years of age and either had never been treated previously or stopped antihypertensive medication for at least 2 weeks. Our study was conducted in accordance with the principles of the Declaration of Helsinki. The Ethics Committee of Ruijin Hospital, Shanghai Jiaotong University School of Medicine approved the study protocol. All patients gave informed written consent.
In the period from February 2011 to April 2015, 698 subjects were enrolled in the BRS study. For the present analysis, we excluded 53 participants because of cardiac arrhythmia (n = 3) or insufficient quality of the ambulatory blood pressure (n = 5) or BRS measurements (n = 45). Thus, 645 patients with both ambulatory blood pressure monitoring and a BRS measurement were included in the present analysis (Fig. 1). A subset of participants were included in the analyses on blood pressure (n = 564) or heart rate variability (n = 564).
Flow of patients
Clinic and ambulatory blood pressure measurements
An experienced physician measured clinic blood pressure on three different occasions 1 week apart. On each occasion, three consecutive blood pressure readings were obtained with a validated Omron HEM-7051 device (Omron HealthCare, Kyoto, Japan) after the participants had rested in a sitting position for at least 5 min. These blood pressure readings were averaged for analysis.
Validated oscillometric SpaceLabs 90217 monitors (SpaceLabs, Redmond, WA, USA) were programmed to obtain blood pressure readings every 20 min during the daytime (06:00–22:00) and every 30 min during the nighttime (22:00–06:00). A recording was considered valid if it included ≥70% of the programmed readings, covered >20 h, and had at least 20 and 7 readings in the daytime and nighttime, respectively [4]. Blood pressure values were weighted for the time interval between consecutive readings.
Normotension was defined as a clinic systolic/diastolic blood pressure <140/90 mmHg and a 24-h ambulatory systolic/diastolic blood pressure <130/80 mmHg, white-coat hypertension as a clinic systolic/diastolic blood pressure ≥140/90 mmHg and a 24-h ambulatory systolic/diastolic blood pressure <130/80 mmHg, masked hypertension as a clinic systolic/diastolic blood pressure <140/90 mmHg and a 24-h ambulatory systolic/diastolic blood pressure ≥130/80 mmHg, and sustained hypertension as a clinic systolic/diastolic blood pressure ≥140/90 mmHg and 24-h ambulatory systolic/diastolic blood pressure ≥130/80 mmHg [4].
Measurements of blood pressure and heart rate variability and BRS
Within 7 days of ambulatory blood pressure monitoring, blood pressure and heart rate variability, and BRS were measured on a Wednesday afternoon with a validated Finometer device (Finapres Medical System, Amsterdam, The Netherlands) [12]. The study participants were instructed to refrain from food, alcohol, smoking, caffeinated beverages, and rigorous exercise within 2 h of the measurement. A trained technician performed the measurement in a temperature-controlled quiet room. After 10 min of rest in the sitting position, the study participants lay down on the examination bed and were secured with belts on the waist and both upper limbs while remaining awake. The Finometer device then continuously recorded blood pressure and heart rate on the middle finger with the volume-clamp method for 10 min in the supine position and 5 min in the standing position. The data were stored for offline analysis.
After exclusion of the data during the first minute in the supine position and the first 30 s in the standing position, the analysis was performed using MATLAB 7.0 software and Beatscope software (Finapres Medical system, Amsterdam, The Netherlands), respectively, for the computation of HF (0.15–0.4 Hz) and LF (0.04–0.15) blood pressure and heart rate variability components and the BRS in the supine and standing positions [13]. The LF/HF ratios for blood pressure and heart rate variability were then calculated.
Other data collection
A standardized questionnaire was administered to collect information on medical history, lifestyle, and the use of medications. Body height and body weight were measured to the nearest 0.5 cm and 0.5 kg, respectively. Body mass index was calculated as the body weight in kilograms divided by the body height in meters squared.
A venous blood sample was collected after overnight fasting for the measurement of serum total cholesterol and plasma glucose. Diabetes mellitus was defined as plasma glucose of ≥7.0 mmol/L fasting or ≥11.1 mmol/L at any time or the use of antidiabetic drugs.
Statistical analysis
For database management and statistical analysis, we used SAS software, version 9.4 (SAS Institute, Cary, NC, USA). Means and proportions were compared with the normal z-test and Fisher’s exact test, respectively. Continuous measurements with a skewed distribution were normalized by logarithmic transformation. We performed general linear model analysis to compare the blood pressure and heart rate variability indexes and BRS between normotension and white-coat, masked, and sustained hypertension, while controlling for covariates including sex, age, body mass index, current smoking, alcohol intake, diabetes mellitus, and serum total cholesterol.
Results
Characteristics of the study participants
The 645 study participants included 326 (50.5%) women and had a mean (±SD) age of 50.8 ± 10.2 years (Table 1). Overall, 639 had never been treated previously, and 6 had stopped antihypertensive medication for at least 2 weeks. The mean clinic and 24-h ambulatory systolic/diastolic blood pressures were 132.4/82.2 and 127.0/82.3 mmHg, respectively.
The prevalence of white-coat, masked, and sustained hypertension was 4.3% (n = 28), 35.7% (n = 230), and 30.7% (n = 198), respectively. The study participants with normotension and white-coat, masked, and sustained hypertension differed significantly in sex distribution, age, body mass index, current smoking and alcohol intake, clinic and 24-h ambulatory systolic/diastolic blood pressures, 24-h ambulatory pulse rate, and plasma fasting glucose (P ≤ 0.05) but not in clinic heart rate, the prevalence of diabetes mellitus or serum total cholesterol concentration (P > 0.05).
Blood pressure variability
After adjustment for sex, age, body mass index, current smoking and alcohol intake, diabetes mellitus, and serum total cholesterol, blood pressure variability indexes in the supine position differed significantly (P < 0.05) across the four groups of participants. The LF/HF ratio was highest in white-coat hypertension, lowest in sustained hypertension, and intermediate in normotension and masked hypertension. The difference in the LF/HF ratio between the four groups was mainly attributable to the difference in the HF, rather than the LF, component (Table 2).
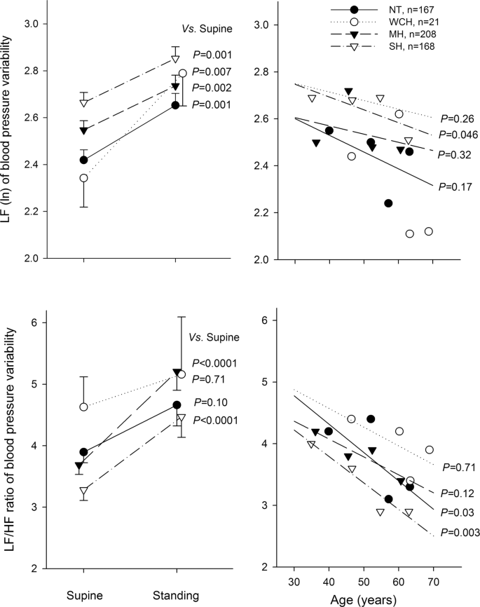
When patients stood up from the supine position, the LF component of blood pressure variability increased significantly (P ≤ 0.007) in all four groups, and the LF/HF ratio increased significantly (P < 0.001) in masked and sustained hypertension but not normotension or white-coat hypertension (P ≥ 0.10, Fig. 2).
Changes in the low-frequency component (upper panels) and the low-to-high frequency (LF/HF) ratio (lower panels) of blood pressure variability from the supine to standing position (left panels) and in the supine position in relation to age quartile (right panels) in normotension (dot) and white-coat (circle), masked (upside down solid triangle), and sustained hypertension (upside down open triangle). Symbols represent mean values adjusted for age, sex, body mass index, current smoking and alcohol intake, diabetes mellitus, and serum total cholesterol. Vertical lines on the left panels denote SE. The number of participants is given for each blood pressure category. The P values for the changes with body position and the regression lines are given on the left and right panels, respectively. LF(ln) indicates the natural logarithm of the low-frequency component
Further analyses showed that with advancing age, the LF component in the supine position decreased significantly (P = 0.046) in sustained hypertension group but not in the other three groups (P ≥ 0.17), and the LF/HF ratio in the supine position decreased significantly (P ≤ 0.03) in normotension and sustained hypertension but not in white-coat or masked hypertension (P ≥ 0.12, Fig. 2).
Heart rate variability
With similar adjustments applied as above, heart rate variability indexes showed similar patterns but much smaller differences between the four groups of patients compared with blood pressure variability indexes. The only significant (P = 0.0005) between-group difference was observed for the LF component in the supine position, being lowest in white-coat hypertension (Table 2). This between-group difference became borderline significant (P = 0.06) after further adjustment for 24-h ambulatory mean arterial pressure.
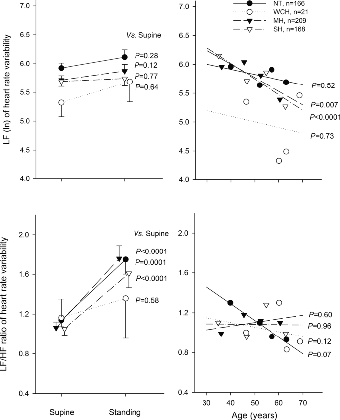
When subjects stood up, the LF component of heart rate variability did not significantly change in either group (P ≥ 0.12), but the LF/HF ratio of heart rate variability increased significantly (P ≤ 0.0001) in all groups except white-coat hypertension (P = 0.58, Fig. 3).
Changes in the low-frequency component (upper panels) and the low-to-high frequency (LF/HF) ratio (lower panels) of heart rate variability from the supine to standing position (left panels) and in the supine position in relation to age quartile (right panels) in normotension (dot) and white-coat (circle), masked (upside down solid triangle), and sustained hypertension (upside down open triangle). For further explanations, see legend to Fig. 2
Age-dependency analysis showed that with advancing age, the LF component in the supine position decreased significantly (P ≤ 0.007) in masked and sustained hypertension, and the LF/HF ratio in the supine position did not significantly change in either group (P ≥ 0.07, Fig. 3). However, there was a significant interaction between the blood pressure category and age in relation to the LF/HF ratio (P = 0.029).
BRS
With similar adjustments and regardless of body position, BRS was highest in normotension, slightly (vs. normotension, P ≥ 0.09) lower in white-coat hypertension, and significantly (P < 0.0001) lower in sustained and masked hypertension (Table 2). After further adjustment for 24-h mean arterial pressure, the difference from normotension remained similar for sustained hypertension (P < 0.0001) but diminished to nonsignificance for masked hypertension (P = 0.15).
When participants stood up, BRS decreased significantly (P ≤ 0.001) in a similar manner in all four blood pressure groups (Fig. 4).
Changes in the overall baroreceptor sensitivity from the supine to standing position (left) and in relation to age quartile (right) in normotension (dot) and white-coat (circle), masked (upside down solid triangle), and sustained hypertension (upside down open triangle, right). For further explanations, see legend to Fig. 2
BRS decreased with advancing age in masked and sustained hypertension (P < 0.0001) but not in normotension or white-coat hypertension (P ≥ 0.33, Fig. 4).
Sensitivity analysis
We performed sensitivity analysis excluding 68 patients with diabetes mellitus. The results of this analysis remained unaltered for both blood pressure and heart rate variability and BRS (Table 3).
Discussion
Our findings are twofold. First, white-coat hypertension tended to have a reduced HF component and increased LF/HF ratio of blood pressure and heart rate variability in the supine position, indicating depressed parasympathetic activity and relatively increased sympathetic activity. Second, masked hypertension showed similar patterns of changes in blood pressure and heart rate variability and BRS to sustained hypertension, with slightly smaller reductions in these measurements.
Few studies have investigated beat-to-beat blood pressure variability in white-coat hypertension. Nonetheless, in an early study, Lantelme et al. utilized the same Finapres technique to investigate blood pressure variability in relation to the white-coat effect, defined as the difference between blood pressure measured at rest and during conventional blood pressure measurement [14]. Increased blood pressure variability was observed in the LF band to account for the white-coat effect in hypertensive patients but not in normotensive participants. Because in this particular study [14], hypertension was defined according to clinic blood pressure only, the finding could be considered similar to our observation in white-coat hypertension.
Our observation of the increased LF/HF ratio of heart rate variability in the supine position in white-coat hypertension is in line with the results of some [15, 16], but not other [17,18,19], previous studies that have investigated heart rate variability in white-coat hypertension. Among 1485 patients, Fagard et al. found that white-coat hypertensive patients (n = 146) had a significantly higher LF/HF ratio of heart rate variability in the supine position because of higher LF and lower HF components [15]. A similarly increased LF/HF ratio was observed in a later study in 40 white-coat hypertensive patients compared with 40 normotensive participants (n = 40) [16]. However, in this study, white-coat hypertensive patients had a lower HF as well as LF component, indicating reduced parasympathetic activity. This finding is quantitatively similar to our results on the basis of heart rate variability, although the difference between white-coat hypertension and normotension in our study did not reach statistical significance. However, white-coat hypertension even showed decreased heart rate variability compared with sustained hypertension [17, 18] or normotension [17, 19] in several other studies. A chance finding is likely because of the small number of white-coat hypertensive patients enrolled in these studies (n = 8 [17], 12 [18], and 19 [19], respectively).
The prevalence of masked hypertension in the present study was high. Our study therefore had sufficient power to show differences between masked hypertension and normotension. Masked hypertension in our study showed similar, but slightly less severe, patterns of changes in both blood pressure and heart rate variability and BRS compared with sustained hypertension. This observation suggests that masked hypertension is true hypertension but masked by the clinic blood pressure measurement. In general, the differences in masked and sustained hypertension from normotension were more pronounced for blood pressure variability and BRS than for heart rate variability. Previous studies with heart rate variability often failed to show significant differences [15]. BRS, however, was shown to be significantly impaired in masked [20] and sustained hypertension [20,21,22]. Because both the LF and HF components were increased in masked and sustained hypertension with a reduced LF/HF ratio, these hypertensive patients seemed to have sympathetic overactivation and sympathovagal imbalance. This feature might also explain why these patients showed significantly impaired BRS.
Despite significant differences in clinic blood pressure levels between masked and sustained hypertension, these two groups of patients showed similar patterns of changes in blood pressure and heart rate variability and BRS measured in the clinical setting. This contrasting finding is incompletely understood. One of the speculative mechanisms is that masked hypertension is a precursor of sustained hypertension, as indicated in a study in children and adolescents [23, 24]. Thus, these two groups of patients may have similar dysregulations, such as autonomic nervous dysfunction, but the former group still shows normal blood pressure under standardized conditions of measurement.
Our study results are in keeping with those of previous studies that used the technique of microneurography for the measurement of sympathetic activity [25, 26]. In an early study in untreated participants, white-coat (n = 12) and primary hypertensive patients (n = 12) had significantly increased muscle sympathetic nerve activity as single units compared with normotensive participants (n = 12, 54 ± 4.2 and 73 ± 5.2 vs. 37 ± 5.4 impulses/100 beats, P < 0.0005) [25]. In another study in untreated patients, white-coat (n = 218), primary (n = 20), and masked hypertensive patients (n = 18) also showed significantly increased muscle sympathetic nerve activity compared with normotensive participants (n = 20, 70.8 ± 2.2, 75.8 ± 2.5, and 73.5 ± 2.4 vs. 45.5 ± 2.0 bursts/100 heart beats, respectively) [26]. This different sophisticated technique for the measurement of sympathetic activity did show increased sympathetic activity in hypertension, especially masked and sustained hypertension.
Our study should be interpreted within the context of its limitations. First, our study was cross sectional, and hence, no causal conclusion could be drawn. Second, our study had a relatively small sample size and hence insufficient power, especially in terms of the number of patients with white-coat hypertension. Third, our study participants were untreated outpatients referred for ambulatory blood pressure monitoring instead of a random population sample. This selection process might to some extent explain the high prevalence of masked hypertension and the low prevalence of white-coat hypertension. Nonetheless, repeated clinic blood pressure measurements on multiple occasions might have contributed to this over- and underestimation of prevalence because increasing the number of measurements either on single or multiple occasions tended to underestimate blood pressure. Fourth, we performed measurements of blood pressure and heart rate variability instead of direct measures of sympathetic activity, such as microneurography [25, 26] or catecholamine spillover [27]. Our observations have to be cautiously interpreted as pathophysiological mechanisms in relation to sympathetic and parasympathetic activity. Fifth, for feasibility reasons, we only asked for at least 2 h of the preparatory period before the measurements of blood pressure and heart rate variability and BRS. It is indeed short for these measurements. Sixth, work stress may be a cause of high blood pressure in the out-of-clinic setting [28]. Our adjusted analyses accounted for age and sex but not occupational characteristics.
In conclusion, masked, but not white-coat, hypertension showed similar patterns of changes in blood pressure and heart rate variability and BRS to sustained hypertension, with slightly less severe impairments in these regulatory mechanisms.
References
Whelton PK, Carey RM, Aronow WS, Casey DE Jr, Collins KJ, Dennison Himmelfarb C, et al. 2017 ACC/AHA/AAPA/ABC/ACPM/AGS/APhA/ASH/ASPC/NMA/PCNA guideline for the prevention, detection, evaluation, and management of high blood pressure in adults: a report of the American College of Cardiology/American Heart Association task force on clinical practice guidelines. Hypertension. 2018;71:e13–e115.
Williams B, Mancia G, Spiering W, Agabiti Rosei E, Azizi M, Burnier M., Task Force Members et al. 2018 ESC/ESH guidelines for the management of arterial hypertension. J Hypertens. 2018;36:1953–2041.
Asayama K, Satoh M, Kikuya M. Diurnal blood pressure changes. Hypertens Res. 2018;41:669–78.
Parati G, Stergiou G, O’Brien E, Asmar R, Beilin L, Bilo G. et al. European Society of Hypertension practice guidelines for ambulatory blood pressure monitoring. J Hypertens. 2014;32:1359–66.
Mancia G, Grassi G. The autonomic nervous system and hypertension. Circ Res. 2014;114:1804–14.
Pagani M, Lombardi F, Guzzetti S, Sandrone G, Rimoldi O, Malfatto G, et al. Power spectral density of heart rate variability as an index of sympatho-vagal interaction in normal and hypertensive subjects. J Hypertens. 1984;2 Suppl. 3:S383–S385.
Laitinen T, Hartikainen J, Niskanen L, Geelen G, Länsimies E. Sympathovagal balance is major determinant of short-term blood pressure variability in healthy subjects. Am J Physiol. 1999; 276:H1245–52.
Kishi T. Baroreflex failure and beat-to-beat blood pressure variation. Hypertens Res. 2018;41:547–52.
Vanoli E, Adamson PB. Baroreflex sensitivity: methods, mechanisms, and prognostic value. Pacing Clin Electrophysiol. 1994;17:434–45.
Cheng YB, Li LH, Guo QH, Li FK, Huang QF, Sheng CS, et al. Independent effects of blood pressure and parathyroid hormone on aortic pulse wave velocity in untreated Chinese patients. J Hypertens. 2017;35:1841–8.
Sheng CS, Cheng YB, Wei FF, Yang WY, Guo QH, Li FK, et al. Diurnal blood pressure rhythmicity in relation to environmental and genetic cues in untreated referred patients. Hypertension. 2017;69:128–35.
Ducher M, Fauvel JP, Gustin MP, Cerutti C, Najem R, Cuisinaud G, et al. A new non-invasive statistical method to assess the spontaneous cardiac baroreflex in humans. Clin Sci (Lond). 1995;88:651–5.
Leonetti P, Audat F, Girard A, Laude D, Lefrère F, Elghozi JL. Stroke volume monitored by modeling flow from finger arterial pressure waves mirrors blood volume withdrawn by phlebotomy. Clin Auton Res. 2004;14:176–81.
Lantelme P, Milon H, Gharib C, Gayet C, Fortrat JO. White coat effect and reactivity to stress: cardiovascular and autonomic nervous system responses. Hypertension. 1998;31:1021–9.
Fagard RH, Stolarz K, Kuznetsova T, Seidlerova J, Tikhonoff V, Grodzicki T, et al. Sympathetic activity, assessed by power spectral analysis of heart rate variability, in white-coat, masked and sustained hypertension versus true normotension. J Hypertens. 2007;25:2280–5.
Neumann SA, Jennings JR, Muldoon MF, Manuck SB. White-coat hypertension and autonomic nervous system dysregulation. Am J Hypertens. 2005;18:584–8.
Madsen LB, Rasmussen JK, Møller DS, Nyvad O, Pedersen EB. Heart rate variability in white-coat hypertension. Blood Press Monit. 2008;13:65–71.
Pierdomenico SD, Bucci A, Costantini F, Lapenna D, Cuccurullo F, Mezzetti A. Twenty-four-hour autonomic nervous function in sustained and “white coat” hypertension. Am Heart J. 2000;140:672–7.
Shehab A, Abdulle A. Cognitive and autonomic dysfunction measures in normal controls, white coat and borderline hypertension. BMC Cardiovasc Disord. 2011;11:3.
Baguet JP, Lévy P, Barone-Rochette G, Tamisier R, Pierre H, Peeters M, et al. Masked hypertension in obstructive sleep apnea syndrome. J Hypertens. 2008;26:885–92.
Harrington F, Murray A, Ford GA. Relationship of baroreflex sensitivity and blood pressure in an older population. J Hypertens. 2000;18:1629–33.
Kornet L, Hoeks AP, Janssen BJ, Houben AJ, De Leeuw PW, Reneman RS. Neural activity of the cardiac baroreflex decreases with age in normotensive and hypertensive subjects. J Hypertens. 2005;23:815–23.
Lurbe E, Torro I, Alvarez V, Nawrot T, Paya R, Redon J, et al. Prevalence, persistence, and clinical significance of masked hypertension in youth. Hypertension. 2005;45:493–8.
Lurbe E, Thijs L, Torro MI, Alvarez J, Staessen JA, Redon J. Sexual dimorphism in the transition from masked to sustained hypertension in healthy youths. Hypertension. 2013;62:410–4.
Smith PA, Graham LN, Mackintosh AF, Stoker JB, Mary DA. Sympathetic neural mechanisms in white-coat hypertension. J Am Coll Cardiol. 2002;40:126–32.
Grassi G, Seravalle G, Trevano FQ, Dell’oro R, Bolla G, Cuspidi C, et al. Neurogenic abnormalities in masked hypertension. Hypertension. 2007;50:537–42.
Esler M, Turbott J, Schwarz R, Leonard P, Jackman G, Skews H, et al. Differing noradrenaline kinetics in essential hypertension and depressive illness, two diseases in which the plasma concentration of noradrenaline is sometimes elevated. Clin Exp Pharm Physiol. 1981;8:525–30.
Munakata M. Clinical significance of stress-related increase in blood pressure: current evidence in office and out-of-office settings. Hypertens Res. 2018;41:553–69.
Acknowledgements
The authors gratefully acknowledge the voluntary participation of all study participants and the technical assistance of Bei-Wen Lv, Jun-Wei Li, and Yi Zhou.
Funding
The present study was financially supported by grants from the National Natural Science Foundation of China (81770418, 81770455, 91639203, 81400346 and 81470533), and Ministries of Science and Technology (2018YFC1704902) and Health (2016YFC0905001 and 2016YFC1300103), Beijing, China, and the Shanghai Commissions of Science and Technology (grant19DZ2340200) and Health (grants 201440377, 15GWZK0802, and 2017BR025, and a special grant for “Leading Academics”), Shanghai, China.
Author information
Authors and Affiliations
Corresponding author
Ethics declarations
Conflict of interest
The authors declare that they have no conflict of interest.
Additional information
Publisher’s note Springer Nature remains neutral with regard to jurisdictional claims in published maps and institutional affiliations.
Rights and permissions
About this article
Cite this article
Sheng, CS., Li, FK., Cheng, YB. et al. Blood pressure and heart rate variability and baroreflex sensitivity in white-coat, masked, and sustained hypertension. Hypertens Res 43, 772–780 (2020). https://doi.org/10.1038/s41440-020-0413-5
Received:
Revised:
Accepted:
Published:
Version of record:
Issue date:
DOI: https://doi.org/10.1038/s41440-020-0413-5
Keywords
This article is cited by
-
Rats exposed to a low resource environment in early life display sex differences in blood pressure, autonomic activity, and brain and kidney pro-inflammatory markers during adulthood
Biology of Sex Differences (2026)
-
Annual reports on hypertension research 2020
Hypertension Research (2022)






