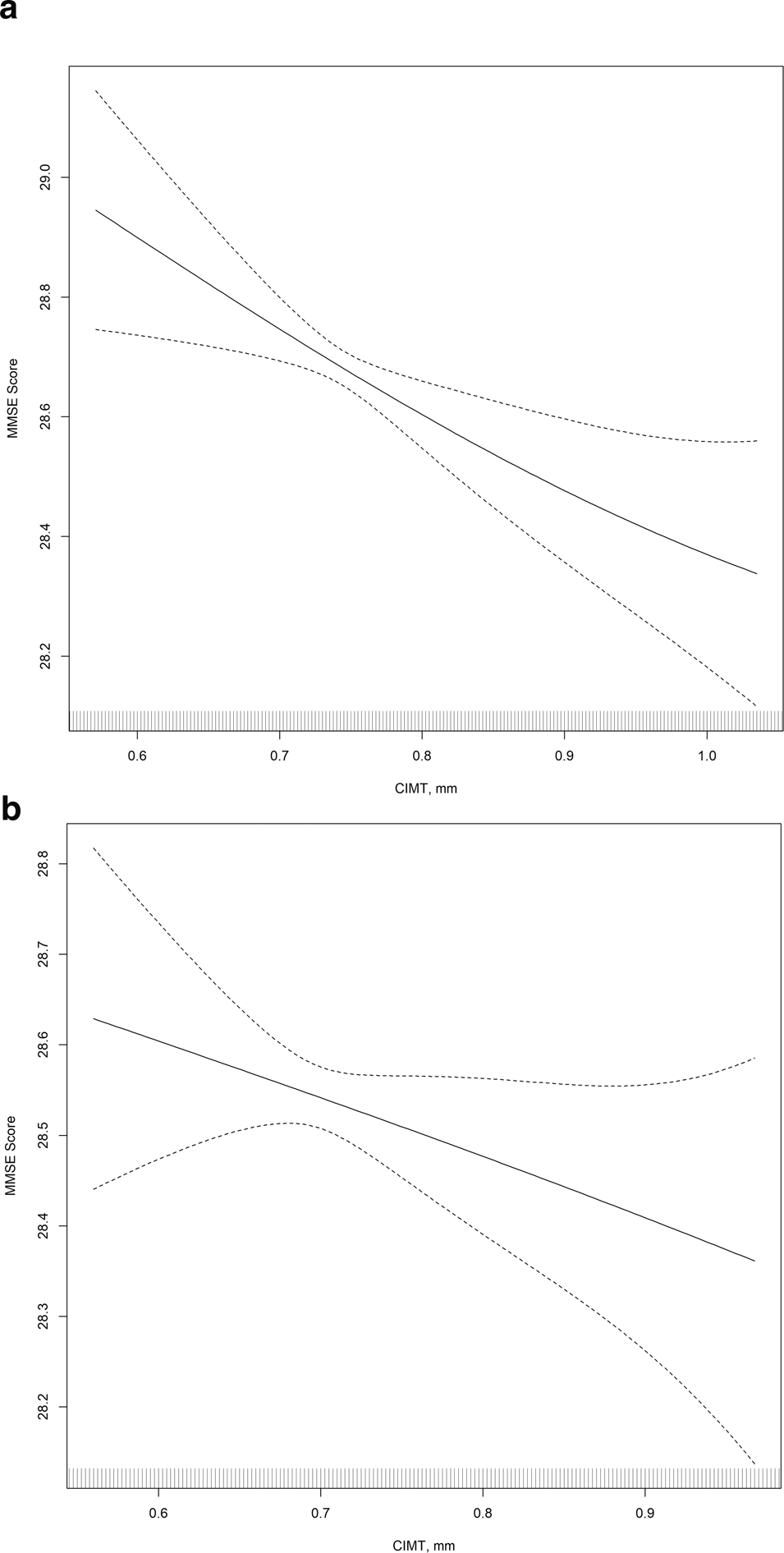
Fig. 1

Smoothing curves of the association between carotid intima-media thickness (CIMT) and MMSE; (a): male (b): female; adjusted for age, education, body mass index, systolic and diastolic blood pressure, methylenetetrahydrofolate reductase C677T genotype, smoking status, alcohol consumption, total cholesterol, triglycerides, high-density lipoprotein cholesterol, fasting blood glucose, total homocysteine, estimated glomerular filtration rate, total homocysteine, treatment group and research center